当前位置:首页>文档>专题07三角形中的重要模型-等积模型(解析版)_02中考总复习(2026版更新中)_02-数学-中考总复习_2024年中考复习资料_专项复习资料_答案解析版

专题07三角形中的重要模型-等积模型(解析版)_02中考总复习(2026版更新中)_02-数学-中考总复习_2024年中考复习资料_专项复习资料_答案解析版

  • 2026-04-06 02:29:45 2026-04-06 01:25:18

文档预览

专题07三角形中的重要模型-等积模型(解析版)_02中考总复习(2026版更新中)_02-数学-中考总复习_2024年中考复习资料_专项复习资料_答案解析版
专题07三角形中的重要模型-等积模型(解析版)_02中考总复习(2026版更新中)_02-数学-中考总复习_2024年中考复习资料_专项复习资料_答案解析版
专题07三角形中的重要模型-等积模型(解析版)_02中考总复习(2026版更新中)_02-数学-中考总复习_2024年中考复习资料_专项复习资料_答案解析版
专题07三角形中的重要模型-等积模型(解析版)_02中考总复习(2026版更新中)_02-数学-中考总复习_2024年中考复习资料_专项复习资料_答案解析版
专题07三角形中的重要模型-等积模型(解析版)_02中考总复习(2026版更新中)_02-数学-中考总复习_2024年中考复习资料_专项复习资料_答案解析版
专题07三角形中的重要模型-等积模型(解析版)_02中考总复习(2026版更新中)_02-数学-中考总复习_2024年中考复习资料_专项复习资料_答案解析版
专题07三角形中的重要模型-等积模型(解析版)_02中考总复习(2026版更新中)_02-数学-中考总复习_2024年中考复习资料_专项复习资料_答案解析版
专题07三角形中的重要模型-等积模型(解析版)_02中考总复习(2026版更新中)_02-数学-中考总复习_2024年中考复习资料_专项复习资料_答案解析版
专题07三角形中的重要模型-等积模型(解析版)_02中考总复习(2026版更新中)_02-数学-中考总复习_2024年中考复习资料_专项复习资料_答案解析版
专题07三角形中的重要模型-等积模型(解析版)_02中考总复习(2026版更新中)_02-数学-中考总复习_2024年中考复习资料_专项复习资料_答案解析版
专题07三角形中的重要模型-等积模型(解析版)_02中考总复习(2026版更新中)_02-数学-中考总复习_2024年中考复习资料_专项复习资料_答案解析版
专题07三角形中的重要模型-等积模型(解析版)_02中考总复习(2026版更新中)_02-数学-中考总复习_2024年中考复习资料_专项复习资料_答案解析版
专题07三角形中的重要模型-等积模型(解析版)_02中考总复习(2026版更新中)_02-数学-中考总复习_2024年中考复习资料_专项复习资料_答案解析版
专题07三角形中的重要模型-等积模型(解析版)_02中考总复习(2026版更新中)_02-数学-中考总复习_2024年中考复习资料_专项复习资料_答案解析版
专题07三角形中的重要模型-等积模型(解析版)_02中考总复习(2026版更新中)_02-数学-中考总复习_2024年中考复习资料_专项复习资料_答案解析版
专题07三角形中的重要模型-等积模型(解析版)_02中考总复习(2026版更新中)_02-数学-中考总复习_2024年中考复习资料_专项复习资料_答案解析版
专题07三角形中的重要模型-等积模型(解析版)_02中考总复习(2026版更新中)_02-数学-中考总复习_2024年中考复习资料_专项复习资料_答案解析版
专题07三角形中的重要模型-等积模型(解析版)_02中考总复习(2026版更新中)_02-数学-中考总复习_2024年中考复习资料_专项复习资料_答案解析版
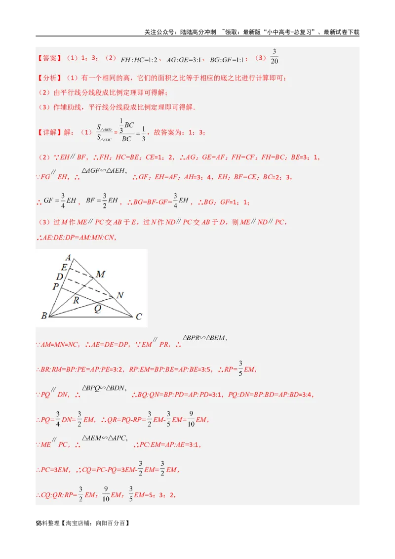
专题07三角形中的重要模型-等积模型(解析版)_02中考总复习(2026版更新中)_02-数学-中考总复习_2024年中考复习资料_专项复习资料_答案解析版
专题07三角形中的重要模型-等积模型(解析版)_02中考总复习(2026版更新中)_02-数学-中考总复习_2024年中考复习资料_专项复习资料_答案解析版
专题07三角形中的重要模型-等积模型(解析版)_02中考总复习(2026版更新中)_02-数学-中考总复习_2024年中考复习资料_专项复习资料_答案解析版
专题07三角形中的重要模型-等积模型(解析版)_02中考总复习(2026版更新中)_02-数学-中考总复习_2024年中考复习资料_专项复习资料_答案解析版
专题07三角形中的重要模型-等积模型(解析版)_02中考总复习(2026版更新中)_02-数学-中考总复习_2024年中考复习资料_专项复习资料_答案解析版
专题07三角形中的重要模型-等积模型(解析版)_02中考总复习(2026版更新中)_02-数学-中考总复习_2024年中考复习资料_专项复习资料_答案解析版
专题07三角形中的重要模型-等积模型(解析版)_02中考总复习(2026版更新中)_02-数学-中考总复习_2024年中考复习资料_专项复习资料_答案解析版
专题07三角形中的重要模型-等积模型(解析版)_02中考总复习(2026版更新中)_02-数学-中考总复习_2024年中考复习资料_专项复习资料_答案解析版
专题07三角形中的重要模型-等积模型(解析版)_02中考总复习(2026版更新中)_02-数学-中考总复习_2024年中考复习资料_专项复习资料_答案解析版
专题07三角形中的重要模型-等积模型(解析版)_02中考总复习(2026版更新中)_02-数学-中考总复习_2024年中考复习资料_专项复习资料_答案解析版
专题07三角形中的重要模型-等积模型(解析版)_02中考总复习(2026版更新中)_02-数学-中考总复习_2024年中考复习资料_专项复习资料_答案解析版
专题07三角形中的重要模型-等积模型(解析版)_02中考总复习(2026版更新中)_02-数学-中考总复习_2024年中考复习资料_专项复习资料_答案解析版
专题07三角形中的重要模型-等积模型(解析版)_02中考总复习(2026版更新中)_02-数学-中考总复习_2024年中考复习资料_专项复习资料_答案解析版
专题07三角形中的重要模型-等积模型(解析版)_02中考总复习(2026版更新中)_02-数学-中考总复习_2024年中考复习资料_专项复习资料_答案解析版
专题07三角形中的重要模型-等积模型(解析版)_02中考总复习(2026版更新中)_02-数学-中考总复习_2024年中考复习资料_专项复习资料_答案解析版
专题07三角形中的重要模型-等积模型(解析版)_02中考总复习(2026版更新中)_02-数学-中考总复习_2024年中考复习资料_专项复习资料_答案解析版
专题07三角形中的重要模型-等积模型(解析版)_02中考总复习(2026版更新中)_02-数学-中考总复习_2024年中考复习资料_专项复习资料_答案解析版
专题07三角形中的重要模型-等积模型(解析版)_02中考总复习(2026版更新中)_02-数学-中考总复习_2024年中考复习资料_专项复习资料_答案解析版
专题07三角形中的重要模型-等积模型(解析版)_02中考总复习(2026版更新中)_02-数学-中考总复习_2024年中考复习资料_专项复习资料_答案解析版
专题07三角形中的重要模型-等积模型(解析版)_02中考总复习(2026版更新中)_02-数学-中考总复习_2024年中考复习资料_专项复习资料_答案解析版
专题07三角形中的重要模型-等积模型(解析版)_02中考总复习(2026版更新中)_02-数学-中考总复习_2024年中考复习资料_专项复习资料_答案解析版
专题07三角形中的重要模型-等积模型(解析版)_02中考总复习(2026版更新中)_02-数学-中考总复习_2024年中考复习资料_专项复习资料_答案解析版
专题07三角形中的重要模型-等积模型(解析版)_02中考总复习(2026版更新中)_02-数学-中考总复习_2024年中考复习资料_专项复习资料_答案解析版
专题07三角形中的重要模型-等积模型(解析版)_02中考总复习(2026版更新中)_02-数学-中考总复习_2024年中考复习资料_专项复习资料_答案解析版
专题07三角形中的重要模型-等积模型(解析版)_02中考总复习(2026版更新中)_02-数学-中考总复习_2024年中考复习资料_专项复习资料_答案解析版
专题07三角形中的重要模型-等积模型(解析版)_02中考总复习(2026版更新中)_02-数学-中考总复习_2024年中考复习资料_专项复习资料_答案解析版
专题07三角形中的重要模型-等积模型(解析版)_02中考总复习(2026版更新中)_02-数学-中考总复习_2024年中考复习资料_专项复习资料_答案解析版
专题07三角形中的重要模型-等积模型(解析版)_02中考总复习(2026版更新中)_02-数学-中考总复习_2024年中考复习资料_专项复习资料_答案解析版
专题07三角形中的重要模型-等积模型(解析版)_02中考总复习(2026版更新中)_02-数学-中考总复习_2024年中考复习资料_专项复习资料_答案解析版
专题07三角形中的重要模型-等积模型(解析版)_02中考总复习(2026版更新中)_02-数学-中考总复习_2024年中考复习资料_专项复习资料_答案解析版
专题07三角形中的重要模型-等积模型(解析版)_02中考总复习(2026版更新中)_02-数学-中考总复习_2024年中考复习资料_专项复习资料_答案解析版
专题07三角形中的重要模型-等积模型(解析版)_02中考总复习(2026版更新中)_02-数学-中考总复习_2024年中考复习资料_专项复习资料_答案解析版
专题07三角形中的重要模型-等积模型(解析版)_02中考总复习(2026版更新中)_02-数学-中考总复习_2024年中考复习资料_专项复习资料_答案解析版
专题07三角形中的重要模型-等积模型(解析版)_02中考总复习(2026版更新中)_02-数学-中考总复习_2024年中考复习资料_专项复习资料_答案解析版
专题07三角形中的重要模型-等积模型(解析版)_02中考总复习(2026版更新中)_02-数学-中考总复习_2024年中考复习资料_专项复习资料_答案解析版
专题07三角形中的重要模型-等积模型(解析版)_02中考总复习(2026版更新中)_02-数学-中考总复习_2024年中考复习资料_专项复习资料_答案解析版
专题07三角形中的重要模型-等积模型(解析版)_02中考总复习(2026版更新中)_02-数学-中考总复习_2024年中考复习资料_专项复习资料_答案解析版
专题07三角形中的重要模型-等积模型(解析版)_02中考总复习(2026版更新中)_02-数学-中考总复习_2024年中考复习资料_专项复习资料_答案解析版
专题07三角形中的重要模型-等积模型(解析版)_02中考总复习(2026版更新中)_02-数学-中考总复习_2024年中考复习资料_专项复习资料_答案解析版
专题07三角形中的重要模型-等积模型(解析版)_02中考总复习(2026版更新中)_02-数学-中考总复习_2024年中考复习资料_专项复习资料_答案解析版
专题07三角形中的重要模型-等积模型(解析版)_02中考总复习(2026版更新中)_02-数学-中考总复习_2024年中考复习资料_专项复习资料_答案解析版
专题07三角形中的重要模型-等积模型(解析版)_02中考总复习(2026版更新中)_02-数学-中考总复习_2024年中考复习资料_专项复习资料_答案解析版
专题07三角形中的重要模型-等积模型(解析版)_02中考总复习(2026版更新中)_02-数学-中考总复习_2024年中考复习资料_专项复习资料_答案解析版

文档信息

文档格式
docx
文档大小
3.754 MB
文档页数
57 页
上传时间
2026-04-06 01:25:18

文档内容

关注公众号:陆陆高分冲刺 ~领取:最新版“小中高考-总复习”、最新试卷下载 专题 07 三角形中的重要模型-等积模型 三角形的面积问题在中考数学几何模块中占据着重要地位,等积变形是中学几何里面一个非常重要的 思想,下面的五大模型也都是依托等积变形思想变化而成的,也是学生必须掌握的一块内容。本专题就三 角形中的等积模型(蝴蝶(风筝)模型,燕尾模型,鸟头模型,沙漏模型,金字塔模型)进行梳理及对应 试题分析,方便掌握。 模型1. 等积变换基础模型 1)等底等高的两个三角形面积相等; AB AB 如图1,当 // ,则 ; 反之,如果 ,则可知直线 // 。 图1 图2 图3 2)两个三角形高相等,面积比等于它们的底之比;两个三角形底相等,面积比等于它们的高之比。 如图2,当点D是BC边上的动点时,则S ∶S =BD∶DC。 △ABD △ADC 如图3,当点D是BC边上的动点,BE⊥AD,CF⊥AD时,则S ∶S =BE∶CF。 △ABD △ADC 例1.(山东省临沂市2023-2024学年八年级月考)如图, 是 边 的中线,点E在 上, , 的面积是3,则 的面积是( ) A.4 B.3 C.2 D.1 【答案】D 【分析】利用三角形面积公式,等高的三角形的面积比等于底边的比,由此利用已知条件可以分别求出 . 资1 料整理【淘宝店铺:向阳百分百】关注公众号:陆陆高分冲刺 ~领取:最新版“小中高考-总复习”、最新试卷下载 【详解】解:∵ 是 边 的中线, 的面积是3,∴ , ∵ ,∴ ,故选:D. 【点睛】本题考查了三角形面积:三角形的面积等于底边长与高线乘积的一半;三角形的中线将三角形分 成面积相等的两部分. 例2.(河北省石家庄市2023-2024学年八年级月考)如图, 是 的边 上的中线, 是 的边 上的中线, 是 的边 上的中线,若 的面积是32,则阴影部分的面积是( ) A.9 B.12 C.18 D.20 【答案】B 【分析】利用中线等分三角形的面积进行求解即可. 【详解】解:∵ 是 的边 上的中线,∴ , ∵ 是 的边 上的中线,∴ , 又∵ 是 的边 上的中线,则 是 的边 上的中线, ∴ , , 则 ,故选:B. 【点睛】本题考查了中线的性质,清晰明确三角形之间的等量关系,进行等量代换是解题的关键. 例3.(湖北十堰五校联考2023-2024学年八年级月考)如图,点 为 的重心, , , 分别为 , , 的中点,具有性质: .已知 的面积为2,则 的 面积为 . 资2 料整理【淘宝店铺:向阳百分百】关注公众号:陆陆高分冲刺 ~领取:最新版“小中高考-总复习”、最新试卷下载 【答案】12 【分析】根据高相等的两个三角形的面积之比等于底之比可得答案. 【详解】解: , 的面积为2, 的面积为4, 的面积为 , 点 为 的中点, 的面积 的面积, 的面积为 ,故答案为:12. 【点睛】本题主要考查了三角形的重心,三角形的面积等知识,熟练掌握高相等的两个三角形的面积之比 等于底之比是解题的关键. 例4.(浙江省杭州市2023-2024学年八年级上学期10月月考数学试题)如图, 是 的一条中线, E为 边上一点且 , 相交于F,四边形 的面积为6,则 的面积是 . 【答案】14.4 【分析】连接 , 设 则 根据 为 边上中线,可得 ;根据 ,可得 进而, 的面积可表 示为 和 由此建立方程 解出a的值即可得到 的面积. 【详解】解:连接 ,如图所示:设 则 资3 料整理【淘宝店铺:向阳百分百】关注公众号:陆陆高分冲刺 ~领取:最新版“小中高考-总复习”、最新试卷下载 ∵ 为 边上中线, ∵ , , , 即 解得: . ,故答案为: 14.4. 【点睛】本题考查了三角形面积的计算,关键是利用同底等高的三角形面积相等、等高不同底的三角形面 积比为底之比来表示出三角形面积,进而使用方程思想解决问题. 例5.(2023春·江西萍乡·八年级统考期中)基本性质:三角形中线等分三角形的面积. 如图1, 是 边 上的中线,则 . 理由:因为 是 边 上的中线,所以 . 又因为 , ,所以 . 所以三角形中线等分三角形的面积. 基本应用: 在如图2至图4中, 的面积为a. 资4 料整理【淘宝店铺:向阳百分百】关注公众号:陆陆高分冲刺 ~领取:最新版“小中高考-总复习”、最新试卷下载 (1)如图2,延长 的边 到点D,使 ,连接 .若 的面积为 ,则 (用含a的代数式表示); (2)如图3,延长 的边 到点D,延长边 到点E,使 , ,连接 .若 的 面积为 ,则 (用含a的代数式表示); (3)在图3的基础上延长 到点F,使 ,连接 , ,得到 (如图4).若阴影部分的面 积为 ,则 (用含a的代数式表示); 拓展应用: (4)如图5,点D是 的边 上任意一点,点E,F分别是线段 , 的中点,且 的面积为 ,则 的面积为 (用含a的代数式表示),并写出理由. 【答案】(1)a (2)2a (3)6a (4)2a,见解析 【分析】(1)直接根据“等底同高的三角形面积相等”即可得出答案; (2)连接 ,运用“等底同高的三角形面积相等”得出 ,即可得解; (3)由(2)结论即可得出 ,从而得解; (4)点E是线段 的中点,可得 , . .点F是线段 的中点, 可得 .从而可得答案. 【详解】(1)解:如图2, 延长 的边 到点 ,使 , 为 的中线, 即 ; 资5 料整理【淘宝店铺:向阳百分百】关注公众号:陆陆高分冲刺 ~领取:最新版“小中高考-总复习”、最新试卷下载 (2)如图3,连接 , 延长 的边 到点 ,延长边 到点 ,使 , , , , ,即 ; (3)由(2)得 , 同理: , , ; (4) ,理由如下:理由:∵点E是线段 的中点, ∴ , .∴ . ∵点F是线段 的中点,∴ .∴ . 【点睛】此题考查了阅读与理解:三角形中线的性质,等底同高的三角形面积相等,灵活运用这个结论并 适当添加辅助线是解答此题的关键. 例6.(2023春·上海·九年级期中)解答下列各题 (1)如图1,已知直线 ,点 、 在直线 上,点 、 在直线 上,当点 在直线 上移动时,总有 ______与 的面积相等. 资6 料整理【淘宝店铺:向阳百分百】关注公众号:陆陆高分冲刺 ~领取:最新版“小中高考-总复习”、最新试卷下载 (2)解答下题.①如图2,在 中,已知 ,且 边上的高为5,若过 作 ,连接 、 ,则 的面积为______. ②如图3, 、 、 三点在同一直线上, ,垂足为 .若 , , , ,求 的面积. (3)如图4,在四边形 中, 与 不平行, ,且 ,过点 画一条直线平分四 边形 的面积(简单说明理由). 【答案】(1) (2)①15;② (3)图见解析,理由见解析 【分析】(1)根据 ,可得 和 同底等高,即可求解; (2)①先求出 ,再由 ,可得△ABC和△BAE是同底等高的两个三角形,即可求解; ②先求出 = ,再由 , ,可得AC∥BF,从而得到 ,即可求解;(3)过点B作BE∥AC交DC延长线于点E,连接AE,取DE的中点F,作直线 AF,则直线AF即为所求,可得 ,从而得到 ,即 可求解. 【详解】(1)解:∵ ,∴ 和 同底等高,则 与 的面积相等; (2)解:①∵ ,且 边上的高为5,∴ , ∵ ,∴△ABC和△BAE是同底等高的两个三角形,∴ ; ②∵ , , ,∴ , ∵ , , ∴ , , ∴∠EBG=120°, ∴∠EBF=60°,∴∠EBF=∠BAC,∴AC∥BF,∴ ; (3)解: 如图,过点B作BE∥AC交DC延长线于点E,连接AE,取DE的中点F,作直线AF,则直线 AF即为所求,理由如下: 资7 料整理【淘宝店铺:向阳百分百】关注公众号:陆陆高分冲刺 ~领取:最新版“小中高考-总复习”、最新试卷下载 ∵BE∥AC,∴△ABC和△AEC的公共边AC上的高也相等, ∴ ,∴ , ∴ ,∵ , ∴所以面积等分线必与CD相交,取DE中点F,则直线AF即为要求作的四边形ABCD的面积等分线. 【点睛】本题主要考查了平行的性质,熟练掌握两平行线间的距离处处相等,并利用类比思想解答是解题 的关键. 模型2.蝴蝶(风筝)模型 蝴蝶模型(定理)提供了解决不规则四边形的面积问题的一个途径。通过构造模型,一方面可以使不规则 四边形的面积关系与四边形内的三角形相联系;另一方面,也可以得到与面积对应的对角线的比例关系。 蝴蝶定理:任意四边形中的比例关系 如图1,结论:① 或 ;② 。 梯形蝴蝶定理:梯形中比例关系 如图2,结论:① ;② ;③梯形 的对应份数为 。 例1.在四边形ABCD中,AC和BD互相垂直并相交于O点,四个小三角形的面积如图所示.则阴影部分 资8 料整理【淘宝店铺:向阳百分百】关注公众号:陆陆高分冲刺 ~领取:最新版“小中高考-总复习”、最新试卷下载 三角形BCO的面积为 . 【答案】45 【详解】设阴影部分面积为x。 根据蝴蝶(风筝)定理: 即:20:x=16:36 解得:x=45 估阴影部分的面积为45. 例2、如图,S =24平方厘米,S =16平方厘米,S =25平方厘米,则S 为 平方厘米。 △ACB △ACD △ABD △COB 【答案】9平方厘米 【解析】在四边形ABCD中,根据蝴蝶(风筝)模型得:DO:BO=S :S =16:24=2:3, △ACD △ACB 则S = S = ×25=15(平方厘米),则S =S —S =24—15=9(平方厘米) △AOB △ABD △COB △ACB △AOB 资9 料整理【淘宝店铺:向阳百分百】关注公众号:陆陆高分冲刺 ~领取:最新版“小中高考-总复习”、最新试卷下载 例3、如下图,梯形 的 平行于 ,对角线 , 交于 ,已知 与 的面积分 别为 平方厘米与 平方厘米,那么梯形 的面积是________平方厘米. A B 25 35 O D C 【答案】144平方厘米 【解析】根据梯形蝴蝶定理, ,可得 , 再根据梯形蝴蝶定理, ,所以 (平方厘米). 那么梯形 的面积为 (平方厘米). 例4、如图,梯形 中, 、 的面积分别为 和 ,则梯形 的面积为 . A B O D C 【答案】7.5 【解析】根据梯形蝴蝶定理, ,所以 , , , . 例5、梯形ABCD中,对角线AC,BD交于点O,AB垂直AC,并且已知AO=6厘米,BO=10厘米,则三 角形DOC的面积是 平方厘米。 【答案】24平方厘米 【解析】在梯形ABCD中,根据蝴蝶定理得:S =S △DOC △AOB 在直角三角形AOB中,根据勾股定理得:AB2=OB2—OA2=102—62=64=82,所以AB=8 资10料整理【淘宝店铺:向阳百分百】关注公众号:陆陆高分冲刺 ~领取:最新版“小中高考-总复习”、最新试卷下载 所以S =S =6×8÷2=24(平方厘米) △DOC △AOB 例6、图中大平行四边形被分成若干小块,其中四块的面积已经标出,则中间的四边形GQHS的面积为 。 【答案】17 【解析】如下图,连接EF、GH和IJ 在平行四边形ABEF中,根据蝴蝶模型得:S =S =6, △ABP △EPF 在平行四边形EFGH中,S =S =13—6=7; △EQF △GQH 在平行四边形IDCJ中,S =S =5, △DCT △IJT 在平行四边形GIJH中,S =S =15—5=10, △GSH △ISJ 所以S =S +S =7+10=17 四边形GQHS △GQH △ISJ 模型3.燕尾(定理)模型 资11料整理【淘宝店铺:向阳百分百】关注公众号:陆陆高分冲刺 ~领取:最新版“小中高考-总复习”、最新试卷下载 条件:如图,在 中,E分别是 上的点, 在 上一点,结论:S S S S S +S S +S 1 2 3 4 1 3 2 4 BE EC。 例1、如图,△ABC中,M、N分别是BC、AC边上的三等分点,AM、BN相交于点O,已知△BOM的面 积为2,则四边形MCNO的面积为 。 【答案】8 【解析】如图,连接OC 由“燕尾定理”可得: , 所以可得 所以 ,所以四边形MCNO的面积为8. 例2.(2023·山东·八年级专题练习)如图,在△ABC中,已知点P、Q分别在边AC、BC上,BP与AQ相交 于点O,若△BOQ、△ABO、△APO的面积分别为1、2、3,则△PQC的面积为( ) 资12料整理【淘宝店铺:向阳百分百】关注公众号:陆陆高分冲刺 ~领取:最新版“小中高考-总复习”、最新试卷下载 A.22 B.22.5 C.23 D.23.5 【答案】B 【分析】连接CO,根据△BOQ、△ABO、△APO的面积分别为1、2、3,求出S =1.5,设S =x, POQ OPC △ △ S =y,仍然利用△BOQ、△ABO、△APO的面积分别为1、2、3,列出关于x、y的方程组,解得x、y的 COQ △ 值,然后利用S =S +S -S 即可求出答案. QPC OPC COQ POQ △ △ △ △ 【详解】连接CO, ∵△BOQ、△ABO、△APO的面积分别为1、2、3, ∴ , ,∴S =1.5, POQ △ 设S =x,S =y,则 ,解得 , OPC COQ △ △ S =S +S -S =15+9-1.5=22.5.故选B. QPC OPC COQ POQ △ △ △ △ 【点睛】本题考查三角形面积的相关知识点,解题的关键是熟练的掌握三角形关于面积的相关知识与运算. 例3.如下图,三角形 中, ,且三角形 的面积是 ,则三角形 的面积为 . 资13料整理【淘宝店铺:向阳百分百】关注公众号:陆陆高分冲刺 ~领取:最新版“小中高考-总复习”、最新试卷下载 【答案】19 【详解】连接BG, 份 根据燕尾定理, , 得 (份), (份),则 (份),因此 , 同理连接AI、CH得 , ,所以 三角形GHI的面积是1,所以三角形ABC的面积是19 例4.(2023江苏淮安九年级月考)已知 的面积是60,请完成下列问题: (1)如图1,若 是 的 边上的中线,则 的面积______ 的面积.(填“>”“<”“=”) (2)如图2,若 、 分别是 的 、 边上的中线,求四边形 的面积可以用如下方法, 连接 ,由 得: ,同理: ,设 , ,则 , 由题意得: , ,可列方程组为: ,解得 ______,则可得四边形 的面积为______.(3)如图3, , ,则四边形 资14料整理【淘宝店铺:向阳百分百】关注公众号:陆陆高分冲刺 ~领取:最新版“小中高考-总复习”、最新试卷下载 的面积为______.(4)如图4,D,F是 的三等分点,E,G是 的三等分点, 与 交于O, 且 ,则四边形A 的面积为______. 【答案】(1)= (2) ,20 (3)11 (4) 【分析】(1)过点A作 于点H,根据中线的定义得出 ,再根据三角形的面积公式得出 ,即可得出结论; (2)用加减消元法求解该二元一次方程组,根据 ,即可求解; (3)连接 ,根据题意得出 , ,则 , ,设 , ,则 , ,列出方 程组求解, 最后根据 即可求解; (4)连接 ,根据题意得出 , ,用和(3)一样的方法即可求解. 【详解】(1)解:过点A作 于点H, ∵ 是 的 边上的中线,∴ , ∵ ,∴ ,故答案为:=; 资15料整理【淘宝店铺:向阳百分百】关注公众号:陆陆高分冲刺 ~领取:最新版“小中高考-总复习”、最新试卷下载 (2)解: , 得: ,解得: , 把 代入①得: ,解得: , ∴原方程组的解为 ,∴ ,故答案为: ,20; (3)解:连接 ,∵ , , ∴ , , ∵ 的面积是60,∴ , , 设 , ,则 , , ,解得: ,∴ ;故答案为:11; (4)解:连接 ,∵D,F是 的三等分点,E,G是 的三等分点, ∴ , ,∴ , , ∵ 的面积是60,∴ , , 设 , ,则 , , ,解得: ,∴ ;故答案为: . 【点睛】本题考查了三角形综合,解二元一次方程组,解题的关键是掌握同高三角形面积比等于底的比. 资16料整理【淘宝店铺:向阳百分百】关注公众号:陆陆高分冲刺 ~领取:最新版“小中高考-总复习”、最新试卷下载 模型4.鸟头定理(共角定理)模型 图1 图2 共角三角形:两个三角形中有一个角相等或互补,这两个三角形叫做共角三角形。 共角定理:共角三角形的面积比等于对应角(相等角或互补角)两夹边的乘积之比。 如图,在 中, 分别是 上的点(如图1)或 在 的延长线上, 在 上(如图2),则 例1、如图,在三角形ABC中,D、E是AB,AC上得点,且AD:AB=2:5,AE:AC=4:7,三角形ADE的 面积是16平方厘米,则ABC的面积为 。 【答案】70平方厘米 【解析】①观察:图中存在鸟头模型‚假设:设三角形ABC的面积为a 转化:由鸟头模型比例关系有:16:a=(4×2):(5×7),得a=70。 即三角形ABC的面积是70平方厘米。 例2.(2023·山西晋中·九年级统考阶段练习)阅读理解 如果两个三角形中有一组对应角相等或互补,那么这两个三角形叫做共角三角形,共角三角形的面积比等 于对应角(相等角或互补角)两夹边的乘积之比, 例:在图1中,点D,E分别在AB和AC上, ADE和 ABC是共角三角形,则 △ △ 证明:分别过点E,C作EG⊥AB于点G,CF⊥AB于点F,得到图2, ∵∠AGE=∠AFC,又∵∠A=∠A,∴△GAE∽△FAC,∴ 资17料整理【淘宝店铺:向阳百分百】关注公众号:陆陆高分冲刺 ~领取:最新版“小中高考-总复习”、最新试卷下载 又 即 任务:(1)如图3,已知∠BAC+∠DAE=180°,请你参照材料的证明方法,求证: (2)在(1)的条件下,若 则AE= . 【答案】(1)见解析;(2)6 【分析】(1)过点C作CG⊥AB于G,过点E作EF⊥DA交DA延长线于F,可得∠EFA=∠CGA=90°,再由 ∠BAC+∠DAE=180°,∠DAE+∠EAF=180°,推出∠CAG=∠EAF,即可证明△CAG∽△EAF,得到 , 再由 , ,得到 . (2)根据 , ,可得 ,由此求解即可. 【详解】解:(1)如图所示,过点C作CG⊥AB于G,过点E作EF⊥DA交DA延长线于F, ∴∠EFA=∠CGA=90°, ∵∠BAC+∠DAE=180°,∠DAE+∠EAF=180°, ∴∠CAG=∠EAF,∴△CAG∽△EAF,∴ , ∵ , ,∴ ; 资18料整理【淘宝店铺:向阳百分百】关注公众号:陆陆高分冲刺 ~领取:最新版“小中高考-总复习”、最新试卷下载 (2)∵ , ,∴ , ∵ ∴ 故答案为:6. 【点睛】本题考查相似三角形的性质与判定,解题关键在于能够准确读懂题意作出辅助线构造相似三角形. 例3.(2023·重庆·九年级专题练习)问题提出:如图1,D、E分别在△ABC的边AB、AC上,连接DE, 已知线段AD=a,DB=b,AE=c,EC=d,则S ADE,S ABC和a,b,c,d之间会有怎样的数量关系呢? △ △ 问题解决:探究一:(1)看到这个问题后,我们可以考虑先从特例入手,找出其中的规律.如图2,若 资19料整理【淘宝店铺:向阳百分百】关注公众号:陆陆高分冲刺 ~领取:最新版“小中高考-总复习”、最新试卷下载 DE∥BC,则∠ADE=∠B,且∠A=∠A,所以△ADE∽△ABC,可得比例式: 而根据相似三角 形面积之比等于相似比的平方.可得 .根据上述这两个式子,可以推出: . (2)如图3,若∠ADE=∠C,上述结论还成立吗?若成立,请写出证明过程;着不成立,请说明理由. 探究二:回到最初的问题,若图1中没有相似的条件,是否仍存在结论: ?方法回顾: 两个三角形面积之比,不仅可以在相似的条件下求得,当两个三角形的底成高具有一定的关系时,也可以 解决.如图4,D在△ABC的边上,做AH⊥BC于H,可得: .借用这个结论,请 你解决最初的问题. 延伸探究:(1)如图5,D、E分别在△ABC的边AB、AC反向延长线上,连接DE,已知线段AD=a, AB=b,AE=c,AC=d,则 .(2)如图6,E在△ABC的边AC上,D在AB反向延长线上, 连接DE,已知线段AD=a,AB=b,AE=c,AC=d, . 结论应用:如图7,在平行四边形ABCD中,G是BC边上的中点,延长GA到E,连接DE交BA的延长线 于F,若AB=5,AG=4,AE=2, ▱ ABCD的面积为30,则△AEF的面积是 . 【答案】探究一:(2)见解析;延伸探究:(1) ;(2) ;结论应用: 【分析】问题解决:探究一(2):参照(1)中证明方法解答即可; 探究二,过D、B点分别作 ,垂足分别为M、N,然后按照探究一中方法证明即可; 延伸探究:(1)过D、B点分别作 ,垂足分别为M、N,然后按照探究一中方法证明即可; 资20料整理【淘宝店铺:向阳百分百】关注公众号:陆陆高分冲刺 ~领取:最新版“小中高考-总复习”、最新试卷下载 (2)过D、B点分别作 ,垂足分别为M、N,然后按照探究一中方法证明即可; 结论应用:取AD的中点M,连接GM并延长交DE于点N,连接DG,可得 ,根据题意,进而得 出 ,根据AM=DM, ,可得FN=DN,根据AE=2,AG=4, ,可得FN=2EF,进而可 得ED=5EF,即可得出 . 【详解】解:问题解决:探究一:(2)成立,理由如下:∵∠ADE=∠C,∠A=∠A, ∴ ,∴ ,∴ ; 探究二:过D、B点分别作 ,垂足分别为M、N, ∵ ,∴ ,∴ , ; 延伸探究:(1)过D、B点分别作 ,垂足分别为M、N, ∵ ,∴ ,∴ , 资21料整理【淘宝店铺:向阳百分百】关注公众号:陆陆高分冲刺 ~领取:最新版“小中高考-总复习”、最新试卷下载 ; (2)过D、B点分别作 ,垂足分别为M、N, ∵ ,∴ ,∴ , ; 结论应用:取AD的中点M,连接GM并延长交DE于点N,连接DG, ∴AM=DM, ,∵AE=2,AG=4,∴ , ∵AM=DM, ,∴FN=DN,∵AE=2,AG=4, ,∴ ,即:FN=2EF, ∴ED=5EF,∴ . 【点睛】本题考查了相似三角形的判定与性质,平行线分线段成比例等知识点,熟练运用相似三角形的性 质是解题的关键. 模型5.金字塔与沙漏模型 金字塔模型 沙漏模型 条件:① ;② 。 例1.(2023秋·辽宁沈阳·九年级校考阶段练习)如图,已知点D、E分别是 边上的点,且 ,面积比为 , 交 于点F.则 ( ) 资22料整理【淘宝店铺:向阳百分百】关注公众号:陆陆高分冲刺 ~领取:最新版“小中高考-总复习”、最新试卷下载 A. B. C. D. 【答案】A 【分析】根据相似三角形的性质可得 , ,再根据相似三角形的对应边上高的比等于相似 比即可求解. 【详解】解:∵ , 是公共角,∴ ,∴ , ∵ ,∴ ,∵ ,面积比为 ∴相似比为 ,∴ ,故选:A. 【点睛】本题考查了相似三角形的性质,明确“相似三角形的对应边上高的比等于相似比”,灵活运用是 关键. 例2.(2023·福建龙岩·九年级校考阶段练习)如图, 中, , 与 相交于点 .如果 ,那么 等于( ) A. B. C. D. 【答案】A 【分析】根据 , 得到 , ,结合面积比等于相似比平 方即可得到答案; 【详解】解:∵ , ,∴ , , ∴ ,故选:A. 资23料整理【淘宝店铺:向阳百分百】关注公众号:陆陆高分冲刺 ~领取:最新版“小中高考-总复习”、最新试卷下载 【点睛】本题考查平行线分线段成比例定理,相似三角形的判定和性质,关键是掌握相似三角形面积比等 于相似比的平方. 例3.(2023·江苏·模拟预测)如图所示的网格是正方形网格,A,B,C,D是网格线交点,AC与BD相交 于点O,则 的面积与 的面积的比为( ) A.1:2 B. C.1:4 D. 【答案】C 【分析】设小方格的边长为1,根据等腰直角三角形和勾股定理求出AB和CD的长,再根据 得到 ,然后利用相似三角形的性质来求解. 【详解】解:如下图, 设小方格的边长为1,∵ 、 分别是边长为1和2的等腰直角三角形, ∴ , , . ∵ ,∴ ,∴ . 又∵ ,∴ ,∴ ,∴ .故选:C. 【点睛】本题考查相似三角形面积比与相似比的关系,关键是判断两三角形相似,确定其相似比. 资24料整理【淘宝店铺:向阳百分百】关注公众号:陆陆高分冲刺 ~领取:最新版“小中高考-总复习”、最新试卷下载 例4.(2023春·北京海淀·九年级校考开学考试)如图, 是等边三角形,被一矩形所截, 被截成 三等分, ,若图中阴影部分的面积是6,则四边形 的面积为( ) A.8 B.9 C.10 D.11 【答案】C 【分析】由题意易得 ,则有 ,然后根据相似三角形的性质可进行求 解. 【详解】解:由题意可知: ,∴ , ∵ ,∴ ,∴ , ∵阴影部分的面积是6,∴ , ∴ ,∴ ;故选C. 【点睛】本题主要考查相似三角形的性质与判定,熟练掌握相似三角形的性质与判定是解题的关键. 例5.(2023·辽宁·九年级校考期中)如图, 为驾驶员的盲区,驾驶员的眼睛点 处与地面 的距离为 米,车头 可近似看成一个矩形,且满 ,盲区 的长度是6米,车宽 的长度为 米. 【答案】 / 【分析】过点 作 ,垂足为 ,交 于点 ,根据题意,设 米,由 得, ,证明 ,得出 ,根据 列出方程,解方程即可求解. 资25料整理【淘宝店铺:向阳百分百】关注公众号:陆陆高分冲刺 ~领取:最新版“小中高考-总复习”、最新试卷下载 【详解】解:如图,过点 作 ,垂足为 ,交 于点 ,则 , 设 米,由 得, , ∵四边形 是矩形,∴ ,∴ , ∴ ,即 ,∴ , ∵ ,∴ ,解得, , ∴车宽 的长度为 米,故答案为: . 【点睛】本题考查了相似三角形的应用,矩形的性质,掌握相似三角形的性质是解题的关键. 例6.(2023·四川成都·九年级成都实外校考期中)如图, 中,点 分别在 上,且 , 于点M, 于点N, 于点D,交 于点E,且 ,连 接 ,若 的面积等于75,则 的最小值为 . 【答案】 【分析】先证 ,利用对应高之比等于相似比,设 ,根据勾股定理表示出 ,通过配 方求最小值. 【详解】解: , , , , , , , 资26料整理【淘宝店铺:向阳百分百】关注公众号:陆陆高分冲刺 ~领取:最新版“小中高考-总复习”、最新试卷下载 , , , ∴四边形 是矩形, , , , , , , ; 的面积等于75, , , , , , 设 ,则 , , , ∴当 时, 有最小值 .故答案为: . 【点睛】本题考查了相似三角形的性质和判定、三角形面积、勾股定理,解决问题的关键熟练掌握相似三 角形的判定和性质定理. 例7.(2022秋·河南郑州·九年级校考期中)如图,矩形EFGH内接于 (矩形各顶点在三角形边上), E,F在 上,H,G分别在 , 上,且 于点D,交 于点N. (1)求证: (2)若 , ,设 ,则当x取何值时,矩形 的面积最大? 最大面积是多少? 【答案】(1)见解析;(2)当 取1.5时,矩形 的面积最大,,最大面积是6.75. 【分析】(1)由 ,可证 ;(2)由相似三角形的性质可得 ,表达出 与 的关系,进而求出矩形 的面积与 之间的函数关系式,进而解答. 【详解】(1)证明:∵四边形 是矩形,∴ ,∴ ; (2)∵ ,∴ ,∴ , ∴ ,设矩形 的面积为 ,则 . ∴当 取1.5时,矩形 的面积最大,最大面积是6.75. 【点睛】本题考查了相似三角形的判定和性质,矩形的性质,熟练运用相似三角形的性质是本题的关键. 资27料整理【淘宝店铺:向阳百分百】关注公众号:陆陆高分冲刺 ~领取:最新版“小中高考-总复习”、最新试卷下载 课后专项训练 1.(2023山西八年级期末)如图在 中, 、 分别是边 、 的中点. , ,则图中阴影部分的面积为( ) A. B. C. D. 【答案】A 【分析】可求得 , , ,据此即可求得答案. 【详解】∵ 是边 的中点,∴ . ∵ 是边 的中点,∴ . ∵ ,∴ .∴ .故选:A. 【点睛】本题主要考查三角形的中线,牢记三角形的中线的定义是解题的关键. 2.(2023·江苏扬州·八年级校联考期末)如图,一个矩形分成4个不同的三角形,绿色三角形面积占矩形 面积的15%,黄色三角形面积是21平方厘米,则矩形面积为 平方厘米. 【答案】60 资28料整理【淘宝店铺:向阳百分百】关注公众号:陆陆高分冲刺 ~领取:最新版“小中高考-总复习”、最新试卷下载 【详解】分别作出黄色三角形和绿色三角形的高线,据矩形的性质和三角形的面积公式说明S +S = S 黄 绿 矩 ,然后列式计算即可. 形 详解:如图,分别作出4个三角形的高线.∵四边形ABCD是矩形,∴AD=BC,AB=CD. ∴S +S = AD·OM+ BC·ON= AD·AB= S ,∴S =21÷( -15%)=60平方厘米.故答案为60. 黄 绿 矩形 矩形 点睛:本题考查了矩形的性质和三角形的而面积公式,证明S +S = S 是解答本题的关键. 黄 绿 矩形 3.(2023安徽芜湖八年级期中)如图,在 中, 分别是 的中点,且 ,则 . 【答案】 【分析】由点 , , 分别为边 , , 的中点可得 是 的中线, 是 的中线, 是 的中线, 是 的中线,得 的面积,再由 是 的中线,得到 的面积. 【详解】解: 已知点 , , 分别为边 , , 的中点, 是 的中线, 是 的中线, 是 的中线, 是 的中线, 是 的中线, , 点 是 的中点, , , , 点 是 的中点, ,即 .故答案为: . 【点睛】本题考查了三角形的中线和三角形面积之间的关系“三角形的中线将三角形分成两个面积相等的 资29料整理【淘宝店铺:向阳百分百】关注公众号:陆陆高分冲刺 ~领取:最新版“小中高考-总复习”、最新试卷下载 三角形”,这也是本题的突破点. 4.(浙江省杭州2023-2024学年九年级上学期10月月考数学试题)如图, 是 的一条中线, 为 边上一点且 相交于 ,四边形 的面积为 ,则 的面积是 . 【答案】 【分析】连接 ,设 ,则 ,根据 为 边上中线,可得 , ;根据 ,可得 , ,进而 的面积可表示 为 和 ,由此建立方程 ,解出 的值即可得到 的面积. 【详解】解:连接 ,如图所示: 设 ,则 , 为 边上中线, , , , , , , ,即 ,解得: , ,故答案为: . 资30料整理【淘宝店铺:向阳百分百】关注公众号:陆陆高分冲刺 ~领取:最新版“小中高考-总复习”、最新试卷下载 【点睛】本题考查与中线有关的三角形面积的计算,关键是利用同底等高的三角形面积相等、等高不同底 的三角形面积比为底之比来表示出三角形面积,进而使用方程思想解决问题. 5.(广东省宝安区文汇学校2023-2023学年九年级上学期月考数学试题)如图, 的面积为 , ,则四边形 的面积等于 . 【答案】 【分析】连接 ,求出 , , ,设 ,则 ,得到 ,解方程后即可 得到四边形 的面积. 【详解】解:如图,连接 , ∵ ∴ ,∴ ,∴ , ∵ 的面积为 ,∴ , ∴ , ,设 ,则 , ,解得 ,∴四边形 的面积为 .故答案是: 资31料整理【淘宝店铺:向阳百分百】关注公众号:陆陆高分冲刺 ~领取:最新版“小中高考-总复习”、最新试卷下载 【点睛】此题考查的是不同底等高的三角形面积,灵活分割三角形面积进行计算是解答此题的关键. 6. 如图,在 中,已知 、 分别在边 、 上, 与 相交于 ,若 、 和 的面积分别是3、2、1,则 的面积是 . A M O C B N 【答案】22.5 【详解】这道题给出的条件较少,需要运用共边定理和蝴蝶定理来求解. 根据蝴蝶定理得 设 ,根据共边定理我们可以得 , ,解得 . 7. 如图, , ,求梯形的面积. S 1 S 2 S 4 S 3 【答案】9 【详解】设 为 份, 为 份,根据梯形蝴蝶定理, ,所以 ; 又因为 ,所以 ;那么 , , 所以梯形面积 , 或者根据梯形蝴蝶定理, . 8. 四边形 的对角线 与 交于点 (如图所示)。如果三角形 的面积等于三角形 的面积 的 ,且 , ,那么 的长度是 的长度的_________倍。 D D A A G H O O B C B C 资32料整理【淘宝店铺:向阳百分百】关注公众号:陆陆高分冲刺 ~领取:最新版“小中高考-总复习”、最新试卷下载 【答案】 【详解】在本题中,四边形 为任意四边形,对于这种”不良四边形”,无外乎两种处理方法:⑴利 用已知条件,向已有模型靠拢,从而快速解决;⑵通过画辅助线来改造不良四边形。看到题目中给出条件 ,这可以向模型一蝴蝶定理靠拢,于是得出一种解法。又观察题目中给出的已知条件是 面积的关系,转化为边的关系,可以得到第二种解法,但是第二种解法需要一个中介来改造这个”不良四 边形”,于是可以作 垂直 于 , 垂直 于 ,面积比转化为高之比。再应用结论:三角形 高相同,则面积之比等于底边之比,得出结果。请老师注意比较两种解法,使学生体会到蝴蝶定理的优势, 从而主观上愿意掌握并使用蝴蝶定理解决问题。 解法一:∵ ,∴ ,∴ . 解法二:作 于 , 于 . ∵ ,∴ ,∴ ,∴ , ∴ ,∴ . 9.如图,△ABC三边的中线AD,BE,CF的公共点为G,且AG:GD=2:1,若S△ABC =12,则图中阴影 部分的面积是 . 【答案】4 【详解】解:∵△ABC的三条中线AD、BE,CF交于点G,AG:GD=2:1,∴AE=CE, ∴S△CGE =S△AGE = S△ACF ,S△BGF =S△BGD = S△BCF , ∵S△ACF =S△BCF = S△ABC = ×12=6, ∴S△CGE = S△ACF = ×6=2,S△BGF = S△BCF = ×6=2, ∴S阴影 =S△CGE +S△BGF =4.故答案为:4. 10.如图,三角形 的面积是 , 是 的中点,点 在 上,且 , 与 交于点 .则四边形 的面积等于 . 资33料整理【淘宝店铺:向阳百分百】关注公众号:陆陆高分冲刺 ~领取:最新版“小中高考-总复习”、最新试卷下载 【答案】 【详解】方法一:连接 , 根据燕尾定理, , , 设 份,则 份, 份, 份, 如图所标 所以 方法二:连接 , 由题目条件可得到 , ,所以 , , 而 .所以则四边形 的面积等于 . 11、如图所示,在△ABC中,BD=2DA,CE=2EB,AF=2FC,那么△ABC的面积是△GHI面积的几倍? 资34料整理【淘宝店铺:向阳百分百】关注公众号:陆陆高分冲刺 ~领取:最新版“小中高考-总复习”、最新试卷下载 【答案】7 解析:如下图,连接AI。 在三角形ABC中,根据燕尾模型得:AD:DB=S :S =1:2; △ACI △BCI 同理:AF:FC=S :S =2:1,所以S :S :S =1:2:4 △ABI △BCI △ACI △BCI △ABI S = S ,同理:S = S ,S = S △BCI △ABC △ACG △ABC △ABH △ABC 所以S =(1— ×3)S = S ,即S 是S 的7倍 △GHI △ABC △ABC △ABC △GHI 12、如图,S =48平方厘米,S =32平方厘米,S =45平方厘米,则S 为多少平方厘米? △ACB △ACD △ABD △COB 【答案】21平方厘米 【解析】在四边形ABCD中,根据风筝模型得:DO:BO=S :S =32:48=2:3, △ACD △ACB 则S = S = ×45=27(平方厘米),则S =S —S =48—27=21(平方厘米) △AOB △ABD △COB △ACB △AOB 资35料整理【淘宝店铺:向阳百分百】关注公众号:陆陆高分冲刺 ~领取:最新版“小中高考-总复习”、最新试卷下载 13、图中大平行四边形被分成若干小块,其中四块的面积已经标出,那么中间的四边形 GQHS的面积是多 少? 【答案】17 【解析】如下图,连接EF、GH和IJ。 在平行四边形ABEF中,根据蝴蝶模型得:S =S =6, △ABP △EPF 在平行四边形EFGH中,S =S =12—6=6;在平行四边形IDCJ中,S =S =5, △EQF △GQH △DCT △IJT 在平行四边形GIJH中,S =S =16—5=11,所以S =S +S =6+11=17 △GSH △ISJ 四边形GQHS △GQH △ISJ 14如图,某公园的外轮廓是四边形ABCD,被对角线AC、BD分成四个部分,△AOB面积为1平方千米, △BOC面积为2平方千米,△COD的面积为3平方千米,公园由陆地面积是6.92平方千米和人工湖组成, 求人工湖的面积是多少平方千米? C B O A D 【答案】0.58平方千米 【详解】根据蝴蝶定理求得 平方千米, 公园四边形 的面积是 平方千米, 所以人工湖的面积是 平方千米 15.(2023春·北京西城·七年级校考期中)阅读与理解: 三角形的中线的性质:三角形的中线等分三角形的面积,即如图1, 是 中 边上的中线,则 资36料整理【淘宝店铺:向阳百分百】关注公众号:陆陆高分冲刺 ~领取:最新版“小中高考-总复习”、最新试卷下载 . 理由: , , 即:等底同高的三角形面积相等. 操作与探索:在如图2至图4中, 的面积为 . (1)如图2,延长 的边 到点 ,使 ,连接 .若 的面积为 ,则 ___________(用含 的代数式表示); (2)如图3,延长 的边 到点 ,延长边 到点 ,使 , ,连接 .若 的面积为 ,则 ___________(用含 的代数式表示),并写出理由; (3)在图3的基础上延长 到点 ,使 ,连接 , ,得到 (如图 .若阴影部分的面 积为 ,则 ___________;(用含 的代数式表示) 拓展与应用:(4)如图5,已知四边形 的面积是 , 、 、 、 分别是 、 、 、 的 中点,连接 交于点O,求图中阴影部分的面积? 【答案】(1) ;(2) ;(3) ;(4) . 资37料整理【淘宝店铺:向阳百分百】关注公众号:陆陆高分冲刺 ~领取:最新版“小中高考-总复习”、最新试卷下载 【分析】(1)直接根据“等底同高的三角形面积相等”即可得出答案; (2)连接 ,运用“等底同高的三角形面积相等”得出 ,即可得解; (3)由(2)结论即可得出 ,从而得解; (4)连接 ,运用“等底同高的三角形面积相等”得出 , ,从而得解. 【详解】(1)解:如图2, 延长 的边 到点 ,使 , 为 的中线, 即 ;故答案为: ; (2)解:如图3,连接 , 延长 的边 到点 ,延长边 到点 ,使 , , , , ,即 ;故答案为: ; (3)解:由(2)得 , 同理: , , ;故答案为: ; 资38料整理【淘宝店铺:向阳百分百】关注公众号:陆陆高分冲刺 ~领取:最新版“小中高考-总复习”、最新试卷下载 (4)解:如图5所示,连接 , 则 , , ;故阴影部分的面积为 . 【点睛】此题考查了阅读与理解:三角形中线的性质即等底同高的三角形面积相等,灵活运用这个结论并 适当添加辅助线是解答此题的关键. 16.(2022秋·陕西西安·七年级西安益新中学校考期中)探索:在图 至图 中,已知 的面积为 , 资39料整理【淘宝店铺:向阳百分百】关注公众号:陆陆高分冲刺 ~领取:最新版“小中高考-总复习”、最新试卷下载 (1)如图 ,延长 的边 到点 ,使 ,连接 若 的面积为 ,则 ______ 用含 的代数式表示 (2)如图 ,延长 的边 到点 ,延长边 到点 ,使 , ,连接 若 的 面积为 ,则 ______ 用含 的代数式表示 (3)在图 的基础上延长 到点 ,使 ,连接 , ,得到 (如图)若阴影部分的面积 为 ,则 ______ 用含 的代数式表示 (4)发现:像上面那样,将 各边均顺次延长一倍,连接所得端点,得到 如图 ,此时,我们 称 向外扩展了一次.可以发现,扩展一次后得到的 的面积是原来 面积的______倍. (5)应用:要在一块足够大的空地上栽种花卉,工程人员进行了如下的图案设计:首先在 的空地上种 红花,然后将 向外扩展三次 图 已给出了前两次扩展的图案 在第一次扩展区域内种黄花,第二次 扩展区域内种紫花,第三次扩展区域内种蓝花.如果种红花的区域 即 的面积是 平方米,请你运 用上述结论求出:①种紫花的区域的面积;②种蓝花的区域的面积. 【答案】(1) (2) (3) (4) (5)①种紫花的区域的面积420平方米,②种蓝花的区域的面积2940平方米 【分析】(1)过点A作 于H,如图1,由于 与 底相等、高相同,因此它们的面积相 等,问题得以解决;(2)连接 ,如图2,同(1)可求出 的面积,就可解决问题; (3)如图3,同(2)可求出 的面积,问题得以解决;(4)根据 即可得出结论 资40料整理【淘宝店铺:向阳百分百】关注公众号:陆陆高分冲刺 ~领取:最新版“小中高考-总复习”、最新试卷下载 (5)①利用探索与发现中的结论可得:种紫花的区域的面积等于△DEF面积的6倍, ,根 据条件 平方米,就可解决问题;②利用探索与发现中的结论可得:种蓝花的区域的面积等于 面积的6倍, ,只需把 代入,就可解决问题. 【详解】(1)解:探索:过点A作 于H,如图1, ∵ , ,∴ .故答案为a. (2)解:连接 ,如图2, 同理可得 ,∴ .故答案为2a. (3)解:同(2)可得 ,∴ ,故答案为 ; (4)解:如图3, ,故答案为7; (5)解:① 资41料整理【淘宝店铺:向阳百分百】关注公众号:陆陆高分冲刺 ~领取:最新版“小中高考-总复习”、最新试卷下载 根据上述结论可得: (平方米), ∴种紫花的区域的面积 (平方米); ②同理可得: (平方米), 种蓝花的区域的面积 (平方米); 所以,种紫花的区域的面积420平方米,种蓝花的区域的面积2940平方米. 【点睛】本题主要考查了三角形的面积公式,另外还考查了归纳、探究的能力,运用已有经验解决问题的 能力,突出了对能力的考查. 17.(2022·河南郑州·校考二模)小明发现,若一个三角形中,中线的存在会和三角形的面积有一定的关 系. 如图1, 中, 为 边的中线,可得 ,过点 作 于 ,则 在持续研究中,小明发现,这个研究可以运用到很多问题解决中,请你帮助小明完成下列任务: (1)如图2,矩形 中,点 , 分别为 , 上的动点,且 , 与 交于点 .连 接 .①判断 与 的面积关系;②若 , ,当点 为 的中点时,求四边形 资42料整理【淘宝店铺:向阳百分百】关注公众号:陆陆高分冲刺 ~领取:最新版“小中高考-总复习”、最新试卷下载 的面积;(2) 中, , ,点 为 的中点,连接 ,将 沿 折叠,点 的对应点为点 ,若 与 重合部分的面积为 面积的 ,直接写出 的面积. 【答案】(1)(1)① ,理由见解析;②6;(2) 或 ; 【分析】(1)①只需要证明△MDE≌△ANE得到ME=AE,即可推出 ;②先求出 , ,再证 ,即可得到结果; (2)分如图2-1所示,当△ABC是锐角三角形时,如图3-2所示,当△ABC时钝角三角形时,两种情况讨 论求解即可. 【详解】(1)解:① ,理由如下: ∵四边形ABCD是矩形,∴ ,∴∠MDE=∠ANE,∠DME=∠NAE, 在△MDE和△ANE中, ,∴△MDE≌△ANE(ASA), ∴ME=AE,∴ ; ②∵四边形ABCD是矩形,∴∠DAN=90°,AB=CD=4, , ∵M是CD的中点,∴ , , 又∵ ,∴ , ∴ ; (2)解:如图2-1所示,当△ABC是锐角三角形时,重叠部分即为△CDQ, ∵D是AB的中点,∴ , , ∵重叠部分的面积为 面积的 ,∴ , ∴Q为BD的中点,∴ ,由折叠的性质可得, , 资43料整理【淘宝店铺:向阳百分百】关注公众号:陆陆高分冲刺 ~领取:最新版“小中高考-总复习”、最新试卷下载 过点D作DF⊥BC于F,∴ , ∵点到直线的距离垂线段最短,过直线外一点有且只有一条线段与已知直线垂直, ∴Q与F点重合,即DQ⊥CE,在Rt△ACQ中, , ∴ , 如图3-2所示,当△ABC时钝角三角形时,重叠部分为△CDQ, 同理可证Q为BC的中点,Q为DE的中点, 又∵D为AB的中点,∴DQ是△ABC的中位线, , ∴ , ,∴ , 过点C作CF⊥AB于F,∴ ,∴ , 综上所述, 或 . 【点睛】本题主要考查了全等三角形的性质与判定、矩形的性质、三角形中线的性质、折叠的性质、含30 度角的直角三角形的性质、点到直线的距离、三角形面积、三角形中位线定理等等,熟知三角形中线的性 资44料整理【淘宝店铺:向阳百分百】关注公众号:陆陆高分冲刺 ~领取:最新版“小中高考-总复习”、最新试卷下载 质是解题的关键. 18.(2022秋·浙江·九年级专题练习)如图1,点 将线段 分成两部分,如果 ,那么称点 为线段 的黄金分割点. 某研究小组在进行课题学习时,由黄金分割点联想到“黄金分割线”,类似地给出“黄金分割线”的定义: 直线 将一个面积为 的图形分成两部分,这两部分的面积分别为 , ,如果 ,那么称直线 为 该图形的黄金分割线. (1)研究小组猜想:在 中,若点 为 边上的黄金分割点(如图2),则直线CD是 的黄 金分割线.你认为对吗?为什么? (2)请你说明:三角形的中线是否也是该三角形的黄金分割线? (3)研究小组在进一步探究中发现:过点 任作一条直线交 于点E,再过点 作直线 ,交AC 于点F,连接EF(如图3),则直线EF也是 的黄金分割线.请你说明理由. (4)如图4,点E是 的边 的黄金分割点,过点E作 ,交 于点 ,显然直线 是 的黄金分割线.请你画一条 的黄金分割线,使它不经过 各边黄金分割点. 【答案】(1)对,理由见解析(2)不可能,理由见解析;(3)理由见解析(4)见解析 【分析】(1)由于 、 、 是同高,而点 为边 的黄金分割点,则 ,所以 ,故直线 是 的黄金分割线; (2)只需判断它们面积比是否相等,若相等则中线是三角形的黄金分割线,否则不是; (3)根据平行线间的距离相等,则 ,设直线 与 交于点 ,则 .通过图 资45料整理【淘宝店铺:向阳百分百】关注公众号:陆陆高分冲刺 ~领取:最新版“小中高考-总复习”、最新试卷下载 形面积的转化,直线 分三角形的图形面积有 ,故直线 也是 的黄金分割线; (4)画法不唯一,只需分成图形面积比相等即可. 【详解】解:(1)直线 是 的黄金分割线.理由如下: 设 的边 上的高为 .则 , , , ∴ , . 又∵点 为边 的黄金分割点,∴ .则 . ∴直线 是 的黄金分割线. (2)∵三角形的中线将三角形分成面积相等的两部分, ∴ ,即 ,∴三角形的中线不可能是该三角形的黄金分割线. (3)∵ ,∴ 和 的公共边 上的高也相等,∴ . 设直线 与 交于点 .则 . ∴ , . 又∵ ,∴ . ∴直线 也是 的黄金分割线. (4)画法不唯一,现提供两种画法; 画法一:如答图1,取 的中点 ,再过点 作一条直线分别交 ,DC于 ,N点,则直线MN就 是 的黄金分割线. 画法二:如答图2,在DF上取一点N,连接EN,再过点F作 交 于点 ,连接MN,则直 线MN就是 的黄金分割线. 资46料整理【淘宝店铺:向阳百分百】关注公众号:陆陆高分冲刺 ~领取:最新版“小中高考-总复习”、最新试卷下载 【点睛】本题考查平行四边形的性质、三角形的中线性质、黄金分割、三角形的面积、平行线的性质等知 识,综合性强,有一定的难度,关键是黄金分割线的灵活运用. 19.(2023春·江苏南京·七年级校考阶段练习)【数学经验】三角形的中线,角平分线,高是三角形的重 要线段,同时,我们知道,三角形的3条高所在直线交于同一点. (1)①如图1, 中, ,则 的三条高所在直线交于点 ; ②如图2, 中, ,已知两条高 、 ,请你仅用一把无刻度的直尺(仅用于过任意两 点作直线、连接任意两点、延长任意线段)画出 的第三条高.(不写画法,保留作图痕迹) 【综合应用】(2)如图3,在 中, , 平分 ,过点 作 于点 . ①若 , ,则 ;②请写出 与 , 之间的数量关系 ,并 说明理由. 【拓展延伸】(3)三角形的中线将三角形分成面积相等的两部分,如果两个三角形的高相同,则它们的面积 比等于对应底边的比.如图4, 中, 是 上一点,则有 .如图5, 中, 是 上一点,且 , 是 的中点,若 的面积是 ,请直接写出四边形 的面积 .(用含 的代数式表示) 【答案】(1)①A;②见解析(2)① ;② (3) 【分析】(1)①由直角三角形三条高的定义即可得出结论;②延长 、 交于点 ,连接 ,延长 交 于点 ,则 为 的第三条高; (2)①由三角形内角和定理和角平分线定义得 ,再由直角三角形的性质得 资47料整理【淘宝店铺:向阳百分百】关注公众号:陆陆高分冲刺 ~领取:最新版“小中高考-总复习”、最新试卷下载 ,即可求解;②由三角形内角和定理和角平分线定义求解即可; (3)连接 ,由中线的性质得 ,同理 ,设 ,则 , 再求出 , ,然后由面积关系求出 ,即可解决问题. 【详解】(1)解:① 直角三角形三条高的交点为直角顶点, , 的三条高所在直线交于点 ,故答案为: ; ②如图2,延长 、 交于点 ,连接 ,延长 交 于点 ,则 为 的第三条高; (2)解:① , , , 平分 , , , , , ,故答案为: ; ② 与 , 之间的数量关系为: ,理由如下: , , , , 平分 , , , , , ,故答案为: ; (3)解:连接 ,如图5所示: 资48料整理【淘宝店铺:向阳百分百】关注公众号:陆陆高分冲刺 ~领取:最新版“小中高考-总复习”、最新试卷下载 是 的中点, , ,同理: , 设 , 的面积是 , , , , , , , , , , , ,即: ,解得: , ,故答案为: . 【点睛】本题是四边形综合题目,考查了四边形面积的计算、三角形的高、三角形的中线、三角形内角和 定理、三角形的面积等知识;本题综合性强,解题的关键是熟练掌握三角形的三条高交于一点和三角形面 积关系. 20.(2023春·江苏盐城·七年级统考期末)【问题情境】 苏科版数学课本七年级下册上有这样一道题:如图1, 是 的中线, 与 的面积有怎 样的数量关系? 小旭同学在图1中作 边上的高 ,根据中线的定义可知 .又因为高 相同,所以 ,于是 .据此可得结论:三角形的一条中线平分该三角形的面积. 资49料整理【淘宝店铺:向阳百分百】关注公众号:陆陆高分冲刺 ~领取:最新版“小中高考-总复习”、最新试卷下载 【深入探究】(1)如图2,点 在 的边 上,点 在 上. ①若 是 的中线,求证: ;②若 ,则 ______. 【拓展延伸】(2)如图3,分别延长四边形 的各边,使得点 、 、 、 分别为 、 、 、 的中点,依次连结 、 、 、 得四边形 . ①求证: ;②若 ,则 ______. 【答案】(1)①证明见解析;② ;(2)①证明见解析;② 【分析】(1)①根据中线的性质可得 ,点 为 的中点,推得 是 的中线, ,即可证明 ;②设 边 上的高为 ,根据三角形的面积公式可得 , ,即可推得 ,同理推得 ,即可求得 ,即可证明 ;(2)①连接 , , ,根据中线的判定和性质可得 , , , ,推得 , ,即可求得 ,即可证明 ,②由①可得 ,同理可证得 , 根据 ,即可推得 ,即可求解. 【详解】(1)①证明:∵ 是 的中线,∴ ,点 为 的中点, ∴ 是 的中线,∴ ,∴ ,即 ; ② ,解:设 边 上的高为 , 则 , , 资50料整理【淘宝店铺:向阳百分百】关注公众号:陆陆高分冲刺 ~领取:最新版“小中高考-总复习”、最新试卷下载 ∵ ,∴ ,同理 , 则 ,即 ,∴ . (2)①证明:连接 , , ,如图: ∵点 、 、 、 分别为 、 、 、 的中点, ∴ , , , 分别为 , , , 的中位线, ∴ , , , , ∴ , ∵ ,即 ; ②15,解:由①可得 ,同理可证得 , ,即 , ∵ ,∴ . 【点睛】本题考查了中位线的判定和性质,三角形的面积公式,掌握三角形的一条中线把原三角形分成两 个等底同高的三角形是题的关键 . 21.(2023秋·广西柳州·八年级校考开学考试)阅读下面资料: 小明遇到这样一个问题:如图1,对面积为a的△ABC逐次进行以下操作:分别延长AB、BC、CA至A 、 1 B 、C1,使得A B2AB,B C2BC,C1A2CA,顺次连接A 、B 、C ,得到△A B C ,记其面积为S ,求S 的 1 1 1 1 1 1 1 1 1 1 1 值. 资51料整理【淘宝店铺:向阳百分百】关注公众号:陆陆高分冲刺 ~领取:最新版“小中高考-总复习”、最新试卷下载 小明是这样思考和解决这个问题的:如图2,连接A C、B A、C B,因为A B2AB,B C2BC,C A2CA,根 1 1 1 1 1 1 据等高两三角形的面积比等于底之比,所以  2S△ABC2a,由此继续推理,从 而解决了这个问题.(1)直接写出S  (用含字母a的式子表示). 1 请参考小明同学思考问题的方法,解决下列问题: (2)如图3,P为△ABC内一点,连接AP、BP、CP并延长分别交边BC、AC、AB于点D、E、F,则把 △ABC分成六个小三角形,其中四个小三角形面积已在图上标明,求△ABC的面积. (3)如图4,若点P为△ABC的边AB上的中线CF的中点,求S 与S 的比值. APE BPF △ △ 【答案】(1)19a;(2)315;(3) . 【分析】(1)首先根据题意,求得S =2S ,同理可求得S =2S ,依此得到S =19S ,则 A1BC ABC A1B1C A1BC A1B1C1 ABC △ △ △ △ △ △ 可求得面积S 的值;(2)根据等高不等底的三角形的面积的比等于底边的比,求解,从而不难求得△ABC 1 的面积;(3)设S =m,S =n,依题意,得S =S =m,S =S =m.得出 ,从而求解. BPF APE APF APC BPC BPF △ △ △ △ △ △ 【详解】解:(1)连接A C, 1 资52料整理【淘宝店铺:向阳百分百】关注公众号:陆陆高分冲刺 ~领取:最新版“小中高考-总复习”、最新试卷下载 ∵B C=2BC,A B=2AB,∴ , , , 1 1 ∴ ,∴ , 同理可得出: ,∴S =6a+6a+6a+a=19a;故答案为19a; 1 (2)过点 作 于点 , 设 , , ; , . ,即 . 同理, . . .① , , .② 由①②,得 , . (3)设 , ,如图所示. 资53料整理【淘宝店铺:向阳百分百】关注公众号:陆陆高分冲刺 ~领取:最新版“小中高考-总复习”、最新试卷下载 依题意,得 , . . , . , , . . . 【点睛】此题考查了三角形面积之间的关系.(2)的关键是设出未知三角形的面积,然后根据等高不等 底的三角形的面积的比等于底边的比列式求解. 22.(2023·江苏盐城·统考二模)(1)如图1,△ABC中,D是BC边上一点,则△ABD与△ADC有一个相同 的高,它们的面积之比等于相应的底之比,记为 = (△ABD、△ADC的面积分别用S ABD、 △ S ADC表示).现有BD= BC,则S ABD:S ADC= ; △ △ △ (2)如图2,△ABC中,E、F分别是BC、AC边上一点,且有BE:EC=1:2,AF:FC=1:1,AE与BF相 交于点G、现作EH ∥BF交AC于点H、依次求FH :HC、AG: GE、BG:GF的值; (3)如图3,△ABC中,点P在边AB上,点M、N在边AC上,且有AP=PB,AM=MN=NC,BM、BN与CP 分别相交于点R、Q,现已知△ABC的面积为1,求△BRQ的面积. 资54料整理【淘宝店铺:向阳百分百】关注公众号:陆陆高分冲刺 ~领取:最新版“小中高考-总复习”、最新试卷下载 【答案】(1)1:3;(2) 、 、 ;(3) 【分析】(1)有一个相同的高,它们的面积之比等于相应的底之比进行计算即可; (2)由平行线分线段成比例定理即可得解; (3)作辅助线,平行线分线段成比例定理即可得解. 【详解】解:(1) = ,故答案为:1:3; (2)∵EH BF,∴FH:HC=BE:CE=1:2,∴AG:GE=AF:FH=CF:FH=BC:BE=3:1, ∵FG EH,∴ ∴GF:EH=AF:AH=3:4,EH:BF=CE:BC=2:3, ∴ , ,∴BG=BF-GF= ,∴BG:GF=1:1; (3)过M作ME PC交AB于E,过N作ND PC交AB于D,则ME ND PC, ∴AE:DE:DP=AM:MN:CN, ∵AM=MN=NC,∴AE=DE=DP,∵EM PR,∴ ∴BR:RM=BP:PE=AP:PE=3:2,RP:EM=BP:BE=AP:BE=3:5,∴RP= EM, ∵PQ DN,∴ ∴BQ:QN=BP:PD=AP:PD=3:1,PQ:DN=BP:BD=AP:BD=3:4, ∴PQ= DN= EM,∴QR=PQ-RP= EM- EM= EM, ∵ME PC,∴ ∴PC:EM=AP:AE=3:1, ∴PC=3EM,∴CQ=PC-PQ=3EM- EM= EM, ∴CQ:QR:RP= EM: EM: EM=5:3:2, 资55料整理【淘宝店铺:向阳百分百】关注公众号:陆陆高分冲刺 ~领取:最新版“小中高考-总复习”、最新试卷下载 ∵△ABC的面积为1.∴ , . 【点睛】此题考查的是三角形相似和三角形面积与线段的比例,难度中等,当两个三角形相似时,则相似 三角形的面积之比等于相似比的平方,当两个三角形同底时,面积比等于高之比,当两个三角形等高时, 面积之比等于底之比,在解决这个问题时,首先要注意两个三角形是属于哪种情况,然后在进行求面积的 比值。 23.(2023·四川成都·八年级统考期末)如图,已知正方形DEFG的边EF在△ABC的边BC上,顶点D,G分 别在边AB,AC上,AH⊥BC于H.BC=15,AH=10.求正方形DEFG的边长和面积. 【答案】正方形DEFG的边长是6,面积为36. 【分析】设AH与DG交于点M,正方形DEFG的边长为x,根据题意可得到 ,由AH⊥BC可得到 ,利用相似三角形对应边成比例,可列出关于x的等式,即可求解. 【详解】解:设AH与DG交于点M,正方形DEFG的边长为x, ∵AH⊥BC,正方形DEFG的边EF在△ABC的边BC上,∴ , ∵AH=10,∴ ,∵ ,∴ ,∴ ,∴ , 又∵BC=15,DG=x,∴ ,解得: ,∴正方形DEFG的面积为 . 【点睛】本题考查了相似三角形的判定与性质:在判定两个三角形相似时,应注意利用图形中已有的公共角、 公共边等隐含条件,以充分发挥基本图形的作用,寻找相似三角形的一般方法是通过作平行线构造相似三角 形;也考查了正方形的性质. 24.(2023·广东九年级校考课时练习)已知:如图,E、M是AB边的三等分点,EF∥MN∥BC.求: AEF 的面积:四边形EMNF的面积:四边形MBCN的面积. △ 资56料整理【淘宝店铺:向阳百分百】关注公众号:陆陆高分冲刺 ~领取:最新版“小中高考-总复习”、最新试卷下载 【答案】1:3:5 【分析】由已知条件和平行线得出AM=2AE,AB=3AE, AEF∽△AMN, AEF∽△ABC,由相似三角形面积 的比等于相似比的平方得出 AEF的面积: AMN的面积=△1:4, AEF的面△积: ABC的面积=1:9,得出 AEF 的面积:四边形EMNF的面积△=1:3, AEF△的面积:四边形EBCF的△面积=1:8,即△可得出结果. △ 【详解】∵EF∥MN∥BC,∴△AEF∽△△AMN∽△ABC, ∵E、M是AB边的三等分点,∴△AEF, AMN, ABC的相似比为1:2:3, ∴△AEF, AMN, ABC的面积比为1:4:△9, △ ∴△AEF的△面积∶四△边形EMNF的面积∶四边形MBCN的面积=1:3:5. 【点睛】本题考查了相似三角形的判定与性质.熟练掌握相似三角形的判定与性质,并能进行推理计算是解 决问题的关键. 25.(2023·河南信阳·九年级统考期末)将一副直角三角板按右图叠放. (1)证明:△AOB∽△COD;(2)求△AOB与△DOC的面积之比. 【答案】(1)见解析;(2)1:3 【分析】(1)推出∠OCD=∠A,∠D=∠ABO,就可得△AOB∽△COD;(2)设BC=a,则AB=a,BD=2a, 由勾股定理知:CD= a,得AB:CD=1: ,根据相似三角形性质可得面积比. 【详解】解:(1)∵∠ABC=90°,∠DCB=90°∴AB∥CD, ∴∠OCD=∠A,∠D=∠ABO,∴△AOB∽△COD (2)设BC=a,则AB=a,BD=2a 由勾股定理知:CD= a ∴AB:CD=1: ∴△AOB与△DOC的面积之比等于1:3. 【点睛】考核知识点:相似三角形的判定和性质.理解相似三角形的判定和性质是关键. 资57料整理【淘宝店铺:向阳百分百】