当前位置:首页>文档>精品解析:2023年四川省乐山市中考数学真题(原卷版)_new_北师大初中数学_9下-北师大版初中数学_05习题试卷_6中考真题_2023各地中考真题

精品解析:2023年四川省乐山市中考数学真题(原卷版)_new_北师大初中数学_9下-北师大版初中数学_05习题试卷_6中考真题_2023各地中考真题

  • 2026-04-15 05:57:39 2026-04-15 05:48:01

文档预览

精品解析:2023年四川省乐山市中考数学真题(原卷版)_new_北师大初中数学_9下-北师大版初中数学_05习题试卷_6中考真题_2023各地中考真题
精品解析:2023年四川省乐山市中考数学真题(原卷版)_new_北师大初中数学_9下-北师大版初中数学_05习题试卷_6中考真题_2023各地中考真题
精品解析:2023年四川省乐山市中考数学真题(原卷版)_new_北师大初中数学_9下-北师大版初中数学_05习题试卷_6中考真题_2023各地中考真题
精品解析:2023年四川省乐山市中考数学真题(原卷版)_new_北师大初中数学_9下-北师大版初中数学_05习题试卷_6中考真题_2023各地中考真题
精品解析:2023年四川省乐山市中考数学真题(原卷版)_new_北师大初中数学_9下-北师大版初中数学_05习题试卷_6中考真题_2023各地中考真题
精品解析:2023年四川省乐山市中考数学真题(原卷版)_new_北师大初中数学_9下-北师大版初中数学_05习题试卷_6中考真题_2023各地中考真题
精品解析:2023年四川省乐山市中考数学真题(原卷版)_new_北师大初中数学_9下-北师大版初中数学_05习题试卷_6中考真题_2023各地中考真题
精品解析:2023年四川省乐山市中考数学真题(原卷版)_new_北师大初中数学_9下-北师大版初中数学_05习题试卷_6中考真题_2023各地中考真题
精品解析:2023年四川省乐山市中考数学真题(原卷版)_new_北师大初中数学_9下-北师大版初中数学_05习题试卷_6中考真题_2023各地中考真题
精品解析:2023年四川省乐山市中考数学真题(原卷版)_new_北师大初中数学_9下-北师大版初中数学_05习题试卷_6中考真题_2023各地中考真题
精品解析:2023年四川省乐山市中考数学真题(原卷版)_new_北师大初中数学_9下-北师大版初中数学_05习题试卷_6中考真题_2023各地中考真题
精品解析:2023年四川省乐山市中考数学真题(原卷版)_new_北师大初中数学_9下-北师大版初中数学_05习题试卷_6中考真题_2023各地中考真题
精品解析:2023年四川省乐山市中考数学真题(原卷版)_new_北师大初中数学_9下-北师大版初中数学_05习题试卷_6中考真题_2023各地中考真题

文档信息

文档格式
docx
文档大小
0.470 MB
文档页数
9 页
上传时间
2026-04-15 05:48:01

文档内容

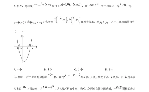
乐山市 2023 年初中学业水平考试 数学 本试题卷分第I卷(选择题)和第Ⅱ卷(非选择题),共8页。考生作答时,须将答案答在 答题卡上,在本试题卷、草稿纸上答题无效。满分150分。考试时间120分钟。考试结束后, 将本试题卷和答题卡一并交回。考生作答时,不能使用任何型号的计算器。 第I卷(选择题 共30分) 注意事项: 1.选择题必须使用2B铅笔将答案标号填涂在答题卡对应题目标号的位置上。 2.在每小题给出的四个选项中,只有一个选项符合题目要求。 一、选择题:本大题共10个小题,每小题3分,共30分。 1. 计算: ( ) . A a B. C. D. 1 2. 下面几何体中,是圆柱的是( ) A. B. C. D. 3. 下列各点在函数 图象上的是( ) A. B. C. D. 4. 从水利部长江水利委员会获悉,截止2023年3月30日17时,南水北调中线一期工程自2014年12月全 面通水以来,已累计向受水区实施生态补水约90亿立方米.其中9000000000用科学记数法表示为( ) A. B. C. D. 5. 乐山是一座著名的旅游城市,有着丰富的文旅资源.某校准备组织初一年级500名学生进行研学旅行活 动,政教处周老师随机抽取了其中50名同学进行研学目的地意向调查,并将调查结果制成如下统计图,如 图所示估计初一年级愿意去“沫若故居”的学生人数为( )A. 100 B. 150 C. 200 D. 400 6. 如图,菱形 的对角线 与 相交于点O,E为边 的中点,连结 .若 ,则 ( ) A. 2 B. C. 3 D. 4 7. 若关于x的一元二次方程 两根为 ,且 ,则m的值为( ) A. 4 B. 8 C. 12 D. 16 8. 我国汉代数学家赵爽在注解《周髀算经》时给出“赵爽弦图”,如图所示,它是由四个全等的直角三角 形与中间的小正方形拼成的一个大正方形.如果大正方形面积为 25,小正方形面积为 1,则 ( )A. B. C. D. 9. 如图,抛物线 经过点 ,且 ,有下列结论:① ;② ;③ ;④若点 在抛物线上,则 .其中,正确的结论有 ( ) A. 4个 B. 3个 C. 2个 D. 1个 10. 如图,在平面直角坐标系 中,直线 与x轴、y轴分别交于A、B两点,C、D是半径 为1的 上两动点,且 ,P为弦CD的中点.当C、D两点在圆上运动时, 面积的最大 值是( )A. 8 B. 6 C. 4 D. 3 第Ⅱ卷(非选择题 共120分) 注意事项: 1.考生使用0.5m黑色墨汁签字笔在答题卡上题目所指示的答题区域内作答,答在试题卷上 无效。 2.作图时,可先用铅笔画线,确认后再用0.5mm黑色墨汁签字笔描清楚。 3.解答题应写出文字说明、证明过程或推演步骤。 4.本部分共16个小题,共120分。 二、填空题:本大题共6个小题,每小题3分,共18分。 11. 不等式 的解集是__________. 12. 小张在“阳光大课间”活动中进行了5次一分钟跳绳练习,所跳个数分别为:160,163,160,157, 160.这组数据的众数为__________. 13. 如图,点 O 在直线 上, 是 的平分线,若 ,则 的度数为 __________. 14. 若m、n满足 ,则 __________. 15. 如图,在平行四边形 中,E 是线段 上一点,连结 交于点F.若 ,则 __________.16. 定义:若x,y满足 且 (t为常数),则称点 为“和谐点”. (1)若 是“和谐点”,则 __________. (2)若双曲线 存在“和谐点”,则k的取值范围为__________. 三、解答题:本大题共10个小题,共102分。解答应写出必要的文字说明,证明过程或演算 步骤。 17. 计算: 18. 解二元一次方程组: 19. 如图,AB、CD相交于点O,AO=BO,AC∥DB.求证:AC=BD. 20. 如图,在 中, ,点D为 边上任意一点(不与点A、B重合),过点D作 , ,分别交 、 于点E、F,连接 .(1)求证:四边形 是矩形; (2)若 ,求点C到 的距离. 21. 为了践行习近平总书记提出的“绿水青山就是金山银山”的发展理念,某地计划在规定时间内种植梨 树 棵.开始种植时,由于志愿者的加入,实际每天种植梨树的数量比原计划增加了 ,结果提前 2天完成任务.问原计划每天种植梨树多少棵? 22. 为培养同学们爱劳动的习惯,某班开展了“做好一件家务”主题活动,要求全班同学人人参与经统计, 同学们做的家务类型为“洗衣”“拖地”“煮饭”“刷碗”.班主任将以上信息绘制成了统计图表,如图 所示. 家务类型 洗衣 拖地 煮饭 刷碗 人数(人) 10 12 10 m 根据上面图表信息,回答下列问题: (1) __________; 的 (2)在扇形统计图中,“拖地”所占 圆心角度数为__________; (3)班会课上,班主任评选出了近期做家务表现优异的4名同学,其中有2名男生.现准备从表现优异的 同学中随机选取两名同学分享体会,请用画树状图或列表的方法求所选同学中有男生的概率.23. 如图,一次函数 的图象与反比例函数 的图象交于点 ,与x轴交于点B, 与y 轴交于点 . 的 (1)求m 值和一次函数的表达式; (2)已知P为反比例函数 图象上的一点, ,求点P的坐标. 24. 如图,已知 是 的外接圆, ,D是圆上一点,E是 延长线上一点,连结 ,且 . (1)求证:直线 是 是的切线; (2)若 , 的半径为3,求 的长. 25. 在学习完《图形的旋转》后,刘老师带领学生开展了一次数学探究活动 【问题情境】 刘老师先引导学生回顾了华东师大版教材七年级下册第 页“探索”部分内容:如图,将一个三角形纸板 绕点 逆时针旋转 到达 的位置,那么可以得到: , , ; , , ( ) 刘老师进一步谈到:图形的旋转蕴含于自然界的运动变化规律中,即“变”中蕴含着“不变”,这是我们 解决图形旋转的关键;故数学就是一门哲学. 【问题解决】 (1)上述问题情境中“( )”处应填理由:____________________; (2)如图,小王将一个半径为 ,圆心角为 的扇形纸板 绕点 逆时针旋转 到达扇形纸 板 的位置. ①请在图中作出点 ; ②如果 ,则在旋转过程中,点 经过的路径长为__________; 【问题拓展】 小李突发奇想,将与(2)中完全相同的两个扇形纸板重叠,一个固定在墙上,使得一边位于水平位置, 另一个在弧的中点处固定,然后放开纸板,使其摆动到竖直位置时静止,此时,两个纸板重叠部分的面积 是多少呢?如图所示,请你帮助小李解决这个问题.26. 已知 是抛物 (b为常数)上的两点,当 时,总有 (1)求b的值; (2)将抛物线 平移后得到抛物线 . 探究下列问题: ①若抛物线 与抛物线 有一个交点,求m的取值范围; ②设抛物线 与x轴交于A,B两点,与y轴交于点C,抛物线 的顶点为点E, 外接圆的圆心为 点F,如果对抛物线 上的任意一点P,在抛物线 上总存在一点Q,使得点P、Q的纵坐标相等.求 长的取值范围.