当前位置:首页>文档>专题03二次根式(原卷版)_北师大初中数学_8上-北师大版初中数学_旧版_06专项讲练_挑战压轴题2022-2023学年八年级数学上册压轴题专题精选汇编(北师大版)

专题03二次根式(原卷版)_北师大初中数学_8上-北师大版初中数学_旧版_06专项讲练_挑战压轴题2022-2023学年八年级数学上册压轴题专题精选汇编(北师大版)

  • 2026-05-07 21:37:46 2026-04-12 18:32:55

文档预览

专题03二次根式(原卷版)_北师大初中数学_8上-北师大版初中数学_旧版_06专项讲练_挑战压轴题2022-2023学年八年级数学上册压轴题专题精选汇编(北师大版)
专题03二次根式(原卷版)_北师大初中数学_8上-北师大版初中数学_旧版_06专项讲练_挑战压轴题2022-2023学年八年级数学上册压轴题专题精选汇编(北师大版)
专题03二次根式(原卷版)_北师大初中数学_8上-北师大版初中数学_旧版_06专项讲练_挑战压轴题2022-2023学年八年级数学上册压轴题专题精选汇编(北师大版)
专题03二次根式(原卷版)_北师大初中数学_8上-北师大版初中数学_旧版_06专项讲练_挑战压轴题2022-2023学年八年级数学上册压轴题专题精选汇编(北师大版)
专题03二次根式(原卷版)_北师大初中数学_8上-北师大版初中数学_旧版_06专项讲练_挑战压轴题2022-2023学年八年级数学上册压轴题专题精选汇编(北师大版)
专题03二次根式(原卷版)_北师大初中数学_8上-北师大版初中数学_旧版_06专项讲练_挑战压轴题2022-2023学年八年级数学上册压轴题专题精选汇编(北师大版)
专题03二次根式(原卷版)_北师大初中数学_8上-北师大版初中数学_旧版_06专项讲练_挑战压轴题2022-2023学年八年级数学上册压轴题专题精选汇编(北师大版)
专题03二次根式(原卷版)_北师大初中数学_8上-北师大版初中数学_旧版_06专项讲练_挑战压轴题2022-2023学年八年级数学上册压轴题专题精选汇编(北师大版)
专题03二次根式(原卷版)_北师大初中数学_8上-北师大版初中数学_旧版_06专项讲练_挑战压轴题2022-2023学年八年级数学上册压轴题专题精选汇编(北师大版)
专题03二次根式(原卷版)_北师大初中数学_8上-北师大版初中数学_旧版_06专项讲练_挑战压轴题2022-2023学年八年级数学上册压轴题专题精选汇编(北师大版)
专题03二次根式(原卷版)_北师大初中数学_8上-北师大版初中数学_旧版_06专项讲练_挑战压轴题2022-2023学年八年级数学上册压轴题专题精选汇编(北师大版)
专题03二次根式(原卷版)_北师大初中数学_8上-北师大版初中数学_旧版_06专项讲练_挑战压轴题2022-2023学年八年级数学上册压轴题专题精选汇编(北师大版)
专题03二次根式(原卷版)_北师大初中数学_8上-北师大版初中数学_旧版_06专项讲练_挑战压轴题2022-2023学年八年级数学上册压轴题专题精选汇编(北师大版)

文档信息

文档格式
docx
文档大小
0.225 MB
文档页数
9 页
上传时间
2026-04-12 18:32:55

文档内容

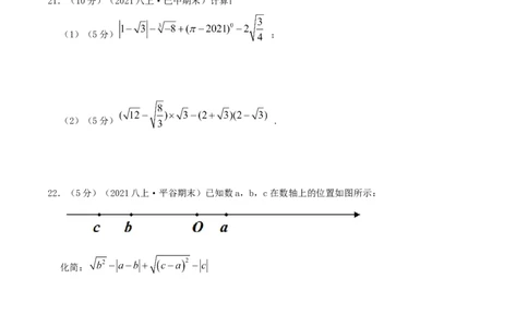
2022-2023 学年北师大版数学八年级上册压轴题专题精选汇编 专题 03 二次根式 考试时间:120分钟 试卷满分:100分 姓名:__________ 班级:__________考号:__________ 题号 一 二 三 总分 得分 评卷人 得 分 一.选择题(共10小题,满分20分,每小题2分) 1.(2分)(2021八上·岳阳期末)下列计算正确的是( ) A. B. C. D. 2.(2分)(2021八上·毕节期末)下列命题中,是真命题的有( ) ①以1、 、 为边的三角形是直角三角形,则1、 、 是一组勾股数; ②若一直角三角形的两边长分别是5、12,则第三边长为13; ③二次根式 是最简二次根式; ④在实数0,﹣0.3333……, ,0.020020002, ,0.23456…, 中,无理数有3个; ⑤东经113°,北纬35.3°能确定物体的位置. A.①②③④⑤ B.①②④⑤ C.②④⑤ D.④⑤ 3.(2分)(2021八上·毕节期末)下列计算正确的是( ) A. B. C.D. 4.(2分)(2021八上·顺义期末)当 时,化简二次根式 ,结果正确的是( ) A. B. C. D. 5.(2分)(2021八上·宝安期末)下列计算中,正确的是( ) A. B. C. D. 6.(2分)(2021八上·禅城期末)下列运算正确的是( ) A. + = B. =4 C. =2× D. =﹣2 7.(2分)(2021八上·承德期末)对于二次根式的性质 中,关于a、b的取值正确的说法是 ( ) A.a≥0,b≥0 B.a≥0,b>0 C.a≤0,b≤0 D.a≤0,b<0 8.(2分)(2021八上·平谷期末)若最简二次根式 与最简二次根式 是同类二次根式,则a 的值是( ) A.a=1 B.a=-1 C.a=2 D.a=-2 9.(2分)(2021八上·隆昌期中)已知实数a满足条件 ,那么 的值为 A.2010 B.2011 C.2012 D.2013 10.(2分)(2019八上·石家庄期中)若 ,则 的取值范围是( ) A. B. C. D. 评卷人 得 分二.填空题(共10小题,满分20分,每题2分) 11.(2分)(2021八上·峄城期末)若长方形的周长是 ,一边长是 ,则它 的面积是 . 12.(2分)(2021八上·松江期末)已知 ,化简 = . 13.(2分)(2021八上·襄汾期末)计算 ; 14.(2分)(2021八上·长春期末)使式子 有意义的x的取值范围为 . 15.(2分)(2021八上·如皋期末)李明的作业本上有六道题:① ,② ,③ ,④ ±2 ,⑤ ,⑥ ,请你找出他做对的题是 (填序号). 16.(2分)(2021八上·运城期中)实数 在数轴上的位置如下图所示,化简 等于 17.(2分)(2021八上·章丘期中)已知1<a<3,则化简 ﹣ 的结果是 . 18.(2分)(2021八上·普宁期中)若 ,则a-b的算术平方根为 . 19.(2分)(2020八上·覃塘期末)我们在二次根式的化简过程中得知: ,…,则20.(2分)(2019八上·浦东期中)化简 . 评卷人 得 分 三.解答题(共8题,满分60分) 21.(10分)(2021八上·巴中期末)计算: (1)(5分) ; (2)(5分) . 22.(5分)(2021八上·平谷期末)已知数a,b,c在数轴上的位置如图所示: 化简: 23.(5分)(2021八上·达州期中)小明在解决问题:已知 ,求 的值,他 是这样分析与解答的: ,, , . . 请你根据小明的分析过程,解决如下问题:若 ,求 的值. 24.(9分)(2021八上·毕节月考)已知 . (1)(4分)求 的值; (2)(5分)求 的平方根. 25.(7分)(2021八上·长清期中)观察下列一组等式,解答后面的问题: ﹣1, 应用计算: (1)(5分)利用上面的方法进行化简: ; (2)(1分)归纳:根据上面的结论,找规律,请直接写出下列算式的结果: = ;(3)(1分)拓展: = . 26.(5分)(2021八上·深圳月考)若 表示不超过x的最大整数(如 等), 求 的值. 27.(9分)(2021八上·运城期中)阅读材料:黑白双雄,纵横江湖;双剑合璧,天下无敌.这是武侠 小说中的常见描述,其意是指两个人合在一起,取长补短,威力无比.在二次根式中也有这种相辅相成的 “对子”,如: , ,它们的积不含根号,我们说这两 个二次根式互为有理化因式,其中一个是另一个的有理化因式,于是,二次根式除法可以这样理解:如: , .像这样,通过分子,分母同乘以一个 式子把分母中的根号化去或把根号中的分母化去,叫做分母有理化.解决问题: (1)(1分) 的有理化因式可以是 , 分母有理化得 . (2)(1分)计算: ①当 , ,则 ; ② ( 且 为整数). (3)(5分)根据你的推断,比较 和 的大小. 28.(10分)(2021八上·城阳月考)问题背景:在△ABC中,AB、BC、AC三边的长分别为 、 、 ,求此三角形的面积.小辉同学在解答这道题时,先建立一个正方形网格(每个小正方形 的边长为1),再在网格中画出格点△ABC(即△ABC三个顶点都在小正方形的顶点处),如图①所示.这 样不需求△ABC的高,而借用网格就能计算出它的面积. (1)(1分)请你将△ABC的面积直接填写在横线上: . (2)(4分)思维拓展: 我们把上述求△ABC面积的方法叫做构图法.如果△ABC三边的长分别为 a、2 a、 a(a >0),请利用图②的正方形网格(每个小正方形的边长为a)画出相应的△ABC,并求出它的面积.(3)(5分)探索创新: 若△ABC三边的长分别为 、 、2 (m>0,n>0,且m≠n),试 运用构图法求出这三角形的面积.