当前位置:首页>文档>第4章第16讲 铁盐、亚铁盐及相互转化_05高考化学_2024年新高考资料_1.2024一轮复习_2024年高考化学一轮复习讲义(新人教新高考版)_学生版在此文件夹_大一轮复习讲义

第4章第16讲 铁盐、亚铁盐及相互转化_05高考化学_2024年新高考资料_1.2024一轮复习_2024年高考化学一轮复习讲义(新人教新高考版)_学生版在此文件夹_大一轮复习讲义

  • 2026-04-01 11:23:25 2026-03-29 11:11:45

文档预览

第4章第16讲 铁盐、亚铁盐及相互转化_05高考化学_2024年新高考资料_1.2024一轮复习_2024年高考化学一轮复习讲义(新人教新高考版)_学生版在此文件夹_大一轮复习讲义
第4章第16讲 铁盐、亚铁盐及相互转化_05高考化学_2024年新高考资料_1.2024一轮复习_2024年高考化学一轮复习讲义(新人教新高考版)_学生版在此文件夹_大一轮复习讲义
第4章第16讲 铁盐、亚铁盐及相互转化_05高考化学_2024年新高考资料_1.2024一轮复习_2024年高考化学一轮复习讲义(新人教新高考版)_学生版在此文件夹_大一轮复习讲义
第4章第16讲 铁盐、亚铁盐及相互转化_05高考化学_2024年新高考资料_1.2024一轮复习_2024年高考化学一轮复习讲义(新人教新高考版)_学生版在此文件夹_大一轮复习讲义
第4章第16讲 铁盐、亚铁盐及相互转化_05高考化学_2024年新高考资料_1.2024一轮复习_2024年高考化学一轮复习讲义(新人教新高考版)_学生版在此文件夹_大一轮复习讲义
第4章第16讲 铁盐、亚铁盐及相互转化_05高考化学_2024年新高考资料_1.2024一轮复习_2024年高考化学一轮复习讲义(新人教新高考版)_学生版在此文件夹_大一轮复习讲义
第4章第16讲 铁盐、亚铁盐及相互转化_05高考化学_2024年新高考资料_1.2024一轮复习_2024年高考化学一轮复习讲义(新人教新高考版)_学生版在此文件夹_大一轮复习讲义
第4章第16讲 铁盐、亚铁盐及相互转化_05高考化学_2024年新高考资料_1.2024一轮复习_2024年高考化学一轮复习讲义(新人教新高考版)_学生版在此文件夹_大一轮复习讲义
第4章第16讲 铁盐、亚铁盐及相互转化_05高考化学_2024年新高考资料_1.2024一轮复习_2024年高考化学一轮复习讲义(新人教新高考版)_学生版在此文件夹_大一轮复习讲义
第4章第16讲 铁盐、亚铁盐及相互转化_05高考化学_2024年新高考资料_1.2024一轮复习_2024年高考化学一轮复习讲义(新人教新高考版)_学生版在此文件夹_大一轮复习讲义

文档信息

文档格式
docx
文档大小
0.263 MB
文档页数
6 页
上传时间
2026-03-29 11:11:45

文档内容

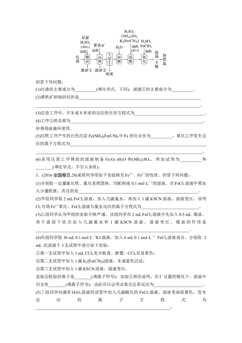
第 16 讲 铁盐、亚铁盐及相互转化 [复习目标] 1.掌握Fe2+和Fe3+的检验方法。2.掌握铁盐、亚铁盐的性质,能实现Fe2+和Fe3 +的转化。 考点一 铁盐、亚铁盐的性质与检验 1.铁盐与亚铁盐 亚铁盐(Fe2+) 铁盐(Fe3+) 颜色 浅绿色(溶液) 黄色(溶液) 既有氧化性,又有还原性,以还原性为 一般表现为______性,如能 主,如在酸性条件下能被HO、NO氧 溶解铜,反应的离子方程式 2 2 氧化性与 化,反应的离子方程式分别为 为 还原性 ________________、 _________________________ _____________________________________ _________________________ ___________________________________ ______________________ 极易水解,只存在于酸性较 水解性 水解呈酸性 强的溶液中 2.其他常见铁盐 (1)绿矾(FeSO ·7H O):一种重要的还原剂,可用作补血剂及植物的补铁剂。 4 2 (2)铁铵矾[NH Fe(SO )·12H O]:无色晶体,易溶于水,常用作化学分析试剂、药物和织物 4 4 2 2 媒染剂。 (3)赤血盐{K [Fe(CN) ]}:红色晶体,能溶于水,常用于检验Fe2+,生成蓝色沉淀。 3 6 (4)高铁酸钾(K FeO):暗紫色晶体,具有强氧化性,可用作水体的杀菌、消毒剂或高容量电 2 4 池材料。 3.Fe2+和Fe3+的检验 (1)(2) (3)含Fe2+、Fe3+的混合溶液中Fe2+、Fe3+的检验 ―――――――→溶液变红色,说明含有______。 ――――――→酸性KMnO 溶液紫红色褪去,说明含有______。 4 1.氢氧化铁与HI溶液仅能发生中和反应( ) 2.中性溶液中可能大量存在Fe3+、Cl-、K+、SO( ) 3.酸性条件下HO 氧化Fe2+的离子方程式为2Fe2++HO+2H+===2Fe3++2HO( ) 2 2 2 2 2 4.将Fe(NO ) 样品溶于稀HSO 后,滴加KSCN溶液,溶液变红,则Fe(NO ) 晶体已氧化 3 2 2 4 3 2 变质( ) 5.用酸性高锰酸钾溶液检验FeCl 溶液中是否含有FeCl ( ) 3 2 一、铁盐、亚铁盐的性质 1.铁及其化合物是中学化学中一类重要的物质。下列关于铁元素的叙述正确的是( ) A.采用将FeCl 溶液直接蒸干的方法制备FeCl 固体 3 3 B.保存FeCl 溶液常常加一些铁粉,其目的是抑制Fe2+水解 2 C.25 ℃时,pH=0的溶液中,Al3+、NH、NO、Fe2+可以大量共存 D.FeSO 溶液中加入HO 溶液时,Fe2+表现还原性 4 2 2 2.在FeCl 、CuCl 混合溶液中,加入铁粉与铜粉的混合物。 3 2 (1)若金属无剩余,则溶液中一定存在的金属阳离子有________,可能存在的有________。 (2)若剩余固体中有铁和铜,则溶液中一定存在的金属阳离子有________,一定不存在 ________。 (3)若剩余固体中只有铜,则溶液中一定存在的金属阳离子有________,可能存在的有 ____________,一定不存在________。 二、Fe2+和Fe3+的检验 3.下列离子的检验方法合理的是( ) A.向某溶液中滴入KSCN溶液呈红色,说明不含Fe2+ B.向某溶液中通入Cl,然后再加入KSCN溶液变红色,说明原溶液中含有Fe2+ 2 C.向某溶液中加入NaOH溶液,得红褐色沉淀,说明溶液中含有Fe3+ D.向某溶液中加入NaOH溶液得白色沉淀,又观察到颜色逐渐变为红褐色,说明该溶液中 只含有Fe2+,不含有Mg2+4.以下实验能证明某溶液中不含Fe3+而含有Fe2+的是( ) A.滴入KSCN溶液,不显红色 B.滴加足量氯水,再加KSCN溶液,显红色 C.滴入KSCN溶液,不显红色,再加氯水,溶液变红 D.滴入KSCN溶液,不显红色,再加足量高锰酸钾溶液,溶液变红 检验Fe2+和Fe3+时的注意事项 (1)检验Fe2+时不能先加氯水后加KSCN溶液,也不能将加KSCN后的混合溶液加入足量的 新制氯水中(新制氯水能氧化SCN-)。 (2)Fe3+、Fe2+、Cl-同时存在时不能用酸性KMnO 溶液检验Fe2+(Cl-能还原酸性KMnO , 4 4 有干扰)。 考点二 Fe2+、Fe3+的相互转化 Fe2+与Fe3+的相互转化 用离子方程式实现下列转化: Fe2+Fe3+ ①________________________________________________________________________; ②________________________________________________________________________; ③________________________________________________________________________; ④________________________________________________________________________; ⑤________________________________________________________________________; ⑥________________________________________________________________________; ⑦________________________________________________________________________。 某班同学用如下实验探究Fe2+与Fe3+的转化,回答下列问题: (1)实验Ⅰ:Fe3+转化为Fe2+ 实验步骤及现象:甲组同学将少量铜粉加入1 mL 0.1 mol·L-1 FeCl 溶液中,观察到铜粉消 3 失,溶液黄色变浅,加入蒸馏水后无明显现象;乙组同学将过量铜粉加入 1 mL 0.1 mol·L-1 FeCl 溶液中,观察到铜粉有剩余,溶液黄色褪去,加入蒸馏水后出现白色沉淀;丙组同学 3 将过量铜粉加入1 mL 0.05 mol·L-1 Fe 溶液中,观察到铜粉有剩余,溶液黄色褪去,变成 23蓝色,加入蒸馏水后无白色沉淀。 ①分别取三组实验反应后的溶液于三支试管中,_____________________________ ________________________________________________________________________ (填操作步骤及现象),证明生成了Fe2+;分析三组实验结果,实验中均发生的反应的离子方 程式为_________________________________________________________________。 ②对比三组实验,说明加入蒸馏水后沉淀的产生与__________________________有关。 ③向丙组实验后的溶液中加入饱和NaCl溶液可能出现的现象为______________________。 ④丙组在检验反应后的溶液中是否存在 Fe3+时,取反应后的上层清液于试管中,滴加 3滴 KSCN溶液,结果出现白色沉淀,查阅资料:ⅰ.SCN-的化学性质与I-相似,CuSCN为白 色固体;ⅱ.2Cu2++4I-===2CuI↓+I ,写出该实验中出现白色沉淀的离子方程式: 2 ________________________________________________________________________。 (2)实验Ⅱ:Fe2+转化为Fe3+ 实验步骤及现象:向3 mL 0.1 mol·L-1 FeSO 溶液中加入稍过量稀硝酸,溶液变为棕色,放 4 置一段时间后,棕色消失,溶液变为黄色,已知Fe2++NO―→Fe(NO)2+(棕色)。 ①使用的FeSO 溶液中存在少量铁屑,其目的是_______________________________。 4 ②实验中产生NO的原因为____________________________________________________ ________________________________________________________________________(用离子 方程式表示)。 (3)实验Ⅲ:Fe2+与Fe3+相互转化 实验步骤及现象:将SO 通入足量Fe 溶液中,溶液由棕黄色变为浅绿色,但立即又变为棕 2 3 黄色,此时若滴入BaCl 溶液,则会产生白色沉淀。将产生的白色沉淀经过滤、洗涤、干燥 2 后称量其质量为6.99 g,则整个实验中产生的气体(假设只生成一种气体,该气体遇空气变 为红棕色)在标准状况下的体积为_______________________________________________。 1.(2019·浙江4月选考,24)聚合硫酸铁[Fe(OH)SO ] 能用作净水剂(絮凝剂),可由绿矾 4 n (FeSO ·7H O)和KClO 在水溶液中反应得到。下列说法不正确的是( ) 4 2 3 A.KClO 作氧化剂,每生成1 mol [Fe(OH)SO ] 消耗 mol KClO 3 4 n 3 B.生成聚合硫酸铁后,水溶液的pH增大 C.聚合硫酸铁可在水中形成氢氧化铁胶体而净水 D.在相同条件下,Fe3+比[Fe(OH)]2+的水解能力更强 2.(2022·河北,15)以焙烧黄铁矿 FeS(杂质为石英等)产生的红渣为原料制备铵铁蓝 2 Fe(NH )Fe(CN) 颜料。工艺流程如下: 4 6回答下列问题: (1)红渣的主要成分为__________(填化学式,下同),滤渣①的主要成分为__________。 (2)黄铁矿研细的目的是_________________________________________________________ _____________________________________________________________________________。 (3)还原工序中,不生成S单质的反应的化学方程式为_________________________________。 (4)工序①的名称为______________________________________________________________, 所得母液循环使用。 (5)沉铁工序产生的白色沉淀Fe(NH )Fe(CN) 中Fe的化合价为__________,氧化工序发生反 4 2 6 应的离子方程式为________________________________________________________________ ______________________________________________________________________________。 (6)若用还原工序得到的滤液制备 Fe O·xHO 和(NH )SO ,所加试剂为__________和 2 3 2 4 2 4 ________(填化学式,不引入杂质)。 3.(2016·全国卷Ⅱ,28)某班同学用如下实验探究Fe2+、Fe3+的性质。回答下列问题: (1)分别取一定量氯化铁、氯化亚铁固体,均配制成0.1 mol·L-1的溶液。在FeCl 溶液中需加 2 入少量铁屑,其目的是________________________________________________________。 (2)甲组同学取2 mL FeCl 溶液,加入几滴氯水,再加入1滴KSCN溶液,溶液变红,说明 2 Cl 可将Fe2+氧化。FeCl 溶液与氯水反应的离子方程式为___________________________。 2 2 (3)乙组同学认为甲组的实验不够严谨,该组同学在2 mL FeCl 溶液中先加入0.5 mL 煤油, 2 再于液面下依次加入几滴氯水和 1 滴 KSCN 溶液,溶液变红,煤油的作用是 ________________________________________________________________________。 (4)丙组同学取10 mL 0.1 mol·L-1KI溶液,加入6 mL 0.1 mol·L-1 FeCl 溶液混合。分别取 2 3 mL 此溶液于3支试管中进行如下实验: ①第一支试管中加入1 mL CCl 充分振荡、静置,CCl 层显紫色; 4 4 ②第二支试管中加入1滴K[Fe(CN) ]溶液,生成蓝色沉淀; 3 6 ③第三支试管中加入1滴KSCN溶液,溶液变红。 实验②检验的离子是________(填离子符号);实验①和③说明:在I-过量的情况下,溶液中 仍含有________(填离子符号),由此可以证明该氧化还原反应为_______________________。 (5)丁组同学向盛有HO 溶液的试管中加入几滴酸化的FeCl 溶液,溶液变成棕黄色,发生 2 2 2 反 应 的 离 子 方 程 式 为 _______________________________________________________________;一段时间后,溶液中有气泡出现,并放热,随后有红褐色沉淀生成。产生气泡的原因是 ______________________________________________,生成沉淀的原因是____________(用 平衡移动原理解释)。