当前位置:首页>文档>专题30双曲线及其性质(教师版)_02高考数学_通用版(老高考)复习资料_2024年复习资料_完备战2024年高考数学一轮复习考点帮(全国通用)_核心考点讲练

专题30双曲线及其性质(教师版)_02高考数学_通用版(老高考)复习资料_2024年复习资料_完备战2024年高考数学一轮复习考点帮(全国通用)_核心考点讲练

  • 2026-05-13 22:01:11 2026-04-13 09:22:58

文档预览

专题30双曲线及其性质(教师版)_02高考数学_通用版(老高考)复习资料_2024年复习资料_完备战2024年高考数学一轮复习考点帮(全国通用)_核心考点讲练
专题30双曲线及其性质(教师版)_02高考数学_通用版(老高考)复习资料_2024年复习资料_完备战2024年高考数学一轮复习考点帮(全国通用)_核心考点讲练
专题30双曲线及其性质(教师版)_02高考数学_通用版(老高考)复习资料_2024年复习资料_完备战2024年高考数学一轮复习考点帮(全国通用)_核心考点讲练
专题30双曲线及其性质(教师版)_02高考数学_通用版(老高考)复习资料_2024年复习资料_完备战2024年高考数学一轮复习考点帮(全国通用)_核心考点讲练
专题30双曲线及其性质(教师版)_02高考数学_通用版(老高考)复习资料_2024年复习资料_完备战2024年高考数学一轮复习考点帮(全国通用)_核心考点讲练
专题30双曲线及其性质(教师版)_02高考数学_通用版(老高考)复习资料_2024年复习资料_完备战2024年高考数学一轮复习考点帮(全国通用)_核心考点讲练
专题30双曲线及其性质(教师版)_02高考数学_通用版(老高考)复习资料_2024年复习资料_完备战2024年高考数学一轮复习考点帮(全国通用)_核心考点讲练
专题30双曲线及其性质(教师版)_02高考数学_通用版(老高考)复习资料_2024年复习资料_完备战2024年高考数学一轮复习考点帮(全国通用)_核心考点讲练
专题30双曲线及其性质(教师版)_02高考数学_通用版(老高考)复习资料_2024年复习资料_完备战2024年高考数学一轮复习考点帮(全国通用)_核心考点讲练
专题30双曲线及其性质(教师版)_02高考数学_通用版(老高考)复习资料_2024年复习资料_完备战2024年高考数学一轮复习考点帮(全国通用)_核心考点讲练
专题30双曲线及其性质(教师版)_02高考数学_通用版(老高考)复习资料_2024年复习资料_完备战2024年高考数学一轮复习考点帮(全国通用)_核心考点讲练
专题30双曲线及其性质(教师版)_02高考数学_通用版(老高考)复习资料_2024年复习资料_完备战2024年高考数学一轮复习考点帮(全国通用)_核心考点讲练
专题30双曲线及其性质(教师版)_02高考数学_通用版(老高考)复习资料_2024年复习资料_完备战2024年高考数学一轮复习考点帮(全国通用)_核心考点讲练
专题30双曲线及其性质(教师版)_02高考数学_通用版(老高考)复习资料_2024年复习资料_完备战2024年高考数学一轮复习考点帮(全国通用)_核心考点讲练
专题30双曲线及其性质(教师版)_02高考数学_通用版(老高考)复习资料_2024年复习资料_完备战2024年高考数学一轮复习考点帮(全国通用)_核心考点讲练
专题30双曲线及其性质(教师版)_02高考数学_通用版(老高考)复习资料_2024年复习资料_完备战2024年高考数学一轮复习考点帮(全国通用)_核心考点讲练
专题30双曲线及其性质(教师版)_02高考数学_通用版(老高考)复习资料_2024年复习资料_完备战2024年高考数学一轮复习考点帮(全国通用)_核心考点讲练
专题30双曲线及其性质(教师版)_02高考数学_通用版(老高考)复习资料_2024年复习资料_完备战2024年高考数学一轮复习考点帮(全国通用)_核心考点讲练
专题30双曲线及其性质(教师版)_02高考数学_通用版(老高考)复习资料_2024年复习资料_完备战2024年高考数学一轮复习考点帮(全国通用)_核心考点讲练
专题30双曲线及其性质(教师版)_02高考数学_通用版(老高考)复习资料_2024年复习资料_完备战2024年高考数学一轮复习考点帮(全国通用)_核心考点讲练
专题30双曲线及其性质(教师版)_02高考数学_通用版(老高考)复习资料_2024年复习资料_完备战2024年高考数学一轮复习考点帮(全国通用)_核心考点讲练
专题30双曲线及其性质(教师版)_02高考数学_通用版(老高考)复习资料_2024年复习资料_完备战2024年高考数学一轮复习考点帮(全国通用)_核心考点讲练
专题30双曲线及其性质(教师版)_02高考数学_通用版(老高考)复习资料_2024年复习资料_完备战2024年高考数学一轮复习考点帮(全国通用)_核心考点讲练
专题30双曲线及其性质(教师版)_02高考数学_通用版(老高考)复习资料_2024年复习资料_完备战2024年高考数学一轮复习考点帮(全国通用)_核心考点讲练
专题30双曲线及其性质(教师版)_02高考数学_通用版(老高考)复习资料_2024年复习资料_完备战2024年高考数学一轮复习考点帮(全国通用)_核心考点讲练
专题30双曲线及其性质(教师版)_02高考数学_通用版(老高考)复习资料_2024年复习资料_完备战2024年高考数学一轮复习考点帮(全国通用)_核心考点讲练
专题30双曲线及其性质(教师版)_02高考数学_通用版(老高考)复习资料_2024年复习资料_完备战2024年高考数学一轮复习考点帮(全国通用)_核心考点讲练
专题30双曲线及其性质(教师版)_02高考数学_通用版(老高考)复习资料_2024年复习资料_完备战2024年高考数学一轮复习考点帮(全国通用)_核心考点讲练
专题30双曲线及其性质(教师版)_02高考数学_通用版(老高考)复习资料_2024年复习资料_完备战2024年高考数学一轮复习考点帮(全国通用)_核心考点讲练
专题30双曲线及其性质(教师版)_02高考数学_通用版(老高考)复习资料_2024年复习资料_完备战2024年高考数学一轮复习考点帮(全国通用)_核心考点讲练
专题30双曲线及其性质(教师版)_02高考数学_通用版(老高考)复习资料_2024年复习资料_完备战2024年高考数学一轮复习考点帮(全国通用)_核心考点讲练
专题30双曲线及其性质(教师版)_02高考数学_通用版(老高考)复习资料_2024年复习资料_完备战2024年高考数学一轮复习考点帮(全国通用)_核心考点讲练
专题30双曲线及其性质(教师版)_02高考数学_通用版(老高考)复习资料_2024年复习资料_完备战2024年高考数学一轮复习考点帮(全国通用)_核心考点讲练
专题30双曲线及其性质(教师版)_02高考数学_通用版(老高考)复习资料_2024年复习资料_完备战2024年高考数学一轮复习考点帮(全国通用)_核心考点讲练
专题30双曲线及其性质(教师版)_02高考数学_通用版(老高考)复习资料_2024年复习资料_完备战2024年高考数学一轮复习考点帮(全国通用)_核心考点讲练
专题30双曲线及其性质(教师版)_02高考数学_通用版(老高考)复习资料_2024年复习资料_完备战2024年高考数学一轮复习考点帮(全国通用)_核心考点讲练
专题30双曲线及其性质(教师版)_02高考数学_通用版(老高考)复习资料_2024年复习资料_完备战2024年高考数学一轮复习考点帮(全国通用)_核心考点讲练
专题30双曲线及其性质(教师版)_02高考数学_通用版(老高考)复习资料_2024年复习资料_完备战2024年高考数学一轮复习考点帮(全国通用)_核心考点讲练
专题30双曲线及其性质(教师版)_02高考数学_通用版(老高考)复习资料_2024年复习资料_完备战2024年高考数学一轮复习考点帮(全国通用)_核心考点讲练
专题30双曲线及其性质(教师版)_02高考数学_通用版(老高考)复习资料_2024年复习资料_完备战2024年高考数学一轮复习考点帮(全国通用)_核心考点讲练
专题30双曲线及其性质(教师版)_02高考数学_通用版(老高考)复习资料_2024年复习资料_完备战2024年高考数学一轮复习考点帮(全国通用)_核心考点讲练
专题30双曲线及其性质(教师版)_02高考数学_通用版(老高考)复习资料_2024年复习资料_完备战2024年高考数学一轮复习考点帮(全国通用)_核心考点讲练
专题30双曲线及其性质(教师版)_02高考数学_通用版(老高考)复习资料_2024年复习资料_完备战2024年高考数学一轮复习考点帮(全国通用)_核心考点讲练
专题30双曲线及其性质(教师版)_02高考数学_通用版(老高考)复习资料_2024年复习资料_完备战2024年高考数学一轮复习考点帮(全国通用)_核心考点讲练
专题30双曲线及其性质(教师版)_02高考数学_通用版(老高考)复习资料_2024年复习资料_完备战2024年高考数学一轮复习考点帮(全国通用)_核心考点讲练
专题30双曲线及其性质(教师版)_02高考数学_通用版(老高考)复习资料_2024年复习资料_完备战2024年高考数学一轮复习考点帮(全国通用)_核心考点讲练
专题30双曲线及其性质(教师版)_02高考数学_通用版(老高考)复习资料_2024年复习资料_完备战2024年高考数学一轮复习考点帮(全国通用)_核心考点讲练
专题30双曲线及其性质(教师版)_02高考数学_通用版(老高考)复习资料_2024年复习资料_完备战2024年高考数学一轮复习考点帮(全国通用)_核心考点讲练
专题30双曲线及其性质(教师版)_02高考数学_通用版(老高考)复习资料_2024年复习资料_完备战2024年高考数学一轮复习考点帮(全国通用)_核心考点讲练
专题30双曲线及其性质(教师版)_02高考数学_通用版(老高考)复习资料_2024年复习资料_完备战2024年高考数学一轮复习考点帮(全国通用)_核心考点讲练
专题30双曲线及其性质(教师版)_02高考数学_通用版(老高考)复习资料_2024年复习资料_完备战2024年高考数学一轮复习考点帮(全国通用)_核心考点讲练
专题30双曲线及其性质(教师版)_02高考数学_通用版(老高考)复习资料_2024年复习资料_完备战2024年高考数学一轮复习考点帮(全国通用)_核心考点讲练
专题30双曲线及其性质(教师版)_02高考数学_通用版(老高考)复习资料_2024年复习资料_完备战2024年高考数学一轮复习考点帮(全国通用)_核心考点讲练
专题30双曲线及其性质(教师版)_02高考数学_通用版(老高考)复习资料_2024年复习资料_完备战2024年高考数学一轮复习考点帮(全国通用)_核心考点讲练
专题30双曲线及其性质(教师版)_02高考数学_通用版(老高考)复习资料_2024年复习资料_完备战2024年高考数学一轮复习考点帮(全国通用)_核心考点讲练
专题30双曲线及其性质(教师版)_02高考数学_通用版(老高考)复习资料_2024年复习资料_完备战2024年高考数学一轮复习考点帮(全国通用)_核心考点讲练
专题30双曲线及其性质(教师版)_02高考数学_通用版(老高考)复习资料_2024年复习资料_完备战2024年高考数学一轮复习考点帮(全国通用)_核心考点讲练
专题30双曲线及其性质(教师版)_02高考数学_通用版(老高考)复习资料_2024年复习资料_完备战2024年高考数学一轮复习考点帮(全国通用)_核心考点讲练
专题30双曲线及其性质(教师版)_02高考数学_通用版(老高考)复习资料_2024年复习资料_完备战2024年高考数学一轮复习考点帮(全国通用)_核心考点讲练
专题30双曲线及其性质(教师版)_02高考数学_通用版(老高考)复习资料_2024年复习资料_完备战2024年高考数学一轮复习考点帮(全国通用)_核心考点讲练
专题30双曲线及其性质(教师版)_02高考数学_通用版(老高考)复习资料_2024年复习资料_完备战2024年高考数学一轮复习考点帮(全国通用)_核心考点讲练
专题30双曲线及其性质(教师版)_02高考数学_通用版(老高考)复习资料_2024年复习资料_完备战2024年高考数学一轮复习考点帮(全国通用)_核心考点讲练
专题30双曲线及其性质(教师版)_02高考数学_通用版(老高考)复习资料_2024年复习资料_完备战2024年高考数学一轮复习考点帮(全国通用)_核心考点讲练
专题30双曲线及其性质(教师版)_02高考数学_通用版(老高考)复习资料_2024年复习资料_完备战2024年高考数学一轮复习考点帮(全国通用)_核心考点讲练
专题30双曲线及其性质(教师版)_02高考数学_通用版(老高考)复习资料_2024年复习资料_完备战2024年高考数学一轮复习考点帮(全国通用)_核心考点讲练
专题30双曲线及其性质(教师版)_02高考数学_通用版(老高考)复习资料_2024年复习资料_完备战2024年高考数学一轮复习考点帮(全国通用)_核心考点讲练
专题30双曲线及其性质(教师版)_02高考数学_通用版(老高考)复习资料_2024年复习资料_完备战2024年高考数学一轮复习考点帮(全国通用)_核心考点讲练
专题30双曲线及其性质(教师版)_02高考数学_通用版(老高考)复习资料_2024年复习资料_完备战2024年高考数学一轮复习考点帮(全国通用)_核心考点讲练
专题30双曲线及其性质(教师版)_02高考数学_通用版(老高考)复习资料_2024年复习资料_完备战2024年高考数学一轮复习考点帮(全国通用)_核心考点讲练
专题30双曲线及其性质(教师版)_02高考数学_通用版(老高考)复习资料_2024年复习资料_完备战2024年高考数学一轮复习考点帮(全国通用)_核心考点讲练
专题30双曲线及其性质(教师版)_02高考数学_通用版(老高考)复习资料_2024年复习资料_完备战2024年高考数学一轮复习考点帮(全国通用)_核心考点讲练
专题30双曲线及其性质(教师版)_02高考数学_通用版(老高考)复习资料_2024年复习资料_完备战2024年高考数学一轮复习考点帮(全国通用)_核心考点讲练
专题30双曲线及其性质(教师版)_02高考数学_通用版(老高考)复习资料_2024年复习资料_完备战2024年高考数学一轮复习考点帮(全国通用)_核心考点讲练
专题30双曲线及其性质(教师版)_02高考数学_通用版(老高考)复习资料_2024年复习资料_完备战2024年高考数学一轮复习考点帮(全国通用)_核心考点讲练
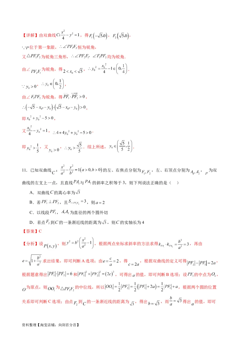
专题30双曲线及其性质(教师版)_02高考数学_通用版(老高考)复习资料_2024年复习资料_完备战2024年高考数学一轮复习考点帮(全国通用)_核心考点讲练
专题30双曲线及其性质(教师版)_02高考数学_通用版(老高考)复习资料_2024年复习资料_完备战2024年高考数学一轮复习考点帮(全国通用)_核心考点讲练

文档信息

文档格式
docx
文档大小
4.972 MB
文档页数
72 页
上传时间
2026-04-13 09:22:58

文档内容

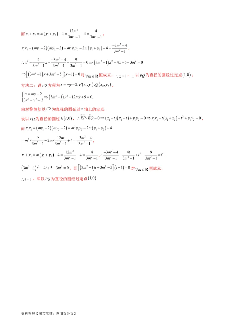
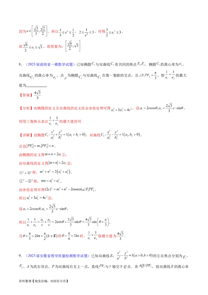
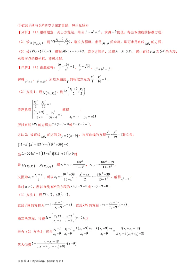
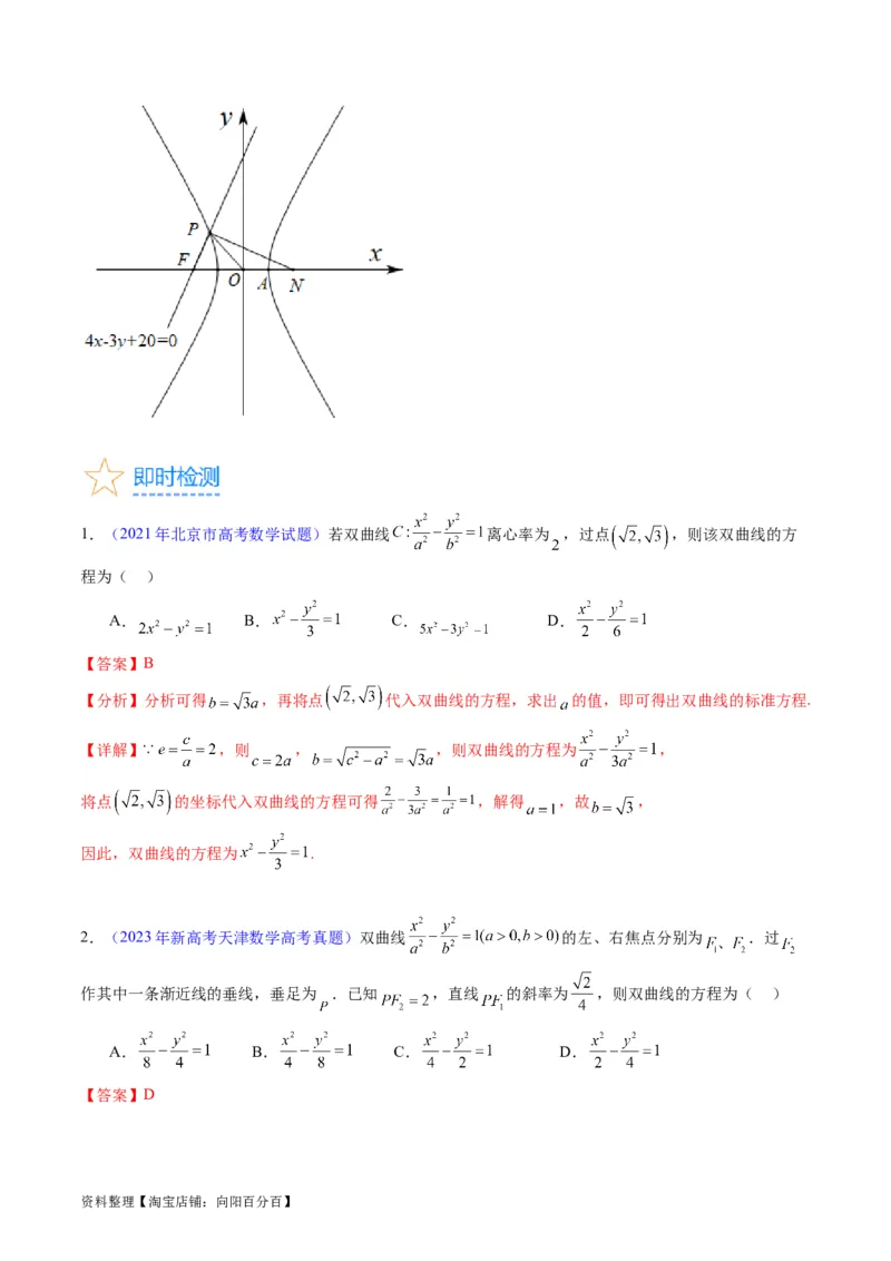
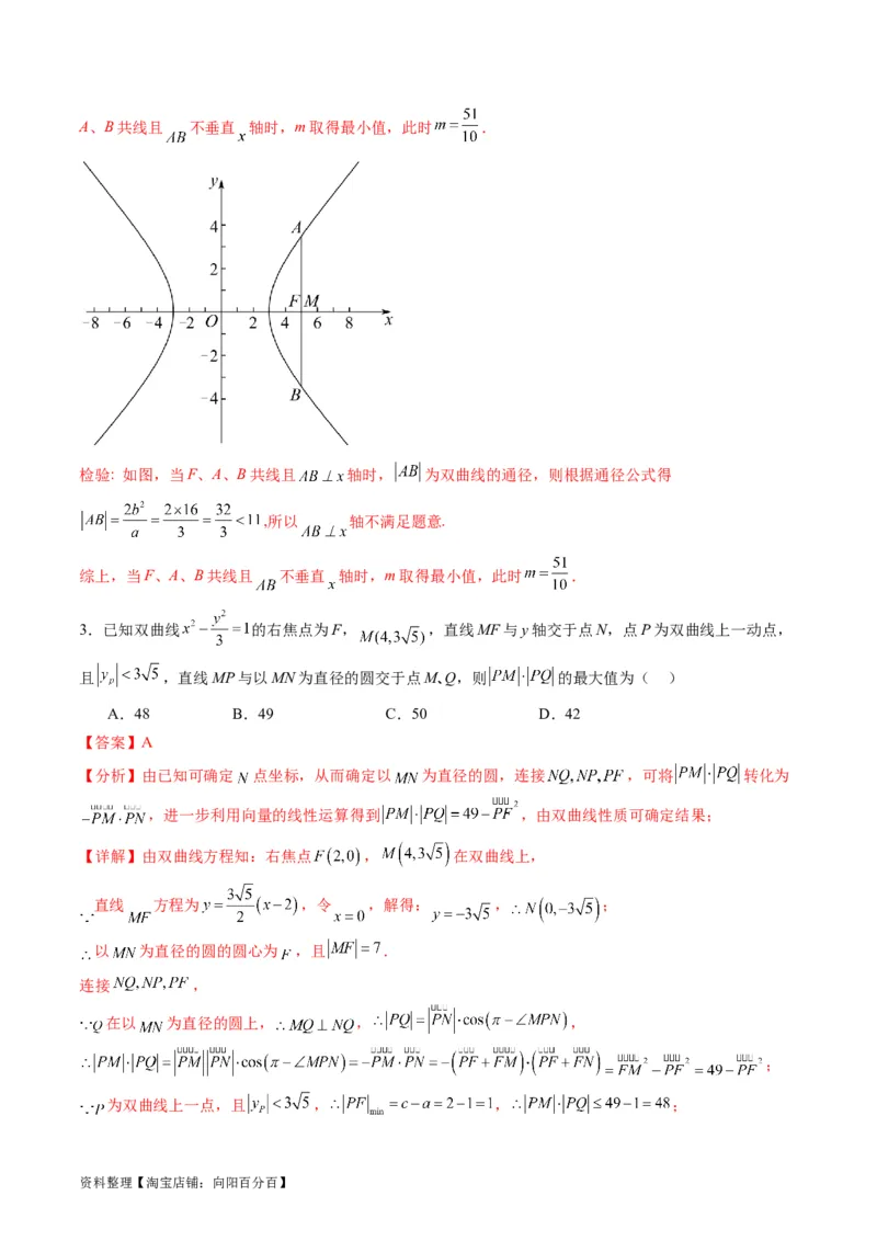
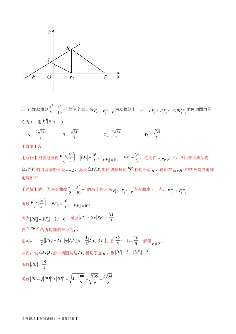
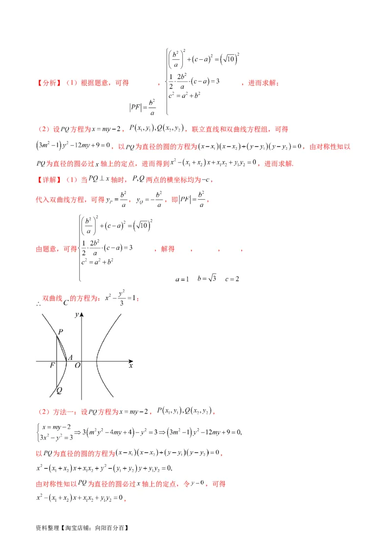
专题 30 双曲线及其性质 (核心考点精讲精练) 1. 近几年真题考点分布 圆锥曲线近几年考情 考题示例 考点分析 关联考点 2023年全国乙(文科),第11题,5分 直线与圆的位置关系, 参数方程 2023年全国乙(文科),第13题,5分 根据抛物线上的点求标准方程,抛物线的定义 2023年全国乙(理科),第3题,5分 通过三视图求几何体的表面积 2023年全国乙(文科),第3题,5分 2023年全国乙(理科),第5题,5分 根据标准方程确定圆的圆心和半径 几何概型 2023年全国乙(文科),第7题,5分 2023年全国乙(理科),第11题,5分 直线与双曲线的位置关系,求线段的中点坐标 2023年全国乙(文科),第12题,5分 2023年全国乙(理科),第12题,5分 直线与圆的位置关系 向量的数量积 2023年全国乙(理科),第20题,12分 1、根据离心率求椭圆方程; 2023年全国乙(文科),第21题,12分 2、椭圆中的定点问题; 2023年全国甲(文科),第7题,5分 椭圆中焦点三角形的面积问题 2023年全国甲(理科),第8题,5分 双曲线的渐近线、离心率、圆的中点弦 2023年全国甲(文科),第9题,5分 2023年全国甲(理科),第12题,5分 椭圆的定义、焦点三角形 1、根据直线与抛物线相交所得弦长求抛物线 2023年全国甲(理科),第20题,12分 方程; 2023年全国甲(文科),第20题,12分 2、抛物线中的三角形面积问题 2. 命题规律及备考策略 资料整理【淘宝店铺:向阳百分百】【命题规律】1.根据定义Ⅰ,平面内 、 是两定点,动点 到两个定点的距离之差的绝对值为常数(小 于定点间距离),即 ( 为常数),则动点 的轨迹是双曲线。 根据定义Ⅱ,若动点 到定点 与到定直线的距离之比是常数 ,则动点 的轨迹是 双曲线; 2.双曲线在坐标轴上的取值区域为 、 或者 、 ;双曲线关于坐标轴 和原点对称; 3.双曲线有两个顶点 、 ,这两点在横轴上,且 叫做双曲线的实轴,长 度为 ;另外,还有两个顶点 、 ,这两点在纵轴上,且 叫做双曲线的 虚轴,长度为 ; 4.双曲线有两条渐近线,横轴为 ,竖轴为 ; 5.双曲线的离心率 ,其中 是双曲线的半焦距。离心率取值范围为 ; 6.双曲线上的一点到定点的距离和到定直线(相应准线)的距离的比等于双曲线的离心率; 7.圆锥曲线上任意一点到焦点距离可以通过焦半径公式计算。过右焦点的半径 , 过左焦点的半径 ; 8.当双曲线的实轴与虚轴长相等时,即 ,双曲线的离心率 √2; 【备考策略】1.了解双曲线产生的实际背景,感受双曲线在刻画现实世界和解决实际问题中的作用. 2.了解双曲线的定义、几何图形和标准方程,以及它的简单几何性质. 3.通过对双曲线的学习,进一步体会数形结合的思想. 【命题预测】1.双曲线的定义和基本属性可能会继续是考查的重点。这包括双曲线的定义、取值范围、对 称性、顶点、渐近线等; 2.双曲线的几何性质也是一个可能的考查重点。双曲线的离心率和焦半径公式等,这些不仅 涉及到双曲线的形状和大小,还涉及到双曲线与坐标轴和焦点等的关系; 3.在考查双曲线的计算时,可能会在复杂度上有所提升; 资料整理【淘宝店铺:向阳百分百】知识讲解 一、双曲线的定义 平面内到两个定点 的距离之 差 的绝对值等于常数 (小于| |)的点的集合叫作双曲线, 这两个定点 叫作双曲线的 焦点 ,两焦点 间的距离叫作双曲线的 焦距 . (1)定义的数学表达式为 ||PF |-|PF ||= 2 a (0 < 2 a<|F F | ) . 1 2 1 2 (2)在双曲线的定义中,当 时,动点的轨迹是 两条射线 ;当| | 时,动点的轨迹 不 存在 . 二、双曲线的标准方程和几何性质 标准方程 图形 (续表) 标准方程 范围 或 , , 或 性 质 对称 对称轴: 坐标轴 ,对称中心: 原点 性 资料整理【淘宝店铺:向阳百分百】顶点 渐近 线 离心 率 , (1 , +∞ ) ,其中 线段 叫作双曲线的实轴,它的长| |= 2 a ;线段 叫作双曲线的虚轴,它的长| | 轴 = 2 b . 叫作双曲线的实半轴长, 叫作双曲线的虚半轴长 , , a 2 + b 2 的关系 三、等轴双曲线 实轴和虚轴等长的双曲线叫作等轴双曲线,其渐近线方程为 y=± x ,离心率e=√2. 双曲线的几个常用结论 (1)与双曲线 有共同渐近线的双曲线系的方程为 . (2)焦点到渐近线的距离为 . (3)双曲线为等轴双曲线⇔双曲线的离心率 双曲线的两条渐近线互相垂直(位置关系). (4)过双曲线的一个焦点且与实轴垂直的弦的长为 . 四、直线和双曲线的位置关系 1.直线和双曲线的位置关系有三种:相交、相切、相离. 设双曲线方程为 ,直线方程为 , 将直线方程与双曲线方程联立,消去 得到关于 的方程 , (1)若 ,当 时,直线与双曲线有两个公共点;当Δ=0时,直线与双曲线只有一个公共点;当Δ<0时,直 线与双曲线无公共点. (2)若 ,则直线与双曲线只有一个公共点,此时直线与双曲线的渐近线平行. 2.弦长公式:设直线 交双曲线于点 , 则 , 或 . 3.双曲线的切线方程 双曲线 在其上一点 处的切线方程为 . 双曲线的定义及应用 (1)利用双曲线的定义判断平面内动点的轨迹是否为双曲线,进而根据要求可求出曲线方程; 资料整理【淘宝店铺:向阳百分百】(2)在“焦点三角形”中,常利用正弦定理、余弦定理,经常用定义,运用平方的方法,建立 与 的联系. 求双曲线的标准方程的方法 1.定义法:由题目条件判断出动点轨迹是双曲线,由双曲线的定义确定 或 ,从而求出 ,写出 双曲线方程. 2.待定系数法:先确定焦点在 轴上还是在 轴上,设出标准方程,再由条件确定 的值,即“先定型, 再定量”,如果焦点位置不好确定,可将双曲线方程设为 ,再根据条件求 的值. 求双曲线的离心率或其范围的方法:(1)求 的值,由 直接求 ;(2)列出含有 的齐次方程(或不等式),借助于 消去 ,然后转化成关于 的方程(或不等式)求解. 求与渐近线有关的双曲线方程的常用方法:(1)与双曲线 共渐近线的方程可设为 ;(2)若双曲线的渐近线方程为 ,则双曲线的方程可设为 . 求解与双曲线有关的范围(或最值)问题的方法 (1)点在双曲线上,求相关式子(目标函数)的取值范围,常转化为函数的最值问题解决. (2)求双曲线焦距的最值问题,解题关键是掌握双曲线渐近线的定义和均值不等式求最值的方法,在使用 均值不等式求最值时,要检验等号是否成立. (1)解答直线与双曲线的公共点问题时,不仅要考虑判别式,更要注意当二次项系数为0时,直线与渐近线平 行的特殊情况. (2)双曲线与直线只有一个公共点的问题,应分两种情况讨论:双曲线与直线相切或直线与双曲线的渐近 线平行. (3)注意对直线l的斜率是否存在进行讨论. 解决综合问题时,可以仿照椭圆的处理思路,借助于方程思想,将问题进行化归,然后利用直线与双曲线的位置 关系进行求解. (1)解决与双曲线有关的应用问题时,除了要准确把握题意,了解一些实际问题的相关概念之外,还要注意 双曲线的定义的灵活运用. (2)实际应用问题要注意其实际意义以及在该意义下隐藏着的变量的取值范围. 考点一、双曲线的定义及应用 1.双曲线 的两个焦点分别是 ,点 是双曲线上一点且满足 ,则 的面积 为( ) 资料整理【淘宝店铺:向阳百分百】A. B. C. D. 【答案】C 【分析】设 , ,可得 , 中再利用余弦定理可得 ,由面积公 式即可求得答案. 【详解】 ,所以 , , , 在双曲线上,设 , , ①, 由 ,在 中由余弦定理可得: , 故 ②, 由①②可得 , 直角 的面积 . 2.(2020年浙江省高考数学试题)已知点O(0,0),A(–2,0),B(2,0).设点P满足|PA|–|PB| =2,且P为函数y= 图像上的点,则|OP|=( ) A. B. C. D. 【答案】D 【分析】根据题意可知,点 既在双曲线的一支上,又在函数 的图象上,即可求出点 的坐标, 得到 的值. 【详解】因为 ,所以点 在以 为焦点,实轴长为 ,焦距为 的双曲线的右支上, 由 可得, ,即双曲线的右支方程为 ,而点 还在函数 的图象上,所以, 由 ,解得 ,即 . 【点睛】本题主要考查双曲线的定义的应用,以及二次曲线的位置关系的应用,意在考查学生的数学运算 能力,属于基础题. 资料整理【淘宝店铺:向阳百分百】3.已知 分别是双曲线 的左、右焦点,动点P在双曲线的左支上,点Q为圆 上一动点,则 的最小值为( ) A.6 B.7 C. D.5 【答案】A 【分析】由双曲线的定义及三角形的几何性质可求解. 【详解】如图,圆 的圆心为 ,半径为1, , ,当 , , 三点共线时, 最小,最小值为 ,而 ,所以 . 故选:A 4.(2023届广东省教学质量检测数学试题)已知 为双曲线 的左焦点, 为其右支上一点, 点 ,则 周长的最小值为( ) A. B. C. D. 【答案】B 【分析】设双曲线的右焦点为 ,由双曲线方程可求出 ,b,c的值,利用双曲线的定义以及三点共线即 可求出 的周长的最小值. 【详解】设双曲线的右焦点为 ,由双曲线的方程可得: ,则 , 所以 ,且 ,所以 , 的周长为 , 资料整理【淘宝店铺:向阳百分百】当且仅当M,P,A三点共线时取等号, 则 周长的最小值为 . 5.若方程 表示双曲线,则m的取值范围是( ) A. B. C. D. 【答案】A 【分析】根据双曲线的定义可知 与 同号,从而可求出m的取值范围 【详解】因为方程 表示双曲线, 所以 ,解得 . 1.设 , 分别是双曲线 的左、右焦点, 是该双曲线上的一点,且 ,则 的面积等于( ) A. B. C. D. 【答案】C 【分析】根据双曲线定义得到 , ,用余弦定理和面积公式求出答案. 【详解】设 , ,则由双曲线的定义可得: ,所以 , 故 , ,又 ,故 ,故 ,所以 的面积为 . 2.已知 是双曲线 的左焦点, , 是双曲线右支上的动点,则 的最小值为 ( ) A.9 B.8 C.7 D.6 【答案】A 【分析】由双曲线方程求出 ,再根据点 在双曲线的两支之间,结合 可求得答案 【详解】由 ,得 ,则 , 资料整理【淘宝店铺:向阳百分百】所以左焦点为 ,右焦点 , 则由双曲线的定义得 , 因为点 在双曲线的两支之间,所以 , 所以 ,当且仅当 三点共线时取等号, 所以 的最小值为9. 3.双曲线 过焦点 的弦AB,A、B两点在同一支上且长为m,另一焦点为 ,则 的周长为( ). A.4a B.4a-m C.4a+2m D.4a-2m 【答案】C 【分析】由双曲线定义得到 , ,两式相加得到 ,进而 求出周长. 【详解】由双曲线的定义得: ①, ②,两式相加得: ,即 , 所以 ,故 的周长为 . 4.(2023届广东省联考数学试题)“k<2”是“方程 表示双曲线”的( ) A.充分不必要条件 B.必要不充分条件 C.充要条件 D.既不充分也不必要条件 【答案】A 【分析】由充分条件和必要条件的定义,双曲线方程的定义进行分析即可 【详解】∵方程 为双曲线,∴ , ∴ 或 ,∴“ ”是“方程 为双曲线”的充分不必要条件. 考点二、双曲线的标准方程 1.(2022年高考天津卷数学真题)已知抛物线 分别是双曲线 的左、 资料整理【淘宝店铺:向阳百分百】右焦点,抛物线的准线过双曲线的左焦点 ,与双曲线的渐近线交于点A,若 ,则双曲线的标 准方程为( ) A. B. C. D. 【答案】C 【分析】由已知可得出 的值,求出点 的坐标,分析可得 ,由此可得出关于 、 、 的方 程组,解出这三个量的值,即可得出双曲线的标准方程. 【详解】抛物线 的准线方程为 ,则 ,则 、 , 不妨设点 为第二象限内的点,联立 ,可得 ,即点 , 因为 且 ,则 为等腰直角三角形, 且 ,即 ,可得 , 所以, ,解得 ,因此,双曲线的标准方程为 . 2.已知双曲线 满足 ,且与椭圆 有公共焦点,则双曲线 的方程 为( ) A. B. C. D. 【答案】A 【分析】根据题意,结合椭圆与双曲线的几何性质,列出方程,求得 的值,即可求解. 【详解】由椭圆的标准方程为 ,可得 ,即 , 因为双曲线 的焦点与椭圆 的焦点相同,所以双曲线 中,半焦距 , 资料整理【淘宝店铺:向阳百分百】又因为双曲线 满足 ,即 , 又由 ,即 ,解得 ,可得 , 所以双曲线 的方程为 . 3.设双曲线C: ( , )的左焦点为F,直线 过点F且与双曲线C在第 二象限的交点为P, ,其中O为坐标原点,则双曲线C的方程为( ) A. B. C. D. 【答案】D 【分析】将左焦点坐标代入 中可求出 ,设右焦点为N,连接 , , ,则三角形 为直角三角形,可得 , ,然后利用双曲线的定义列方程可求出 ,从而可求出双曲 线的方程 【详解】设左焦点F的坐标为 ,由点F过直线 , 所以 ,解得 , 设右焦点为N,连接 , , . 由 ,故三角形 为直角三角形,即 , 又因为直线斜率为 ,设直线倾斜角为 ,则 . 又 ,则 , , 由双曲线定义,则 , 所以 , 所以 所以双曲线C的方程为 . 资料整理【淘宝店铺:向阳百分百】1.(2021年北京市高考数学试题)若双曲线 离心率为 ,过点 ,则该双曲线的方 程为( ) A. B. C. D. 【答案】B 【分析】分析可得 ,再将点 代入双曲线的方程,求出 的值,即可得出双曲线的标准方程. 【详解】 ,则 , ,则双曲线的方程为 , 将点 的坐标代入双曲线的方程可得 ,解得 ,故 , 因此,双曲线的方程为 . 2.(2023年新高考天津数学高考真题)双曲线 的左、右焦点分别为 .过 作其中一条渐近线的垂线,垂足为 .已知 ,直线 的斜率为 ,则双曲线的方程为( ) A. B. C. D. 【答案】D 资料整理【淘宝店铺:向阳百分百】【分析】先由点到直线的距离公式求出 ,设 ,由 得到 , .再由 三角形的面积公式得到 ,从而得到 ,则可得到 ,解出 ,代入双曲线的方程即可得到答 案. 【详解】如图, 因为 ,不妨设渐近线方程为 ,即 , 所以 ,所以 . 设 ,则 ,所以 ,所以 . 因为 ,所以 ,所以 ,所以 ,所以 , 因为 ,所以 , 所以 ,解得 ,所以双曲线的方程为 . 3.与双曲线 有公共焦点,且过点 的双曲线方程为 . 【答案】 【分析】设双曲线方程为 ,将点 代入,解得 ,即可求解. 【详解】解:设双曲线方程为 ,将点 代入, 即 ,解得 或 (舍去),故所求双曲线方程为 . 资料整理【淘宝店铺:向阳百分百】考点三、双曲线的几何性质 1.已知双曲线C的离心率为 是C的两个焦点,P为C上一点, ,若 的面积 为 ,则双曲线C的实轴长为( ) A.1 B.2 C.3 D.4 【答案】B 【分析】根据双曲线的定义,在 中,运用余弦定理,并结合 和 的面积建立方 程,解出方程即可 【详解】根据双曲线的定义,可得: 又: 解得: , 双曲线C的离心率为 ,则有: 在 中,由余弦定理,可得: 则有: 的面积为 ,可得: 解得: 故双曲线C的实轴长为:2 2.(2017年全国普通高等学校招生统一考试文科数学(新课标1卷))已知F是双曲线C: 的 右焦点,P是C上一点,且PF与x轴垂直,点A的坐标是(1,3),则 的面积为( ) A. B. C. D. 【答案】D 【详解】由 得 ,所以 ,将 代入 ,得 ,所以 ,又点 资料整理【淘宝店铺:向阳百分百】A的坐标是(1,3),故△APF的面积为 . 点睛:本题考查圆锥曲线中双曲线的简单运算,属容易题.由双曲线方程得 ,结合PF与x轴垂直, 可得 ,最后由点A的坐标是(1,3),计算△APF的面积. 3.若双曲线mx2+ny2=1的焦点在y轴上,则( ) A.m<0,n<0 B.m>0,n>0 C.m<00,b>0) 的右焦点,O为坐标原点,以OF为直径的圆与圆x2+y2=a2交于P、Q两点.若|PQ|=|OF|,则C的离心率为 ( ) A. B. C.2 D. 【答案】A 【分析】准确画图,由图形对称性得出P点坐标,代入圆的方程得到c与a关系,可求双曲线的离心率. 【详解】设 与 轴交于点 ,由对称性可知 轴,又 , 为以 为直径的圆的半径, 为圆心 . ,又 点在圆 上, ,即 . . 资料整理【淘宝店铺:向阳百分百】【点睛】本题为圆锥曲线离心率的求解,难度适中,审题时注意半径还是直径,优先考虑几何法,避免代 数法从头至尾,运算繁琐,准确率大大降低,双曲线离心率问题是圆锥曲线中的重点问题,需强化练习, 才能在解决此类问题时事半功倍,信手拈来. 11.已知双曲线 (其中 , )的焦距为 ,其中一条渐近线的斜率为2,则 . 【答案】2 【分析】根据渐近线斜率求得 ,根据焦距求得c的值,利用a,b,c的平方关系得到关于a的方程,求 得a的值. 【详解】双曲线 的的渐进线方程为 , ∵一条渐近线的斜率为2,∴ ,即 , 又∵ ,∴ , ∴ , ∴ . 12.(2023届福建省适应性练习卷(省质检)数学试题)已知双曲线C: (a>0,b>0)的离心 率为 ,左,右焦点分别为 , 关于C的一条渐近线的对称点为P.若 ,则 的面积为 ( ) A.2 B. C.3 D.4 【答案】D 【分析】设 与渐近线交于 ,由对称性知 且 ,在直角 中可求得 ,再由 求得 的面积. 【详解】 设 与渐近线 交于 ,则 , , , 资料整理【淘宝店铺:向阳百分百】所以 , , 由 分别是 与 的中点,知 且 ,即 , 由 得 ,所以 . 13.(2023届浙江省教学质量检测(二模)数学试题)费马定理是几何光学中的一条重要原理,在数学中 可以推导出圆锥曲线的一些光学性质.例如,点P为双曲线( , 为焦点)上一点,点P处的切线平分 .已知双曲线C: ,O为坐标原点,l是点 处的切线,过左焦点 作l的垂线, 垂足为M,则 . 【答案】2 【分析】延长 交 延长线于点 ,结合题意得点 为 的中点, ,从而得到 ,再结合双曲线的定义即可求解. 【详解】如图,延长 交 延长线于点 , 因为点 是 的角平分线上的一点,且 , 所以点 为 的中点,所以 , 又点 为 的中点,且 , 所以 . 14.已知椭圆 的左右顶点是双曲线 的顶点,且椭圆 的上顶点到双 曲线 的渐近线距离为 . (1)求椭圆 的方程; (2)点F为椭圆的左焦点,不垂直于x轴且不过F点的直线l与曲线 相交于A、B两点,若直线FA、FB的 资料整理【淘宝店铺:向阳百分百】斜率之和为0,则动直线l是否一定经过一定点?若存在这样的定点,则求出该定点的坐标;若不存在这样 的定点,请说明理由. 【答案】(1) ;(2)存在, . 【分析】(1)由双曲线顶点求出a,再由点到直线距离求出b作答. (2)设出直线l的方程,与双曲线方程联立,利用韦达定理及斜率坐标公式计算、推理作答. (1) 双曲线 的顶点坐标为 ,渐近线方程为 , 依题意, ,椭圆上顶点为 到直线 的距离 ,解得 , 所以椭圆的方程为 . (2) 依题意,设直线l的方程为 , 、 ,点 , 由 消去y并整理得 ,则 , , 直线FA、FB的斜率之和为 , 即 ,有 ,整理得 , 此时 , ,否则 ,直线l过F点, 因此当 且 ,即 且 时,直线l与椭圆 交于两点,直线l: , 所以符合条件的动直线l过定点 . 15.(2023届江苏省调研测试数学试题)已知双曲线 的左顶点为 ,过左焦点 的 直线与 交于 两点.当 轴时, , 的面积为3. (1)求 的方程; (2)证明:以 为直径的圆经过定点. 【答案】(1) ;(2)证明见解析; 资料整理【淘宝店铺:向阳百分百】【分析】(1)根据题意,可得 , ,进而求解; (2)设 方程为 , ,联立直线和双曲线方程组,可得 ,以 为直径的圆的方程为 ,由对称性知以 为直径的圆必过 轴上的定点,进而得到 ,进而求解. 【详解】(1)当 轴时, 两点的横坐标均为 , 代入双曲线方程,可得 , ,即 , 由题意,可得 ,解得 , , , 双曲线 的方程为: ; (2)方法一:设 方程为 , , 以 为直径的圆的方程为 , 由对称性知以 为直径的圆必过 轴上的定点,令 ,可得 , 资料整理【淘宝店铺:向阳百分百】而 , , 对 恒成立, , 以 为直径的圆经过定点 ; 方法二:设 方程为 , 由对称性知以 为直径的圆必过 轴上的定点. 设以 为直径的圆过 , , 而 , , , ,即 对 恒成立, ,即以 为直径的圆经过定点 资料整理【淘宝店铺:向阳百分百】【能力提升】 1.已知F,F 是双曲线C: ( , )的两个焦点,C的离心率为5,点 在C上, 1 2 ,则 的取值范围是( ) A. B. C. D. 【答案】D 【分析】当 时,得 ,要由 ,解得 ,故当 时, 即可得到答案. 【详解】设 的焦距为 ,离心率为 .当 时,由平面几何知识得 ,解得 .∵ ,∴ .根据双曲线 上点的横坐标的取 值范围以及平面向量内积的几何意义可知,当 时,实数 的取值范围是 . 2.(2023年江西省模拟数学试题)已知椭圆和双曲线有共同的焦点 , ,P是它们的一个交点,且 ,记椭圆和双曲线的离心率分别为 , ,则 的最小值为( ) A. B. C.1 D. 【答案】B 【分析】利用椭圆和双曲线的定义及 可以列出关于 , 的方程,再利用均值定理即可得到 的最小值 【详解】设椭圆长轴长为 ,双曲线实轴长为 , 资料整理【淘宝店铺:向阳百分百】, ,( ) , 则 ,解之得 又 则 则 ,则 则 ,则 (当且仅当 时等号成立) 则 的最小值为 . 3.若实轴长为2的双曲线 上恰有4个不同的点 满足 , 其中 , ,则双曲线C的虚轴长的取值范围为( ) A. B. C. D. 【答案】C 【分析】设点 ,由 结合两点间的距离公式得出点 的轨迹方程,将问题转化为双曲线 与点 的轨迹有 个公共点,并将双曲线 的方程与动点 的轨迹方程联立,由 得出 的取值范围, 可得出答案. 【详解】依题意可得 ,设 ,则由 , 得 ,整理得 . 由 得 , 依题意可知 ,解得 ,则双曲线C的虚轴长 . 4.已知 为椭圆 : ( )与双曲线 : ( )的公共焦点,点M 资料整理【淘宝店铺:向阳百分百】是它们的一个公共点,且 , 分别为 , 的离心率,则 的最小值为( ) A. B. C.2 D.3 【答案】A 【分析】设椭圆 、双曲线 的共同半焦距为c,利用椭圆、双曲线定义及余弦定理建立关系,再借助均 值不等式计算作答. 【详解】设椭圆 、双曲线 的共同半焦距为c,由椭圆、双曲线对称性不妨令点M在第一象限, 由椭圆、双曲线定义知: ,且 ,则有 , , 在 中,由余弦定理得: , 即 ,整理得: , 于是得 ,当且仅当 ,即 时取“=”, 从而有 ,所以 的最小值为 . 5.在平面直角坐标系 中, 分别是双曲线C: 的左,右焦点,过 的直线 与 双曲线的左,右两支分别交于点 ,点 在 轴上,满足 ,且 经过 的内切圆圆心, 则双曲线 的离心率为( ) A. B.2 C. D. 【答案】C 【分析】根据双曲线的定义先推出 为正三角形,然后根据余弦定理解决. 【详解】 ,∴ ,∴ , ∵ 经过 内切圆圆心,∴ 为 的角平分线, ∴ .∴ ,∴ , , , ∴ ,于是 , ∴ 为正三角形, . 中,由余弦定理, ∴ . 资料整理【淘宝店铺:向阳百分百】6.已知双曲线 的两个焦点为 , , 为双曲线上一点, , 的内切圆的圆 心为 ,则 ( ) A. B. C. D. 【答案】A 【分析】根据题意得 , , , ,进而在 中,利用等面积法得 的内切圆的半径 ,再设 的内切圆与边 相切于点 ,进而在 中结合勾股定理 求解即可. 【详解】解:因为双曲线 的两个焦点为 , , 为双曲线上一点, , 所以 , , , 因为 ,所以 , 设 的内切圆的半径为 , 则 ,即 ,解得 , 如图,设 的内切圆与边 相切于点 ,则 , , 所以 , 所以 资料整理【淘宝店铺:向阳百分百】7.已知椭圆 和双曲线 有公共的焦点 、 ,曲线 和 在第一象限相交于点P.且 ,若椭 圆 的离心率的取值范围是 ,则双曲线 的离心率的取值范围是 . 【答案】 【分析】设 ,由椭圆、双曲线的定义可得 , ,由余弦定理可建立方程, 转化为离心率的关系式,根据椭圆离心率范围,计算即可得到双曲线离心率范围. 【详解】设椭圆 ,双曲线: ,椭圆与双曲线的半焦距为c,椭圆离心 率 ,双曲线离心率 , ,如图, 由椭圆定义可得: ,由双曲线定义可得: , 联立可得 , , 由余弦定理可得: 即 ,解得 , 资料整理【淘宝店铺:向阳百分百】因为 ,所以 , ,可得 , 故 ,故答案为: 8.(2023届湖南省一模数学试题)已知椭圆 与双曲线 有共同的焦点 ,椭圆 的离心率为 , 双曲线 的离心率为 ,点 为椭圆 与双曲线 在第一象限的交点,且 ,则 的最大 值为 . 【答案】 【分析】由椭圆的定义及双曲线的定义结合余弦定理可得 ,设 , 利用三角换元求出 的最大值即可. 【详解】设椭圆 ,双曲线 , 且设 , 由椭圆的定义得 ①, 由双曲线的定义得 ②, 得, , 得, , 由余弦定理可得 , 所以 ③, 设 , 所以 , 当 即 时, 取最大值为 . 9.(2023届安徽省教学质量检测数学试题)已知双曲线E: 的左右焦点分别为 , ,A为其右顶点,P为双曲线右支上一点,直线 与 轴交于Q点.若 ,则双曲线E的离心率 资料整理【淘宝店铺:向阳百分百】的取值范围为 . 【答案】 【分析】根据题意设点 并解出Q点坐标为 ,再根据 可得 ,即可解得 ,由P为双曲线右支上一点可得 ,解不等式即可求得离心率的取值范围. 【详解】如下图所示,根据题意可得 , 设 ,则直线 的方程为 , 所以直线 与 轴的交点 , 由 可得 ,即 , 整理得 ,即 ; 又因为P为双曲线右支上一点,所以 , 当 时, 共线与题意不符,即 ; 可得 ,整理得 ,即 , 解得 或 (舍); 即双曲线E的离心率的取值范围为 . 10.已知双曲线 , , 分别为双曲线的左右焦点, 为双曲线 上一点,且位于第 一象限,若 为锐角三角形,则 的取值范围为 . 【答案】 【分析】将锐角转化数量积大于零,解出 的范围即可 . 资料整理【淘宝店铺:向阳百分百】【详解】由双曲线 ,得 , , 位于第一象限, 恒为锐角, 又 为锐角三角形, 均为锐角. 由∠ 为锐角,得 , . , , 由∠ 为锐角,得 , , 即 , 又 , . 即 ,又 , .综上所述, . 11.已知双曲线 : 的左、右焦点分别为 ,左、右顶点分别为 , 为双 曲线的左支上一点,且直线 与 的斜率之积等于3,则下列说法正确的是( ) A.双曲线 的离心率为 B.若 ,且 ,则 C.以线段 , 为直径的两个圆外切 D.若点 到 的一条渐近线的距离为 ,则 的实轴长为4 【答案】C 【分析】设 ,则 ,根据两点坐标求斜率的方法求得 ,再由 求出结果,即可判断A选项;由 ,得 ,根据双曲线的定义可得 , 根据题意得出 和 ,可得出 的值,即可判断B选项;设 的中点为 , 为原点,则 为 的中位线,所以 ,根据两个圆的位置 关系即可判断C选项;由点 到 的一条渐近线的距离为 ,得出 ,而 得出 的值,即可 资料整理【淘宝店铺:向阳百分百】得出 的实轴长,即可判断D选项. 【详解】解:对于A,设 ,则 , 因为 ,直线 与 的斜率之积等于3, 所以 ,得 ,故A错误; 对于B,因为 ,所以 , 而 为双曲线的左支上一点,根据双曲线的定义可得 , 又因为 ,且 , 所以 ,则 , 由 ,可得 , 即 ,解得: ,故B错误; 对于C,设 的中点为 , 为原点,则 为 的中位线, 所以 , 则以线段 为直径的圆,圆心为 ,半径 , 以线段 为直径的圆,圆心为 ,半径 , 所以 ,故两个圆外切,故C正确; 资料整理【淘宝店铺:向阳百分百】对于D,因为点 到 的一条渐近线的距离为 ,所以 , 又由前面的推理可知 ,所以 ,故 的实轴长为 ,故D错误. 12.已知双曲线C: (a>0,b>0)的一个焦点坐标为(3,0),其中一条渐近线的倾斜角的正切值 为 ,O为坐标原点. (1)求双曲线C的方程; (2)直线l与x轴正半轴相交于一点D,与双曲线C右支相切(切点不为右顶点),且l分别交双曲线C的两条 渐近线于M、N两点,证明: MON的面积为定值,并求出该定值. △ 【答案】(1) ;(2)证明见解析, ﹒ 【分析】(1)由双曲线 的一个焦点坐标为 可求c,根据一条渐近线的倾斜角的正切值为 可求 , 结合a、b、c的关系求解 、 得到双曲线方程; (2)设直线 的方程为 , ,联立直线与椭圆方程,利用判别式为0,求出k与m的关 系.联立l与渐近线方程求出M和N的坐标,通过 ,化简即可. 【详解】(1)由题可知 ,解得 ,则 : ; (2)由于直线 与双曲线 右支相切(切点不为右顶点),则直线 的斜率存在且不为0, 资料整理【淘宝店铺:向阳百分百】设直线 的方程为 , , 令 ,则 ,则 . 联立 得, , 则 ,即 . 双曲线两条渐近线方程为 ,联立 得, , 联立 得, , ,故 的面积为定值 . 13.已知双曲线 过点 ,离心率为 ,直线 交 轴于点 ,过点 作直线交双曲线 于 两点. (1)求双曲线 的标准方程; (2)若 是线段 的中点,求直线 的方程; (3)设 是直线 上关于 轴对称的两点,直线 与 的交点是否在一条直线上?请说明你的理由. 【答案】(1) ;(2) 或 ; 资料整理【淘宝店铺:向阳百分百】(3)直线PM与QN的交点在定直线,理由见解析 【分析】(1)根据题意,列出方程组,结合 ,求得 的值,得出双曲线的标准方程, (2)设 ,则 ,联立方程组,求得 的坐标,即可求得直线 的方程; (3)设 ,得到 ,联立方程组,求得 ,再由直线 和 的方程, 求得交点的横坐标,即可求解. 【详解】(1)由题意得: , , . 解得 , ,所以双曲线 的标准方程为 . (2)方法1:设 ,则 依题意有 解得 , 所以直线 的方程为 或 . 方法2:设直线 的方程为 ,与双曲线的方程 联立得: . 当 时 设 , ,得 , . 又因为 ,所以 , ,解得 . 此时 ,所以直线MN的方程为 或 . (3)方法1:设 , , 直线PM的方程为 ,直线ON的方程 , 联立两方程,可得 ① 结合(2)方法2,可得 代入①得 资料整理【淘宝店铺:向阳百分百】故 . 所以直线PM与QN的交点在定直线 上. 方法2设直线MN的方程为 ,与双曲线的方程 联立得: . 设 , , , ,由根与系数的关系,得 , . : , : ,联立两方程,可得: , 解得 所以直线PM与QN的交点在定直线 上. 【真题感知】 1.(2023年高考全国乙卷数学(理)真题)设A,B为双曲线 上两点,下列四个点中,可为线段 AB中点的是( ) A. B. C. D. 【答案】D 【分析】根据点差法分析可得 ,对于A、B、D:通过联立方程判断交点个数,逐项分析判断; 资料整理【淘宝店铺:向阳百分百】对于C:结合双曲线的渐近线分析判断. 【详解】设 ,则 的中点 , 可得 , 因为 在双曲线上,则 ,两式相减得 , 所以 . 对于选项A: 可得 ,则 , 联立方程 ,消去y得 , 此时 , 所以直线AB与双曲线没有交点,故A错误; 对于选项B:可得 ,则 , 联立方程 ,消去y得 , 此时 , 所以直线AB与双曲线没有交点,故B错误; 对于选项C:可得 ,则 由双曲线方程可得 ,则 为双曲线的渐近线, 所以直线AB与双曲线没有交点,故C错误; 对于选项D: ,则 , 联立方程 ,消去y得 , 资料整理【淘宝店铺:向阳百分百】此时 ,故直线AB与双曲线有交两个交点,故D正确; 2.(全国甲卷理科数学试题)已知双曲线 的离心率为 ,C的一条渐近线与圆 交于A,B两点,则 ( ) A. B. C. D. 【答案】D 【分析】根据离心率得出双曲线渐近线方程,再由圆心到直线的距离及圆半径可求弦长. 【详解】由 ,则 , 解得 , 所以双曲线的一条渐近线不妨取 , 则圆心 到渐近线的距离 , 所以弦长 . 3.(2021年全国高考甲卷数学(文)试题)点 到双曲线 的一条渐近线的距离为( ) A. B. C. D. 【答案】A 【分析】首先确定渐近线方程,然后利用点到直线距离公式求得点到一条渐近线的距离即可. 【详解】由题意可知,双曲线的渐近线方程为: ,即 , 结合对称性,不妨考虑点 到直线 的距离: . 4.(2021年天津高考数学试题)已知双曲线 的右焦点与抛物线 的焦点 重合,抛物线的准线交双曲线于A,B两点,交双曲线的渐近线于C、D两点,若 .则双曲线 的离心率为( ) A. B. C.2 D.3 资料整理【淘宝店铺:向阳百分百】【答案】A 【分析】设公共焦点为 ,进而可得准线为 ,代入双曲线及渐近线方程,结合线段长度比值可得 ,再由双曲线离心率公式即可得解. 【详解】设双曲线 与抛物线 的公共焦点为 , 则抛物线 的准线为 , 令 ,则 ,解得 ,所以 , 又因为双曲线的渐近线方程为 ,所以 , 所以 ,即 ,所以 , 所以双曲线的离心率 . 5.(2021年全国高考甲卷数学(理)试题)已知 是双曲线C的两个焦点,P为C上一点,且 ,则C的离心率为( ) A. B. C. D. 【答案】A 【分析】根据双曲线的定义及条件,表示出 ,结合余弦定理可得答案. 【详解】因为 ,由双曲线的定义可得 , 所以 , ; 因为 ,由余弦定理可得 , 整理可得 ,所以 ,即 . 【点睛】关键点睛:双曲线的定义是入手点,利用余弦定理建立 间的等量关系是求解的关键. 6.(2021年全国高考乙卷数学(理)试题)已知双曲线 的一条渐近线为 , 则C的焦距为 . 【答案】4 资料整理【淘宝店铺:向阳百分百】【分析】将渐近线方程化成斜截式,得出 的关系,再结合双曲线中 对应关系,联立求解 ,再由 关系式求得 ,即可求解. 【详解】由渐近线方程 化简得 ,即 ,同时平方得 ,又双曲线中 ,故 ,解得 (舍去), ,故焦距 . 【点睛】本题为基础题,考查由渐近线求解双曲线中参数,焦距,正确计算并联立关系式求解是关键. 7.(2021年全国高考乙卷数学(文)试题)双曲线 的右焦点到直线 的距离为 . 【答案】 【分析】先求出右焦点坐标,再利用点到直线的距离公式求解. 【详解】由已知, ,所以双曲线的右焦点为 , 所以右焦点 到直线 的距离为 . 8.(2022年北京市高考数学试题)已知双曲线 的渐近线方程为 ,则 . 【答案】 【分析】首先可得 ,即可得到双曲线的标准方程,从而得到 、 ,再跟渐近线方程得到方程,解得 即可; 【详解】解:对于双曲线 ,所以 ,即双曲线的标准方程为 , 则 , ,又双曲线 的渐近线方程为 , 所以 ,即 ,解得 ; 资料整理【淘宝店铺:向阳百分百】