当前位置:首页>文档>专题02细胞的能量与代谢-十年(2012-2021)高考生物真题分项汇编(全国通用)(原卷版)_高考真题分类汇编(2012-2022)生物_高考真题分项汇编(2012-2021)生物

专题02细胞的能量与代谢-十年(2012-2021)高考生物真题分项汇编(全国通用)(原卷版)_高考真题分类汇编(2012-2022)生物_高考真题分项汇编(2012-2021)生物

  • 2026-04-25 15:41:33 2026-04-25 15:41:33

文档预览

专题02细胞的能量与代谢-十年(2012-2021)高考生物真题分项汇编(全国通用)(原卷版)_高考真题分类汇编(2012-2022)生物_高考真题分项汇编(2012-2021)生物
专题02细胞的能量与代谢-十年(2012-2021)高考生物真题分项汇编(全国通用)(原卷版)_高考真题分类汇编(2012-2022)生物_高考真题分项汇编(2012-2021)生物
专题02细胞的能量与代谢-十年(2012-2021)高考生物真题分项汇编(全国通用)(原卷版)_高考真题分类汇编(2012-2022)生物_高考真题分项汇编(2012-2021)生物
专题02细胞的能量与代谢-十年(2012-2021)高考生物真题分项汇编(全国通用)(原卷版)_高考真题分类汇编(2012-2022)生物_高考真题分项汇编(2012-2021)生物
专题02细胞的能量与代谢-十年(2012-2021)高考生物真题分项汇编(全国通用)(原卷版)_高考真题分类汇编(2012-2022)生物_高考真题分项汇编(2012-2021)生物
专题02细胞的能量与代谢-十年(2012-2021)高考生物真题分项汇编(全国通用)(原卷版)_高考真题分类汇编(2012-2022)生物_高考真题分项汇编(2012-2021)生物
专题02细胞的能量与代谢-十年(2012-2021)高考生物真题分项汇编(全国通用)(原卷版)_高考真题分类汇编(2012-2022)生物_高考真题分项汇编(2012-2021)生物
专题02细胞的能量与代谢-十年(2012-2021)高考生物真题分项汇编(全国通用)(原卷版)_高考真题分类汇编(2012-2022)生物_高考真题分项汇编(2012-2021)生物
专题02细胞的能量与代谢-十年(2012-2021)高考生物真题分项汇编(全国通用)(原卷版)_高考真题分类汇编(2012-2022)生物_高考真题分项汇编(2012-2021)生物
专题02细胞的能量与代谢-十年(2012-2021)高考生物真题分项汇编(全国通用)(原卷版)_高考真题分类汇编(2012-2022)生物_高考真题分项汇编(2012-2021)生物
专题02细胞的能量与代谢-十年(2012-2021)高考生物真题分项汇编(全国通用)(原卷版)_高考真题分类汇编(2012-2022)生物_高考真题分项汇编(2012-2021)生物
专题02细胞的能量与代谢-十年(2012-2021)高考生物真题分项汇编(全国通用)(原卷版)_高考真题分类汇编(2012-2022)生物_高考真题分项汇编(2012-2021)生物
专题02细胞的能量与代谢-十年(2012-2021)高考生物真题分项汇编(全国通用)(原卷版)_高考真题分类汇编(2012-2022)生物_高考真题分项汇编(2012-2021)生物
专题02细胞的能量与代谢-十年(2012-2021)高考生物真题分项汇编(全国通用)(原卷版)_高考真题分类汇编(2012-2022)生物_高考真题分项汇编(2012-2021)生物
专题02细胞的能量与代谢-十年(2012-2021)高考生物真题分项汇编(全国通用)(原卷版)_高考真题分类汇编(2012-2022)生物_高考真题分项汇编(2012-2021)生物
专题02细胞的能量与代谢-十年(2012-2021)高考生物真题分项汇编(全国通用)(原卷版)_高考真题分类汇编(2012-2022)生物_高考真题分项汇编(2012-2021)生物
专题02细胞的能量与代谢-十年(2012-2021)高考生物真题分项汇编(全国通用)(原卷版)_高考真题分类汇编(2012-2022)生物_高考真题分项汇编(2012-2021)生物
专题02细胞的能量与代谢-十年(2012-2021)高考生物真题分项汇编(全国通用)(原卷版)_高考真题分类汇编(2012-2022)生物_高考真题分项汇编(2012-2021)生物
专题02细胞的能量与代谢-十年(2012-2021)高考生物真题分项汇编(全国通用)(原卷版)_高考真题分类汇编(2012-2022)生物_高考真题分项汇编(2012-2021)生物
专题02细胞的能量与代谢-十年(2012-2021)高考生物真题分项汇编(全国通用)(原卷版)_高考真题分类汇编(2012-2022)生物_高考真题分项汇编(2012-2021)生物
专题02细胞的能量与代谢-十年(2012-2021)高考生物真题分项汇编(全国通用)(原卷版)_高考真题分类汇编(2012-2022)生物_高考真题分项汇编(2012-2021)生物
专题02细胞的能量与代谢-十年(2012-2021)高考生物真题分项汇编(全国通用)(原卷版)_高考真题分类汇编(2012-2022)生物_高考真题分项汇编(2012-2021)生物
专题02细胞的能量与代谢-十年(2012-2021)高考生物真题分项汇编(全国通用)(原卷版)_高考真题分类汇编(2012-2022)生物_高考真题分项汇编(2012-2021)生物
专题02细胞的能量与代谢-十年(2012-2021)高考生物真题分项汇编(全国通用)(原卷版)_高考真题分类汇编(2012-2022)生物_高考真题分项汇编(2012-2021)生物
专题02细胞的能量与代谢-十年(2012-2021)高考生物真题分项汇编(全国通用)(原卷版)_高考真题分类汇编(2012-2022)生物_高考真题分项汇编(2012-2021)生物
专题02细胞的能量与代谢-十年(2012-2021)高考生物真题分项汇编(全国通用)(原卷版)_高考真题分类汇编(2012-2022)生物_高考真题分项汇编(2012-2021)生物
专题02细胞的能量与代谢-十年(2012-2021)高考生物真题分项汇编(全国通用)(原卷版)_高考真题分类汇编(2012-2022)生物_高考真题分项汇编(2012-2021)生物
专题02细胞的能量与代谢-十年(2012-2021)高考生物真题分项汇编(全国通用)(原卷版)_高考真题分类汇编(2012-2022)生物_高考真题分项汇编(2012-2021)生物
专题02细胞的能量与代谢-十年(2012-2021)高考生物真题分项汇编(全国通用)(原卷版)_高考真题分类汇编(2012-2022)生物_高考真题分项汇编(2012-2021)生物
专题02细胞的能量与代谢-十年(2012-2021)高考生物真题分项汇编(全国通用)(原卷版)_高考真题分类汇编(2012-2022)生物_高考真题分项汇编(2012-2021)生物
专题02细胞的能量与代谢-十年(2012-2021)高考生物真题分项汇编(全国通用)(原卷版)_高考真题分类汇编(2012-2022)生物_高考真题分项汇编(2012-2021)生物
专题02细胞的能量与代谢-十年(2012-2021)高考生物真题分项汇编(全国通用)(原卷版)_高考真题分类汇编(2012-2022)生物_高考真题分项汇编(2012-2021)生物
专题02细胞的能量与代谢-十年(2012-2021)高考生物真题分项汇编(全国通用)(原卷版)_高考真题分类汇编(2012-2022)生物_高考真题分项汇编(2012-2021)生物
专题02细胞的能量与代谢-十年(2012-2021)高考生物真题分项汇编(全国通用)(原卷版)_高考真题分类汇编(2012-2022)生物_高考真题分项汇编(2012-2021)生物
专题02细胞的能量与代谢-十年(2012-2021)高考生物真题分项汇编(全国通用)(原卷版)_高考真题分类汇编(2012-2022)生物_高考真题分项汇编(2012-2021)生物
专题02细胞的能量与代谢-十年(2012-2021)高考生物真题分项汇编(全国通用)(原卷版)_高考真题分类汇编(2012-2022)生物_高考真题分项汇编(2012-2021)生物
专题02细胞的能量与代谢-十年(2012-2021)高考生物真题分项汇编(全国通用)(原卷版)_高考真题分类汇编(2012-2022)生物_高考真题分项汇编(2012-2021)生物
专题02细胞的能量与代谢-十年(2012-2021)高考生物真题分项汇编(全国通用)(原卷版)_高考真题分类汇编(2012-2022)生物_高考真题分项汇编(2012-2021)生物
专题02细胞的能量与代谢-十年(2012-2021)高考生物真题分项汇编(全国通用)(原卷版)_高考真题分类汇编(2012-2022)生物_高考真题分项汇编(2012-2021)生物
专题02细胞的能量与代谢-十年(2012-2021)高考生物真题分项汇编(全国通用)(原卷版)_高考真题分类汇编(2012-2022)生物_高考真题分项汇编(2012-2021)生物
专题02细胞的能量与代谢-十年(2012-2021)高考生物真题分项汇编(全国通用)(原卷版)_高考真题分类汇编(2012-2022)生物_高考真题分项汇编(2012-2021)生物
专题02细胞的能量与代谢-十年(2012-2021)高考生物真题分项汇编(全国通用)(原卷版)_高考真题分类汇编(2012-2022)生物_高考真题分项汇编(2012-2021)生物
专题02细胞的能量与代谢-十年(2012-2021)高考生物真题分项汇编(全国通用)(原卷版)_高考真题分类汇编(2012-2022)生物_高考真题分项汇编(2012-2021)生物

文档信息

文档格式
doc
文档大小
5.287 MB
文档页数
39 页
上传时间
2026-04-25 15:41:33

文档内容

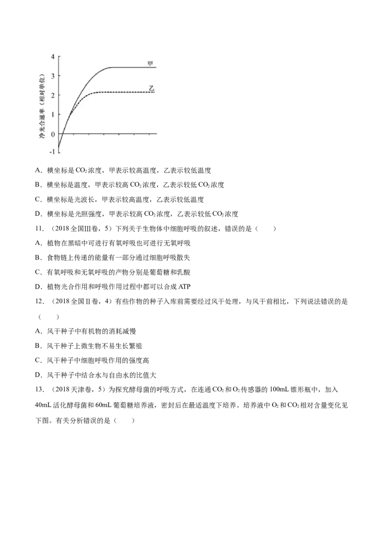
专题 02 细胞的代谢 【2021年】 1.(2021·1月浙江选考)下图为植物细胞质膜中H+-ATP酶将细胞质中的H+转运到膜外的示意图。下列叙 述正确的是( ) A.H+转运过程中H+-ATP酶不发生形变 B.该转运可使膜两侧H+维持一定的浓度差 C.抑制细胞呼吸不影响H+的转运速率 D.线粒体内膜上的电子传递链也会发生图示过程 2.(2021·湖南高考真题)质壁分离和质壁分离复原是某些生物细胞响应外界水分变化而发生的渗透调节 过程。下列叙述错误的是( ) A.施肥过多引起的“烧苗”现象与质壁分离有关 B.质壁分离过程中,细胞膜可局部或全部脱离细胞壁 C.质壁分离复原过程中,细胞的吸水能力逐渐降低 D.1mol/L NaCl溶液和1mol/L蔗糖溶液的渗透压大小相等 3.(2021·湖南高考真题)某些蛋白质在蛋白激酶和蛋白磷酸酶的作用下,可在特定氨基酸位点发生磷酸 化和去磷酸化,参与细胞信号传递,如图所示。下列叙述错误的是( ) A.这些蛋白质磷酸化和去磷酸化过程体现了蛋白质结构与功能相适应的观点 B.这些蛋白质特定磷酸化位点的氨基酸缺失,不影响细胞信号传递 C.作为能量“通货”的ATP能参与细胞信号传递 D.蛋白质磷酸化和去磷酸化反应受温度的影响4.(2021·广东高考真题)保卫细胞吸水膨胀使植物气孔张开。适宜条件下,制作紫鸭跖草叶片下表皮临 时装片,观察蔗糖溶液对气孔开闭的影响,图为操作及观察结果示意图。下列叙述错误的是( ) A.比较保卫细胞细胞液浓 度,③处理后>①处理后 B.质壁分离现象最可能出现在滴加②后的观察视野中 C.滴加③后有较多水分子进入保卫细胞 D.推测3种蔗糖溶液浓度高低为②>①>③ 5.(2021·河北高考真题)人体成熟红细胞能够运输O 和CO,其部分结构和功能如图,①~⑤表示相关 2 2 过程。下列叙述错误的是( ) A.血液流经肌肉组织时,气体A和B分别是CO 和O 2 2 B.①和②是自由扩散,④和⑤是协助扩散 C.成熟红细胞通过无氧呼吸分解葡萄糖产生ATP,为③提供能量 D.成熟红细胞表面的糖蛋白处于不断流动和更新中 6.(2021·1月浙江选考)苹果果实成熟到一定程度,呼吸作用突然增强,然后又突然减弱,这种现象称 为呼吸跃变,呼吸跃变标志着果实进入衰老阶段。下列叙述正确的是( ) A.呼吸作用增强,果实内乳酸含量上升 B.呼吸作用减弱,糖酵解产生的CO 减少 2 C.用乙烯合成抑制剂处理,可延缓呼吸跃变现象的出现 D.果实贮藏在低温条件下,可使呼吸跃变提前发生7.(2021·广东高考真题)秸杆的纤维素经酶水解后可作为生产生物燃料乙醇的原料,生物兴趣小组利用 自制的纤维素水解液(含5%葡萄糖)培养酵母菌并探究细胞呼吸(如图)。下列叙述正确的是( ) A.培养开始时向甲瓶中加入重铬酸钾以便检测乙醇生成 B.乙瓶的溶液由蓝色变成红色,表明酵母菌已产生了CO 2 C.用甲基绿溶液染色后可观察到酵母菌中线粒体的分布 D.实验中增加甲瓶的酵母菌数量不能提高乙醇最大产量 8.(2021·广东高考真题)与野生型拟南芥WT相比,突变体t1和t2在正常光照条件下,叶绿体在叶肉细 胞中的分布及位置不同(图a,示意图),造成叶绿体相对受光面积的不同(图b),进而引起光合速率差 异,但叶绿素含量及其它性状基本一致。在不考虑叶绿体运动的前提下,下列叙述错误的是( ) A.t2比t1具有更高的光饱和点(光合速率不再随光强增加而增加时的光照强度) B.t1比t2具有更低的光补偿点(光合吸收CO 与呼吸释放CO 等量时的光照强度) 2 2 C.三者光合速率的高低与叶绿素的含量无关 D.三者光合速率的差异随光照强度的增加而变大 9.(2021·全国乙卷高考真题)某同学将酵母菌接种在马铃薯培养液中进行实验,不可能得到的结果是( ) A.该菌在有氧条件下能够繁殖 B.该菌在无氧呼吸的过程中无丙酮酸产生 C.该菌在无氧条件下能够产生乙醇D.该菌在有氧和无氧条件下都能产生CO 2 10.(2021·湖南高考真题)绿色植物的光合作用是在叶绿体内进行的一系列能量和物质转化过程。下列叙 述错误的是( ) A.弱光条件下植物没有O 的释放,说明未进行光合作用 2 B.在暗反应阶段,CO 不能直接被还原 2 C.在禾谷类作物开花期剪掉部分花穗,叶片的光合速率会暂时下降 D.合理密植和增施有机肥能提高农作物的光合作用强度 11.(2021·湖南高考真题)下列有关细胞呼吸原理应用的叙述,错误的是( ) A.南方稻区早稻浸种后催芽过程中,常用40℃左右温水淋种并时常翻种,可以为种子的呼吸作用提供水 分、适宜的温度和氧气 B.农作物种子入库贮藏时,在无氧和低温条件下呼吸速率降低,贮藏寿命显著延长 C.油料作物种子播种时宜浅播,原因是萌发时呼吸作用需要大量氧气 D.柑橘在塑料袋中密封保存,可以减少水分散失、降低呼吸速率,起到保鲜作用 12.(2021·河北高考真题)《齐民要术》中记载了利用荫坑贮存葡萄的方法(如图)。目前我国果蔬主产 区普遍使用大型封闭式气调冷藏库(充入氮气替换部分空气),延长了果蔬保鲜时间、增加了农民收益。 下列叙述正确的是( ) A.荫坑和气调冷藏库环境减缓了果蔬中营养成分和风味物质的分解 B.荫坑和气调冷藏库贮存的果蔬,有氧呼吸中不需要氧气参与的第一、二阶段正常进行,第三阶段受到 抑制 C.气调冷藏库中的低温可以降低细胞质基质和线粒体中酶的活性 D.气调冷藏库配备的气体过滤装置及时清除乙烯,可延长果蔬保鲜时间 【2020年】1.(2020·课标Ⅰ)种子贮藏中需要控制呼吸作用以减少有机物的消耗。若作物种子呼吸作用所利用的物质 是淀粉分解产生的葡萄糖,下列关于种子呼吸作用的叙述,错误的是( ) A. 若产生的CO 与乙醇的分子数相等,则细胞只进行无氧呼吸 2 B. 若细胞只进行有氧呼吸,则吸收O 的分子数与释放CO 的相等 2 2 C. 若细胞只进行无氧呼吸且产物是乳酸,则无O 吸收也无CO 释放 2 2 D. 若细胞同时进行有氧和无氧呼吸,则吸收O 的分子数比释放CO 的多 2 2 2.(2020·山东卷)癌细胞即使在氧气供应充足的条件下也主要依赖无氧呼吸产生ATP,这种现象称为“瓦 堡效应”。下列说法错误的是( ) A. “瓦堡效应”导致癌细胞需要大量吸收葡萄糖 B. 癌细胞中丙酮酸转化为乳酸的过程会生成少量ATP C. 癌细胞呼吸作用过程中丙酮酸主要在细胞质基质中被利用 D. 消耗等量的葡萄糖,癌细胞呼吸作用产生的NADH比正常细胞少 3.(2020·山东卷)我国的酿酒技术历史悠久,古人在实际生产中积累了很多经验。《齐民要术》记载:将 蒸熟的米和酒曲混合前需“浸曲发,如鱼眼汤,净淘米八斗,炊作饭,舒令极冷”。意思是将酒曲浸到活 化,冒出鱼眼大小的气泡,把八斗米淘净,蒸熟,摊开冷透。下列说法错误的是( ) A. “浸曲发” 过程中酒曲中的微生物代谢加快 B. “鱼眼汤” 现象是微生物呼吸作用产生的CO 释放形成的 2 C. “净淘米”" 是为消除杂菌对酿酒过程的影响而采取的主要措施 D. “舒令极冷”的目的是防止蒸熟的米温度过高导致酒曲中的微生物死亡 4.(2020·天津卷)研究人员从菠菜中分离类囊体,将其与16种酶等物质一起用单层脂质分子包裹成油包 水液滴,从而构建半人工光合作用反应体系。该反应体系在光照条件下可实现连续的CO 固定与还原,并 2 不断产生有机物乙醇酸。下列分析正确的是( ) A. 产生乙醇酸的场所相当于叶绿体基质 B. 该反应体系不断消耗的物质仅是CO 2 C. 类囊体产生的ATP和O 参与CO 固定与还原 2 2 D. 与叶绿体相比,该反应体系不含光合作用色素 5.(2020·浙江卷)下列关于细胞的需氧呼吸与厌氧呼吸的叙述,正确的是( ) A. 细胞的厌氧呼吸产生的ATP比需氧呼吸的多 B. 细胞的厌氧呼吸在细胞溶胶和线粒体嵴上进行 C. 细胞的需氧呼吸与厌氧呼吸过程中都会产生丙酮酸D. 若适当提高苹果果实贮藏环境中的O 浓度会增加酒精的生成量 2 6.(2020·浙江卷)为研究酶作用的影响因素,进行了“探究pH对过氧化氢酶的影响”的活动。下列叙述 错误的是( ) A. 反应小室应保持在适宜水温的托盘中 B. 加入各组反应小室中含有酶的滤纸片的大小和数量应一致 C. 将HO 加到反应小室中的滤纸片上后需迅速加入pH缓冲液 2 2 D. 比较各组量筒中收集的气体量可判断过氧化氢酶作用的适宜pH范围 7.(2020·浙江卷)将某植物叶片分离得到的叶绿体,分别置于含不同蔗糖浓度的反应介质溶液中,测量其 光合速率,结果如图所示。图中光合速率用单位时间内单位叶绿素含量消耗的二氧化碳量表示。下列叙述 正确的是( ) A. 测得的该植物叶片的光合速率小于该叶片分离得到的叶绿体的光合速率 B. 若分离的叶绿体中存在一定比例的破碎叶绿体,测得的光合速率与无破碎叶绿体的相比,光合速率偏大 C. 若该植物较长时间处于遮阴环境,叶片内蔗糖浓度与光合速率的关系与图中B-C段对应的关系相似 D. 若该植物处于开花期,人为摘除花朵,叶片内蔗糖浓度与光合速率的关系与图中A-B段对应的关系相似 8.(2020·新课标Ⅲ)取燕麦胚芽鞘切段,随机分成三组,第1组置于一定浓度的蔗糖(Suc)溶液中(蔗 糖能进入胚芽鞘细胞),第2组置于适宜浓度的生长素(IAA)溶液中,第3组置于IAA+ Suc溶液中,一 定时间内测定胚芽鞘长度的变化,结果如图所示。用KCl代替蔗糖进行上述实验可以得到相同的结果。下 列说法不合理的是( ) A. KCl可进入胚芽鞘细胞中调节细胞的渗透压B. 胚芽鞘伸长生长过程中,件随细胞对水分的吸收 C. 本实验中Suc是作为能源物质来提高IAA作用效果的 D. IAA促进胚芽鞘伸长的效果可因加入Suc或KC1而提高 【2019年】 1.(2019全国卷Ⅰ·3)将一株质量为20 g的黄瓜幼苗栽种在光照等适宜的环境中,一段时间后植株达到 40 g,其增加的质量来自于 A.水、矿质元素和空气 B.光、矿质元素和水 C.水、矿质元素和土壤 D.光、矿质元素和空气 2.(2019全国卷II·2)马铃薯块茎储藏不当会出现酸味,这种现象与马铃薯块茎细胞的无氧呼吸有关。下 列叙述正确的是 A.马铃薯块茎细胞无氧呼吸的产物是乳酸和葡萄糖 B.马铃薯块茎细胞无氧呼吸产生的乳酸是由丙酮酸转化而来 C.马铃薯块茎细胞无氧呼吸产生丙酮酸的过程不能生成ATP D.马铃薯块茎储藏库中氧气浓度的升高会增加酸味的产生 3.(2019全国卷III·4)若将n粒玉米种子置于黑暗中使其萌发,得到n株黄化苗。那么,与萌发前的这n 粒干种子相比,这些黄化苗的有机物总量和呼吸强度表现为 A.有机物总量减少,呼吸强度增强 B.有机物总量增加,呼吸强度增强 C.有机物总量减少,呼吸强度减弱 D.有机物总量增加,呼吸强度减弱 4.(2019全国卷II·3)某种H﹢-ATPase是一种位于膜上的载体蛋白,具有ATP水解酶活性,能够利用水 解ATP释放的能量逆浓度梯度跨膜转运H﹢。①将某植物气孔的保卫细胞悬浮在一定pH的溶液中(假设细 胞内的pH高于细胞外),置于暗中一段时间后,溶液的pH不变。②再将含有保卫细胞的该溶液分成两组, 一组照射蓝光后溶液的pH明显降低;另一组先在溶液中加入H﹢-ATPase的抑制剂(抑制ATP水解),再 用蓝光照射,溶液的pH不变。根据上述实验结果,下列推测不合理的是 A.H﹢-ATPase位于保卫细胞质膜上,蓝光能够引起细胞内的H﹢转运到细胞外 B.蓝光通过保卫细胞质膜上的H﹢-ATPase发挥作用导致H﹢逆浓度梯度跨膜运输 C.H﹢-ATPase逆浓度梯度跨膜转运H﹢所需的能量可由蓝光直接提供 D.溶液中的H﹢不能通过自由扩散的方式透过细胞质膜进入保卫细胞5.(2019天津卷·2)下列过程需ATP水解提供能量的是 A.唾液淀粉酶水解淀粉 B.生长素的极性运输 C.光反应阶段中水在光下分解 D.乳酸菌无氧呼吸的第二阶段 6.(2019天津卷·3)植物受病原菌感染后,特异的蛋白水解酶被激活,从而诱导植物细胞编程性死亡, 同时病原菌被消灭。激活蛋白水解酶有两条途径:①由钙离子进入细胞后启动;②由位于线粒体内膜上参 与细胞呼吸的细胞色素c含量增加启动。下列叙述正确的是 A.蛋白水解酶能使磷酸二酯键断开 B.钙离子通过自由扩散进入植物细胞 C.细胞色素c与有氧呼吸第一阶段有关 D.细胞编程性死亡避免了病原菌对邻近细胞的进一步感染 7.(2019江苏卷·17)如图为某次光合作用色素纸层析的实验结果,样品分别为新鲜菠菜叶和一种蓝藻经 液氮冷冻研磨后的乙醇提取液。下列叙述正确的是 A.研磨时加入CaCO 过量会破坏叶绿素 3 B.层析液可采用生理盐水或磷酸盐缓冲液 C.在敞开的烧杯中进行层析时,需通风操作 D.实验验证了该种蓝藻没有叶绿素b 8.(2019浙江4月选考·9)哺乳动物细胞在0.9%NaCl溶液中仍能保持其正常形态。将兔红细胞置于不 同浓度NaCl溶液中,一段时间后制作临时装片,用显微镜观察并比较其形态变化。下列叙述正确的是 A.在高于0.9%NaCl溶液中,红细胞因渗透作用失水皱缩并发生质壁分离 B.在0.9%NaCl溶液中,红细胞形态未变是由于此时没有水分子进出细胞 C.在低于0.9%NaCl溶液中,红细胞因渗透作用吸水膨胀甚至有的破裂 D.渗透作用是指水分子从溶液浓度较高处向溶液浓度较低处进行的扩散9.(2019浙江4月选考·10)为研究酶的特性,进行了实验,基本过程如下表所示: 据此分析,下列叙述错误的是 A.实验的可变因素是催化剂的种类 B.可用产生气泡的速率作检测指标 C.该实验能说明酶的作用具有高效性 D.不能用鸡肝匀浆代替马铃薯匀浆进行实验10.(2019浙江4月选考·15)将豌豆根部组织浸在溶液中达 到离子平衡后,测得有关数据如下表: 下列叙述正确的是 A.溶液通氧状况与根细胞吸收Mg2+的量无关 B.若不断提高温度,根细胞吸收HPO -的量会不断增加 2 4 C.若溶液缺氧,根细胞厌氧呼吸产生乳酸会抑制NO -的吸收 3 D.细胞呼吸电子传递链阶段产生的大量ATP可为吸收离子供能11.(2019浙江4月选考·27)生物利用 的能源物质主要是糖类和油脂,油脂的氧原子含量较糖类中的少而氢的含量多。可用一定时间内生物产生 CO 的摩尔数与消耗O 的摩尔数的比值来大致推测细胞呼吸底物的种类。下列叙述错误的是 2 2 A.将果蔬储藏于充满氮气的密闭容器中,上述比值低于1 B.严重的糖尿病患者与其正常时相比,上述比值会降低 C.富含油脂的种子在萌发初期,上述比值低于1 D.某动物以草为食,推测上述比值接近1【2018年】1.(2018北京卷,1)细胞膜的选择透过性保证了细胞内相对稳定的微环境。下列物质中,以(自由)扩 散方式通过细胞膜的是( ) A.Na+ B.二氧化碳 C.RNA D.胰岛素 2.(2018海南卷,6)将水稻幼苗培养在含MgSO 的培养液中,一段时间后,发现营养液中Mg2+和SO 2- 4 4 的含量下降,下列叙述不合理的是( ) A.Mg2+通过自由扩散进入根细胞 B.MgSO 必须溶解在水中才能被根吸收 4 C.根吸收的Mg2+可以参与叶绿素的形成 D.降低温度会影响水稻根系对Mg2+的吸收 3.(2018全国Ⅰ卷,3)下列有关植物根系吸收利用营养元素的叙述,错误的是( ) A.在酸性土壤中,小麦可吸收利用土壤中的N 和NO - 2 3 B.农田适时松土有利于农作物根细胞对矿质元素的吸收 C.土壤微生物降解植物秸秆产生的无机离子可被根系吸收 D.给玉米施肥过多时,会因根系水分外流引起“烧苗”现象 4.(2018全国Ⅲ卷,3)神经细胞处于静息状态时,细胞内外K+和Na+的分布特征是( ) A.细胞外K+和Na+浓度均高于细胞内 B.细胞外K+和Na+浓度均低于细胞内 C.细胞外K+浓度高于细胞内,Na+相反 D.细胞外K+浓度低于细胞内,Na+相反 5.(2018全国Ⅱ卷,2)下列有关物质跨膜运输的叙述,正确的是( ) A.巨噬细胞摄入病原体的过程属于协助扩散 B.固醇类激素进入靶细胞的过程属于主动运输 C.神经细胞受到刺激时产生的Na+内流属于被动运输 D.护肤品中的甘油进入皮肤细胞的过程属于主动运输 6.(2018浙江卷,10)ATP是细胞中的能量通货,下列叙述正确的是( ) A.ATP中的能量均来自细胞呼吸释放的能量 B.ATP-ADP循环使得细胞储存了大量的ATP C.ATP水解形成ADP时释放能量和磷酸基团 D.ATP分子中的2个高能磷酸键不易断裂水解 7.(2018浙江卷,17)在观察某植物细胞的质壁分离及质壁分离复原实验中,依次观察到的结果示意图如下,其中①、②指细胞结构。下列叙述正确的是( ) A.甲状态时不存在水分子跨膜运输进出细胞的现象 B.甲→乙变化的原因之一是结构①的伸缩性比②的要大 C.乙→丙的变化是由于外界溶液浓度小于细胞液浓度所致 D.细胞发生渗透作用至丙状态,一段时间后该细胞会破裂 8.(2018北京卷,3)光反应在叶绿体类囊体上进行。在适宜条件下,向类囊体悬液中加入氧化还原指示 剂DCIP,照光后DCIP由蓝色逐渐变为无色。该反应过程中( ) A.需要ATP提供能量 B.DCIP被氧化 C.不需要光合色素参与 D.会产生氧气 9.(2018海南卷,4)高等植物细胞中,下列过程只发生在生物膜上的是( ) A.光合作用中的光反应 B.光合作用中CO 的固定 2 C.葡萄糖分解产生丙酮酸 D.以DNA为模板合成RNA 10.(2018江苏卷,18)如图为某一植物在不同实验条件下测得的净光合速率,下列假设条件中能使图中 结果成立的是( )A.横坐标是CO 浓度,甲表示较高温度,乙表示较低温度 2 B.横坐标是温度,甲表示较高CO 浓度,乙表示较低CO 浓度 2 2 C.横坐标是光波长,甲表示较高温度,乙表示较低温度 D.横坐标是光照强度,甲表示较高CO 浓度,乙表示较低CO 浓度 2 2 11.(2018全国Ⅲ卷,5)下列关于生物体中细胞呼吸的叙述,错误的是( ) A.植物在黑暗中可进行有氧呼吸也可进行无氧呼吸 B.食物链上传递的能量有一部分通过细胞呼吸散失 C.有氧呼吸和无氧呼吸的产物分别是葡萄糖和乳酸 D.植物光合作用和呼吸作用过程中都可以合成ATP 12.(2018全国Ⅱ卷,4)有些作物的种子入库前需要经过风干处理,与风干前相比,下列说法错误的是 ( ) A.风干种子中有机物的消耗减慢 B.风干种子上微生物不易生长繁殖 C.风干种子中细胞呼吸作用的强度高 D.风干种子中结合水与自由水的比值大 13.(2018天津卷,5)为探究酵母菌的呼吸方式,在连通CO 和O 传感器的100mL锥形瓶中,加入 2 2 40mL活化酵母菌和60mL葡萄糖培养液,密封后在最适温度下培养。培养液中O 和CO 相对含量变化见 2 2 下图。有关分析错误的是( )A.t→t,酵母菌的有氧呼吸速率不断下降 1 2 B.t 时,培养液中葡萄糖的消耗速率比t 时快 3 1 C.若降低10℃培养,O 相对含量达到稳定所需时间会缩短 2 D.实验后的培养液滤液加入适量酸性重铬酸钾溶液后变成灰绿色 【2017年】 1.(2017年海南卷,9)为研究植物细胞质壁分离现象,某同学将某植物的叶表皮放入一定浓度的甲物质 溶液中,一段时间后观察到叶表皮细胞发生了质壁分离现象。下列说法错误的是( ) A.该植物的叶表皮细胞是具有液泡的活细胞 B.细胞内甲物质的浓度高于细胞外甲物质的浓度 C.细胞液中的HO可以经扩散进入甲物质溶液中 2 D.甲物质和HO能自由通过该叶表皮细胞的细胞壁 2 2.(2017年海南卷,6)将生长状态一致的某种植物幼苗分成甲、乙两组,分别移入适宜的营养液中在光 下培养,并给甲组的营养液适时通入空气,乙组不进行通气处理。一定时间后测得甲组的根对a离子的吸 收速率远大于乙组的。关于这一实验现象,下列说法错误的是( ) A.给营养液通入空气有利于该植物的生长 B.根细胞对a离子的吸收过程属于自由扩散 C.根细胞对a离子的吸收过程有能量的消耗 D.根细胞的有氧呼吸有利于根对a离子的吸收 3.(2017年江苏卷,22)下图为植物光合作用同化物蔗糖在不同细胞间运输、转化过程的示意图。下列 相关叙述错误的是( )A.蔗糖的水解有利于蔗糖顺浓度梯度运输 B.单糖逆浓度梯度转运至薄壁细胞 C.ATP生成抑制剂会直接抑制图中蔗糖的运输 D.蔗糖可通过单糖转运载体转运至薄壁细胞 4.(2017年新课标Ⅱ卷,4)将某种植物的成熟细胞放入一定浓度的物质A溶液中,发现其原生质体 (即植物细胞中细胞壁以内的部分)的体积变化趋势如图所示。下列叙述正确的是( ) A.0~4 h内物质A没有通过细胞膜进入细胞内 B.0~1 h内细胞体积与原生质体体积的变化量相等 C.2~3 h内物质A溶液的渗透压小于细胞液的渗透压 D.0~1 h内液泡中液体的渗透压大于细胞质基质的渗透压 5.(2017年新课标Ⅱ卷,3)下列关于生物体中酶的叙述,正确的是( ) A.在细胞中,核外没有参与DNA合成的酶 B.由活细胞产生的酶在生物体外没有催化活性 C.从胃蛋白酶的提取液中沉淀该酶可用盐析的方法 D.唾液淀粉酶催化反应最适温度和保存温度是37 ℃ 6.(2017年江苏卷,17)为了探究一种新型碱性纤维素酶的去污效能,研究性学习小组进行了相关实验, 结果如下图。由图中实验结果能直接得出的结论是( )A.碱性纤维素酶对污布类型2的去污力最强 B.不同类型洗衣粉影响碱性纤维素酶的去污力 C.碱性纤维素酶对污布类型2、3的去污力不同 D.加大酶用量可以显著提高洗衣粉的去污力 7.(2017年海南卷,5)关于生物体内能量代谢的叙述,正确的是( ) A.淀粉水解成葡萄糖时伴随有ATP的生成 B.人体大脑活动的能量主要来自脂肪的有氧氧化 C.叶肉细胞中合成葡萄糖的过程是需要能量的过程 D.硝化细菌主要从硝酸还原成氨的过程中获取能量 8.(2017年海南卷,7)下列有关植物细胞呼吸作用的叙述,正确的是( ) A.分生组织细胞的呼吸速率通常比成熟组织细胞的小 B.若细胞既不吸收O 也不放出CO,说明细胞已停止无氧呼吸 2 2 C.适当降低氧浓度可降低果实的有氧呼吸进而减少有机物的消耗 D.利用葡萄糖进行有氧呼吸时,吸收O 与释放CO 的摩尔数不同 2 2 9.(2017年海南卷,8)某染料(氧化型为无色,还原型为红色)可用于种子生活力的鉴定。某同学将吸 胀的小麦种子平均分成甲、乙两组,并进行染色实验来了解种子的生活力,结果如表所示。 分组 甲组 乙组 处理 种子与染料混合保温 种子煮沸后与染料混合保温 结果 种子中的胚呈红色 种子中的胚未呈红色 下列叙述错误的是( ) A.甲组的胚发生了氧化还原反应 B.呼吸作用产生的NADH使染料变成红色 C.乙组胚细胞膜上的载体蛋白能将染料运出细胞 D.种子中胚细胞代谢活动的强弱会影响染色效果10.(2017年海南卷,10)将叶绿体悬浮液置于阳光下,一段时间后发现有氧气放出。下列相关说法正确 的是( ) A.离体叶绿体在自然光下能将水分解产生氧气 B.若将叶绿体置于红光下,则不会有氧气产生 C.若将叶绿体置于蓝紫光下,则不会有氧气产生 D.水在叶绿体中分解产生氧气需要ATP提供能量 11.(2017年新课标Ⅲ卷,3)植物光合作用的作用光谱是通过测量光合作用对不同波长光的反应(如O 2 的释放)来绘制的。下列叙述错误的是( ) A.类胡萝卜素在红光区吸收的光能可用于光反应中ATP的合成 B.叶绿素的吸收光谱可通过测量其对不同波长光的吸收值来绘制 C.光合作用的作用光谱也可用CO 的吸收速率随光波长的变化来表示 2 D.叶片在640~660 nm波长光下释放O 是由叶绿素参与光合作用引起的 2 12.(2017年北京卷,2)某植物光合作用、呼吸作用与温度的关系如图。据此,对该植物生理特性理解 错误的是( ) A.呼吸作用的最适温度比光合作用的高 B.净光合作用的最适温度约为25 ℃ C.在0~25 ℃范围内,温度变化对光合速率的影响比对呼吸速率的大 D.适合该植物生长的温度范围是10~50 ℃ 13.(2017年天津卷,6)某突变型水稻叶片的叶绿素含量约为野生型的一半,但固定CO 酶的活性显著 2 高于野生型。下图显示两者在不同光照强度下的CO 吸收速率。叙述错误的是( ) 2A.光照强度低于P时,突变型的光反应强度低于野生型 B.光照强度高于P时,突变型的暗反应强度高于野生型 C.光照强度低于P时,限制突变型光合速率的主要环境因素是光照强度 D.光照强度高于P时,限制突变型光合速率的主要环境因素是CO 浓度 2 14.(2017年新课标Ⅱ卷,29)下图是表示某植物叶肉细胞光合作用和呼吸作用的示意图。 据图回答下列问题: (1)图中①、②、③、④代表的物质依次是_______________________、_______________________、 _______________________、_________________,[H]代表的物质主要是_________________。 (2)B代表一种反应过程,C代表细胞质基质,D代表线粒体,则ATP合成发生在A过程,还发生在 _________________(填“B和C”“C和D”或“B和D”)。 (3)C中的丙酮酸可以转化成酒精,出现这种情况的原因是_________________。 【2016年】 1.(2016上海卷.3)将紫色洋葱鳞叶外表皮细胞置于30%蔗糖溶液数分钟后,结果如图1所示,紫色分部 的区域和影响色素分布的结构分别是A.①和细胞膜 B.①和细胞膜、液泡膜 C.②和细胞膜、液泡膜 D.②和细胞膜、液泡膜、细胞壁 2.(2016海南卷.1)下列关于膜蛋白和物质跨膜运输的叙述,错误的是 A.膜蛋白在细胞膜上的分布是不对称的 B.膜蛋白不参与物质跨膜运输的被动运输过程 C.主动运输可以使被运输离子在细胞内外浓度不同 D.物质通过脂质双分子层的扩散速率与脂溶性有关 3.(2016海南卷.5)下列属于主动运输的是 A.动物肺泡细胞释放CO 2 B.蔗糖通过植物细胞的细胞壁 C.苯分子进入人的皮肤细胞 D.丽藻细胞吸收SO 2-的过程 4 4.(2016课标1卷.2)离子泵是一张具有ATP水解酶活性的载体蛋白,能利用水解ATP释放的能量跨膜运 输离子。下列叙述正确的是 A. 离子通过离子泵的跨膜运输属于协助扩散 B. 离子通过离子泵的跨膜运输是顺着浓度阶梯进行的 C. 动物一氧化碳中毒会降低离子泵跨膜运输离子的速率 D. 加入蛋白质变性剂会提高离子泵跨膜运输离子的速率 5.(2016江苏卷.2)下列关于生物膜透性的叙述,正确的是 A.核糖体合成的分泌蛋白能够自由透过高尔基体膜 B.细胞质中合成的光合作用相关蛋白须通过内质网输入叶绿体 C.子叶细胞中包被脂肪颗粒的膜对葡萄糖具有选择透性 D.细胞外高浓度的超氧化物歧化酶可以自由扩散进入细胞 6.(2016江苏卷.6)右图为一种溶质分子跨膜运输的示意图。下列相关叙述错误的是A.载体①逆浓度运输溶质分子 B.载体②具有ATP酶活性 C.载体①和②转运方式不同 D.载体②转运溶质分子的速率比自由扩散快 7.(2016浙江卷.1)当人体血糖浓度偏高时,质膜中的某种葡萄糖载体可将葡萄糖转运至肝细胞内,血糖浓 度偏低时则转运方向相反。下列叙述正确的是 A.该载体在血糖浓度偏低时的转运需要消耗ATP B.转运速率随血糖浓度升高不断增大 C.转运方向不是由该载体决定的 D.胰岛素促进葡萄糖运出肝细胞 8.(2016北京卷.1)将与生物学有关的内容依次填入下图各框中,其中包含关系错误的选项是 框号 1 2 3 4 5 选项 A 组成细胞的化合物 有机物 无机物 水 无机盐 B 人体细胞的染色体 常染色体 性染色体 X染色体 Y染色体 协助(易化)扩 C 物质跨膜运输 主动运输 被动运输 自由扩散 散 D 有丝分裂 分裂期 分裂间期 染色单体分离 同源染色体分离 9.(2016上海卷.20)下列化学反应属于水解反应的是 ①核酸→核苷酸②葡萄糖→丙酮酸③ATP→ADP A.①② B.①③ C.②③ D.①②③ 10.(2016海南卷.3)下列有关生物膜上蛋白质或酶的叙述,错误的是 A.植物根细胞膜上存在运输离子的蛋白质 B.植物叶肉细胞中液泡膜与类囊体膜上的蛋白质不同C.光合作用中,催化ATP合成的酶分布在类囊体膜上 D.呼吸作用中,催化ATP合成的酶分布在线粒体外膜上 11.(2016海南卷.11)下列有关植物细胞能量代谢的叙述,正确的是 A.含有两个高能磷酸键的ATP是DNA人基本组成单位之一 B.加入呼吸抑制剂可使细胞中ADP生成减少,ATP生成增加 C.无氧条件下,丙酮酸转变为酒精的过程中伴随有ATP的合成 D.光下叶肉细胞的细胞质基质、线粒体和叶绿体中都有ATP合成 12.(2016江苏卷.8)过氧化物酶能分解HO,氧化焦性没食子酸呈橙黄色。为探究白菜梗中是否存在过氧 2 2 化物酶,设计实验如下表。下列相关叙述正确的是 过氧化物 1%焦性没 2% / 白菜梗提 煮沸冷却后的白 管号 缓冲液/mL 酶溶液/ 食子酸/mL mL 取液/mL 菜梗提取液/mL mL 1 2 2 2 - - - 2 2 2 - 2 - - 3 2 2 - - 2 - A.1号管 4 2 2 - - - 2 为对照 组,其余不都是实验组 B.2号管为对照组,其余都为实验组 C.若3号管显橙红色,无需对照就能证明白菜梗中存在过氧化物酶 D.若4号管不显橙红色,可明白菜梗中无氧化物酶 13.(2016课标1卷.3)若除酶外所有试剂均已预保温,则在测定酶活力的试验中,下列操作顺序合理的是 A.加入酶→加入底物→加入缓冲液→保温并计时→一段时间后检测产物的量 B. 加入底物→加入酶→计时→加入缓冲液→保温→一段时间后检测产物的量 C. 加入缓冲液→加入底物→加入酶→保温并计时→一段时间后检测产物的量 D. 加入底物→计时→加入酶→加入缓冲液→保温并计时→一段时间后检测产物的量 14.(2016课标1卷.4) 下列与神经细胞有关的叙述,错误的是 A. ATP能在神经元线粒体的内膜上产生 B. 神经递质在突触间隙中的移动消耗ATP C. 突触后膜上受体蛋白的合成需要消耗ATP D. 神经细胞兴奋后恢复为静息状态消耗ATP 15.(2016北京卷.2) 葡萄酒酿制期间,酵母细胞内由ADP转化为ATP的过程A. 在无氧条件下不能进行 B. 只能在线粒体中进行 C. 不需要能量的输入 D. 需要酶的催化 16.(2016上海卷.15)人骨骼肌内的白肌细胞含少量线粒体,适合无氧呼吸、进行剧烈运动。白肌细胞内 葡萄糖氧化分解的产物有 ①酒精②乳酸③CO④H O ⑤ATP 2 2 A.①③⑤B.②④⑤ C.①③④⑤D.②③④⑤ 17.(2016上海卷.20)下列化学反应属于水解反应的是 ①核酸→核苷酸②葡萄糖→丙酮酸③ATP→ADP A.①② B.①③ C.②③ D.①②③ 18.(2016上海卷.22)氨基酸在细胞内氧化分解的部分过程如图7,其中过程X和分解产物Z分别是 A.脱氨基;CO、HO和 ATP 2 2 B.脱氨基;CO、HO和尿素 2 2 C.转氨基;CO、HO和 ATP 2 2 D.转氨基;CO、HO和尿素 2 2 19.(2016上海卷.24)在光合作用的光反应中 A.电子受体是水 B.电子供体是NADPH C.反映场所位于叶绿体膜 D.H+浓度差驱动ATP合成 20.(2016海南卷.10)下列叙述错误的是 A.温度和光照会影响CO 的同化速率 2 B.光合作用中O 的产生发生在光反应阶段 2 C.光反应产生的ATP和NADPH不参与暗反应 D.土壤中的硝化细菌可利用CO 和HO合成糖 2 2 21.(2016海南卷.11)下列有关植物细胞能量代谢的叙述,正确的是 A.含有两个高能磷酸键的ATP是DNA人基本组成单位之一B.加入呼吸抑制剂可使细胞中ADP生成减少,ATP生成增加 C.无氧条件下,丙酮酸转变为酒精的过程中伴随有ATP的合成 D.光下叶肉细胞的细胞质基质、线粒体和叶绿体中都有ATP合成 22.(2016天津卷.2)在适宜反应条件下,用白光照射离体的新鲜叶绿体一段时间后,突然改用光照强度与 白光相同的红光或绿光照射。下列是光源与瞬间发生变化的物质,组合正确的是 A.红光,ATP下降 B.红光,未被还原的C 上升 3 B.绿光,[H]下降 D.绿光,C 上升 5 23.(2016新课标2卷.4)关于高等植物叶绿体中色素的叙述,错误的是 A.叶绿体中的色素能够溶解在有机溶剂乙醇中 B.构成叶绿素的镁可以由植物的根从土壤中吸收 C.通常,红外光和紫外光可被叶绿体中的色素吸收用于光合作用 D.黑暗中生长的植物幼苗叶片呈黄色是由于叶绿素合成受阻引起的 24.(2016北京卷.2) 葡萄酒酿制期间,酵母细胞内由ADP转化为ATP的过程 A. 在无氧条件下不能进行 B. 只能在线粒体中进行 C. 不需要能量的输入 D. 需要酶的催化 25.(2016四川卷.1) 叶内细胞内的下列生理过程,一定在生物膜上进行的是 A.O 的产生 B.HO生成 C.[H]的消耗 D.ATP的合成 2 2 26.(2016四川卷.5)三倍体西瓜由于含糖量高且无籽,备受人们青睐。下图是三倍体西瓜叶片净光合速率 (以CO 吸收速率表示)与胞间CO 浓度(Ci)的日变化曲线,以下分析正确的是 2 2 A.与11:00时相比,13:00时叶绿体中合成C 的速率相对较高 3 B.14:00后叶片的Pn下降,导致植株积累有机物的量开始减少 C.17:00后叶片的Ci快速上升,导致叶片暗反应速率远高于光反应速率D.叶片的Pn先后两次下降,主要限制因素分别是CO 浓度和光照强度 2 27.(2016北京卷.5)在正常与遮光条件下向不同发育时期的豌豆植株供应14CO,48h后测定植株营养器官 2 和生殖器官中14C的量。两类器官各自所含14C量占植株14C总量的比例如图所示。 与本实验相关的错误叙述是 A. 14CO 进入叶肉细胞的叶绿体基质后被转化为光合产物 2 B. 生殖器官发育早期,光合产物大部分被分配到营养器官 C. 遮光70%条件下,分配到生殖器官和营养器官中的光合产物量始终接近 D. 实验研究了光强对不同发育期植株中光合产物在两类器官间分配的影响 28.(2016课标1卷.1) 下列与细胞相关的叙述,正确的是 A. 核糖体、溶酶体都是具有膜结构的细胞器 B. 酵母菌的细胞核内含有DNA和RNA两类核酸 C. 蓝藻细胞的能量来源于其线粒体有氧呼吸过程 D. 在叶绿体中可进行CO 的固定但不能合成ATP 2 【2015年】 1.(2015年海南卷.3)ATP是直接为细胞生命活动提供能量的有机物。关于ATP的叙述,错误的是( ) A.酒精发酵过程中有ATP生成 B.ATP可为物质跨膜运输提供能量 C.ATP中高能磷酸键水解可释放能量 D.ATP由腺嘌呤、脱氧核糖和磷酸组成 2.(2015年海南卷.4)关于生物体产生的酶的叙述,错误的是( ) A.酶的化学本质是蛋白质或RNA B.脲酶能够将尿素分解成氨和CO 2 C.蛋白酶和淀粉酶都属于水解酶类 D.纤维素酶能够降解植物细胞壁和细菌细胞壁 3.(2015年海南卷.15)关于人体内激素和酶的叙述,错误的是( ) A.激素的化学本质都是蛋白质 B.高效性是酶的重要特性之一 C.酶可以降低化学反应的活化能 D.激素与靶细胞结合可影响细胞的代谢4.(2015年福建卷.3)在光合作用中,RuBP羧化酶能催化CO+C (即RuBP)→2C 。为测定RuBP羧化 2 5 3 酶的活性,某学习小组从菠菜叶中提取该酶,用其催化C 与14CO 的反应,并检测产物14C 的放射性强度。 5 2 3 下列分析错误的是( ) A.菠菜叶肉细胞内BuBP羧化酶催化上述反应的场所是叶绿体基质 B.RuBP羧化酶催化的上述反应需要在无光条件下进行 C.测定RuBP羧化酶活性的过程中运用了同位素标记法 D.单位时间内14C 生成量越多说明RuBP羧化酶活性越高 3 5.(2015年江苏卷.7)下列关于酶的叙述,正确的是( ) A. 发烧时,食欲减退是因为唾液淀粉酶失去了活性 B. 口服多酶片中的胰蛋白酶可在小肠中发挥作用 C. 用果胶酶澄清果汁时,温度越低澄清速度越快 D. 洗衣时,加少许白醋能增强加酶洗衣粉中酶的活性 6.(2015年广东卷.6)以下选项正确的是 ( ) 7.(2015年上海卷.11)葡萄糖的无氧分解过程中,选项中各产物出现的先后顺序正确的是( ) ①酒精 ②CO ③HO ④ATP ⑤乳酸 ⑥H+ ⑦丙酮酸 2 2 A.⑥⑦⑤① B.③②①⑤ C.④⑦②① D.③④②⑤ 8.(2015年上海卷.14)下列细胞中,其无氧呼吸过程会以乳酸为主要产物的是( ) A.密闭塑料袋中苹果的细胞 B.用于制作酒精的酵母菌 C.剧烈奔跑时的马骨骼肌细胞 D.浇水过多的青菜根部细胞 9.(2015年上海卷.21)从新鲜的菠菜叶片提取叶绿体色素,发现提取液明显偏黄绿色,最可能的原因是 ( ) A.加入的石英砂太多 B.没有加入碳酸钙 C.用脱脂棉过滤不彻底 D.一次加入过多无水乙醇10.(2015年上海卷.28)以下4支试管置于适合的温度下,经过一定时间后能产生ATP的是( ) 11.(2015年安徽卷.2)下图为大豆叶片光合作用暗反应阶段的示意图,下列叙述正确的是 A.CO 的固定实质上是将ATP中的化学能转化为C 中的化学能 2 5 B.CO 可直接被[H]还原,再经过一系列的变化形成糖类 2 C.被还原的C 在有关酶的作用下,可再形成C 3 5 D.光照强度由强变弱时,短时间内C 含量会升高 5 12.(2015年海南卷.24)将一株生长正常的某种植物里于密闭的玻璃容器内,在适宜条件下光照培养。从 照光开始,净光合速率随着时间延长逐渐下降直至为0。之后保持不变。在上述整时间段内,玻璃容器内 CO 浓度表现出的变化趋势是( ) 2 A.降低至一定水平时再升高 B.持续保持相对稳定状态 C.降低至一定水平时保持不变 D.升高至一定水平时保持相对稳定 13.(2015年海南卷.9)植物甲与植物乙的净光合速率随叶片温度(叶温)变化的趋势如图所示。错误的 是( ) A.植物甲和乙光合作用所需要的能量都来自于太阳能 B.叶温在36~50℃时,植物甲的净光合速率比植物乙的高 C.叶温为25℃时,植物甲的光合与呼吸作用强度的差值不同于植物乙的 D.叶温为35℃时,甲、乙两种植物的光合与呼吸作用强度的差值均为0 14.(2015年福建卷.3)在光合作用中,RuBP羧化酶能催化CO+C (即RuBP)→2C 。为测定RuBP羧 2 5 3化酶的活性,某学习小组从菠菜叶中提取该酶,用其催化 C 与14CO 的反应,并检测产物14C 的放射性强 5 2 3 度。下列分析错误的是( ) A.菠菜叶肉细胞内BuBP羧化酶催化上述反应的场所是叶绿体基质 B.RuBP羧化酶催化的上述反应需要在无光条件下进行 C.测定RuBP羧化酶活性的过程中运用了同位素标记法 D.单位时间内14C 生成量越多说明RuBP羧化酶活性越高 3 15.( 2015年四川卷.4)在适宜温度和大气CO 浓度条件下,测得某森林中林冠层四种主要乔木的幼苗叶片 2 的生理指标(见下表)。下列分析正确的是( ) A.光强大于140μmol·m-2·s-1,马尾松幼苗叶肉细胞中产生的O 全部进入线粒体 2 B.光强小于1255μmol·m-2·s-1,影响苦储幼苗光合速率的环境因素是CO 浓度 2 C.森林中生产者积累有机物的能量总和,即为输入该生态系统的总能量 D.在群落演替过程中,随着林冠密集程度增大青冈的种群密度将会增加 16.( 2015年重庆卷.4)将题4图所示细胞置于密闭容器中培养。在不同光照强度下细胞内外的CO 和O 浓 2 2 度在短时间内发生了相应变化。下列叙述错误的是( ) A.黑暗条件下,①增大、④减小 B.光强低于光补偿点时,①、③增大 C.光强等于光补偿点时,②、③保持不变 D.光强等于光饱和点时,②减小、④增大 【2014年】 1.[2014·全国卷] ATP是细胞中重要的高能磷酸化合物。下列有关ATP的叙述,错误的是( ) A.线粒体合成的ATP可在细胞核中发挥作用B.机体在运动时消耗ATP,睡眠时则不消耗ATP C.在有氧与缺氧的条件下细胞质基质中都能形成ATP D.植物根细胞吸收矿质元素离子所需的ATP来源于呼吸作用 2. [2014·重庆卷] 如图为乙醇在人体内主要的代谢过程。下列相关叙述,正确的是( ) 乙醇――→乙醛氧化,F乙酸 CO、HO 2 2 A.乙醇转化为乙酸发生的氧化反应,均由同一种氧化酶催化 B.体内乙醇浓度越高,与乙醇分解相关的酶促反应速率越快 C.乙醇经代谢产生的[H]可与氧结合生成水,同时释放能量 D.正常生理情况下,人体分解乙醇的速率与环境温度呈正相关 3.[2014·四川卷] 在生物体内,下列生理活动只能单向进行的是( ) A.质壁分离过程中水分子的扩散 B.生长素在胚芽鞘中的极性运输 C.肝细胞中糖原与葡萄糖的转化 D.活细胞内ATP与ADP的转化 4.[2014·山东卷] 下列有关实验操作的描述,正确的是( ) A.鉴定待测样液中的蛋白质时,先加NaOH溶液,振荡后再加CuSO 溶液 4 B.制作细胞的有丝分裂装片时,洋葱根尖解离后直接用龙胆紫溶液染色 C.低温诱导染色体加倍实验中,将大蒜根尖制成装片后再进行低温处理 D.探究温度对酶活性的影响时,将酶与底物溶液在室温下混合后于不同温度下保温 5.[2014·福建卷] 用蛋白酶去除大肠杆菌核糖体的蛋白质,处理后的核糖体仍可催化氨基酸的脱水缩合反 应。由此可推测核糖体中能催化该反应的物质是( ) A.蛋白酶 B.RNA聚合酶 C.RNA D.逆转录酶 6.[2014·江苏卷] 下列生命活动中不需要ATP提供能量的是( ) A.叶肉细胞合成的糖运输到果实 B.吞噬细胞吞噬病原体的过程 C.淀粉酶催化淀粉水解为葡萄糖 D.细胞中由氨基酸合成新的肽链 7.[2014·海南卷] 下列物质中,能够直接给细胞生命活动提供能量的是( ) A.脂肪 B.钙离子 C.糖 D.ATP8.[2014·新课标全国卷Ⅰ] 下列关于植物细胞质壁分离实验的叙述,错误的是( ) A.与白色花瓣相比,采用红色花瓣有利于实验现象的观察 B.用黑藻叶片进行实验时,叶绿体的存在会干扰实验现象的观察 C.用紫色洋葱鳞片叶外表皮不同部位观察到的质壁分离程度可能不同 D.紫色洋葱鳞片叶外表皮细胞的液泡中有色素,有利于实验现象的观察 9.[2014·新课标全国卷Ⅱ] 将某植物花冠切成大小和形状相同的细条,分为a、b、c、d、e和f组(每组的 细条数相等),取上述6组细条分别置于不同浓度的蔗糖溶液中,浸泡相同时间后测量各组花冠细条的长度, 结果如图所示。假如蔗糖溶液与花冠细胞之间只有水分交换,则( ) A.实验后,a组液泡中的溶质浓度比b组的高 B.浸泡导致f组细胞中液泡的失水量小于b组的 C.a组细胞在蔗糖溶液中失水或吸水所耗ATP大于b组 D.使细条在浸泡前后长度不变的蔗糖浓度介于0.4~0.5 mol·L-1之间 10.[2014·北京卷] 比较生物膜和人工膜(双层磷脂)对多种物质的通透性,结果如下图。据此不能得出的推 论是( ) A.生物膜上存在着协助HO通过的物质 2 B.生物膜对K+、Na+、Cl-的通透具有选择性C.离子以易化(协助)扩散方式通过人工膜 D.分子的大小影响其通过人工膜的扩散速率 11.[2014·四川卷] 在生物体内,下列生理活动只能单向进行的是( ) A.质壁分离过程中水分子的扩散 B.生长素在胚芽鞘中的极性运输 C.肝细胞中糖原与葡萄糖的转化 D.活细胞内ATP与ADP的转化 12.[2014·山东卷] 有关细胞内囊泡运输的描述,正确的是( ) A.细胞核内的RNA通过囊泡运输到细胞质 B.蛋白质类激素经囊泡运输分泌到细胞外 C.细胞器之间都能通过囊泡进行物质运输 D.囊泡运输依赖膜的流动性且不消耗能量 13.[2014·安徽卷] 下图为氨基酸和Na+进出肾小管上皮细胞的示意图。下表选项中正确的是( ) 选项 管腔中氨基酸→上皮细胞 管腔中Na+→上皮细胞 上皮细胞中氨基酸→组织液 A 主动运输 被动运输 主动运输 B 被动运输 被动运输 被动运输 C 被动运输 主动运输 被动运输 D 主动运输 被动运输 被动运输 14.[2014·广东卷] (双选)以下选项正确的是( )15.[2014·浙江卷] 下列关于物质出入细胞方式的叙述,正确的是( ) A.被细胞胞吞的一定是固体物质 B.突触前膜释放乙酰胆碱属于易化扩散 C.通过载体蛋白的物质转运属于主动转运 D.胞吐过程一定会发生分泌泡与质膜的融合 16.[2014·海南卷] 关于植物根系吸收矿质元素离子的叙述,正确的是( ) A.植物根系吸收各种矿质元素离子的速率相同 B.土壤温度不影响植物根系对矿质元素离子的吸收 C.植物根细胞吸收矿质元素离子主要依靠渗透作用 D.植物根细胞能逆浓度梯度吸收土壤中的矿质元素离子 17.[2014·新课标全国卷Ⅰ] 下列关于植物细胞质壁分离实验的叙述,错误的是( ) A.与白色花瓣相比,采用红色花瓣有利于实验现象的观察 B.用黑藻叶片进行实验时,叶绿体的存在会干扰实验现象的观察 C.用紫色洋葱鳞片叶外表皮不同部位观察到的质壁分离程度可能不同 D.紫色洋葱鳞片叶外表皮细胞的液泡中有色素,有利于实验现象的观察18.[2014·新课标全国卷Ⅱ] 将某植物花冠切成大小和形状相同的细条,分为 a、b、c、d、e和f组(每组的 细条数相等),取上述6组细条分别置于不同浓度的蔗糖溶液中,浸泡相同时间后测量各组花冠细条的长度, 结果如图所示。假如蔗糖溶液与花冠细胞之间只有水分交换,则( ) A.实验后,a组液泡中的溶质浓度比b组的高 B.浸泡导致f组细胞中液泡的失水量小于b组的 C.a组细胞在蔗糖溶液中失水或吸水所耗ATP大于b组 D.使细条在浸泡前后长度不变的蔗糖浓度介于0.4~0.5 mol·L-1之间 19.[2014·山东卷] 下列关于生命活动变化关系的描述,正确的是( ) A.细胞体积增大,与外界物质交换效率提高 B.细胞液浓度增大,植物细胞吸水能力减弱 C.生长素浓度升高,植物细胞生长速度加快 D.体内血浆渗透压降低,抗利尿激素释放减少 20.[2014·四川卷] 生物体的生命活动离不开水。下列关于水的叙述,错误的是( ) A.在最基本生命系统中,HO有自由水和结合水两种存在形式 2 B.由氨基酸形成多肽链时,生成物HO中的氢来自氨基和羧基 2 C.有氧呼吸时,生成物HO中的氢来自线粒体中丙酮酸的分解 2 D.HO在光下分解,产生的[H]将固定的CO 还原成(CHO) 2 2 2 21.[2014·新课标全国卷Ⅰ] 正常生长的绿藻,照光培养一段时间后,用黑布迅速将培养瓶罩上,此后绿藻 细胞的叶绿体内不可能发生的现象是( ) A.O 的产生停止 2 B.CO 的固定加快 2 C.ATP/ADP比值下降 D.NADPH/NADP+比值下降 22.[2014·北京卷] 在25 ℃的实验条件下可顺利完成的是( ) A.光合色素的提取与分离B.用斐林(本尼迪特)试剂鉴定还原糖 C.大鼠神经细胞的培养 D.制备用于植物组织培养的固体培养基 23.[2014·重庆卷] 下列与实验有关的叙述,正确的是( ) A.人的口腔上皮细胞经处理后被甲基绿染色,其细胞核呈绿色 B.剪取大蒜根尖分生区,经染色在光镜下可见有丝分裂各时期 C.叶绿体色素在层析液中的溶解度越高,在滤纸上扩散就越慢 D.在光镜的高倍镜下观察新鲜菠菜叶装片,可见叶绿体的结构 24.[2014·四川卷] 生物体的生命活动离不开水。下列关于水的叙述,错误的是( ) A.在最基本生命系统中,HO有自由水和结合水两种存在形式 2 B.由氨基酸形成多肽链时,生成物HO中的氢来自氨基和羧基 2 C.有氧呼吸时,生成物HO中的氢来自线粒体中丙酮酸的分解 2 D.HO在光下分解,产生的[H]将固定的CO 还原成(CHO) 2 2 2 25.[2014·四川卷] 下列有关实验方法或检测试剂的叙述,正确的是( ) A.用改良苯酚品红染色观察低温诱导的植物染色体数目变化 B.用健那绿和吡罗红染色观察DNA和RNA在细胞中的分布 C.用纸层析法提取菠菜绿叶中的色素和鉴定胡萝卜素提取粗品 D.用标志重捕法调查田鼠种群密度及农田土壤小动物的丰富度 26. [2014·江苏卷] 下列叙述与生物学史实相符的是( ) A.孟德尔用山柳菊为实验材料,验证了基因的分离及自由组合定律 B.范·海尔蒙特基于柳枝扦插实验,认为植物生长的养料来自土壤、水和空气 C.富兰克林和威尔金斯对DNA双螺旋结构模型的建立也做出了巨大的贡献 D.赫尔希和蔡斯用35S和32P分别标记T 噬菌体的蛋白质和DNA,证明了DNA的半保留复制 2 27.[2014·海南卷] 下列关于生长在同一植株上绿色叶片和黄绿色叶片的叙述,错误的是( ) A.两种叶片都能吸收蓝紫光 B.两种叶片中均含有类胡萝卜素 C.两种叶片的叶绿体中都含有叶绿素a D.黄绿色叶片在光反应中不会产生ATP 28.[2014·海南卷] 关于小麦光合作用的叙述,错误的是( ) A.类囊体膜上产生的ATP可用于暗反应B.夏季晴天光照最强时,小麦光合速率最高 C.进入叶绿体的CO 不能被NADPH直接还原 2 D.净光合速率长期为零时会导致幼苗停止生长 29.[2014·新课标全国卷Ⅱ] 关于光合作用和呼吸作用的叙述,错误的是( ) A.磷酸是光反应中合成ATP所需的反应物 B.光合作用中叶绿素吸收光能不需要酶的参与 C.人体在剧烈运动时所需要的能量由乳酸分解提供 D.病毒核酸的复制需要宿主细胞的呼吸作用提供能量 30.[2014·天津卷] 下图是细胞中糖类合成与分解过程示意图。下列叙述正确的是( ) (CHO)+O CO+HO+能量 2 2 2 2 A.过程①只在线粒体中进行,过程②只在叶绿体中进行 B.过程①产生的能量全部储存在ATP中 C.过程②产生的(CHO)中的氧全部来自HO 2 2 D.过程①和②中均能产生[H],二者还原的物质不同 31.[2014·四川卷] 将桑树和大豆分别单独种植(单作)或两种隔行种植(间作),测得两种植物的光合速率如 下图所示(注:光饱和点是光合速率达到最大值时所需的最低光照强度)。据图分析,下列叙述正确的是( )A.与单作相比,间作时两种植物的呼吸强度均没有受到影响 B.与单作相比,间作时两种植物光合作用的光饱和点均增大 C.间作虽然提高了桑树的光合速率但降低了大豆的光合速率 D.大豆植株开始积累有机物时的最低光照强度单作大于间作 【2013年】 1.[2013·安徽卷] 细胞代谢受酶的调节和控制。下列叙述正确的是( ) A.激素都是通过影响靶细胞内酶活性来调节细胞代谢 B.代谢的终产物可反馈调节相关酶活性,进而调节代谢速率 C.同一个体各种体细胞酶的种类相同、数量不同、代谢不同 D.对于一个细胞来说,酶的种类和数量不会发生变化 2.[2013·福建卷] 人肝细胞合成的糖原储存在细胞内,合成的脂肪不储存在细胞内,而是以VLDL(脂肪与 蛋白复合物)形式分泌出细胞外。下列叙述正确的是( ) A.VLDL的合成与核糖体无关 B.VLDL以自由扩散方式分泌出细胞外 C.肝细胞内糖原的合成与分解可影响血糖含量 D.胰高血糖素可促进肝细胞内糖原的合成 3.[2013·广东卷] 以下为某兴趣小组获得的实验结果及其分析,正确的是( )4.[2013·新课标全国卷Ⅱ] 关于酶的叙述,错误的是( ) A.同一种酶可存在于分化程度不同的活细胞中 B.低温能降低酶活性的原因是其破坏了酶的空间结构 C.酶通过降低化学反应的活化能来提高化学反应速度 D.酶既可以作为催化剂,也可以作为另一个反应的底物 5.[2013·四川卷] 下列实验所采取的措施,不涉及“降低化学反应活化能”原理的是( ) A.利用果胶酶提高水果的出汁率 B.滴加肝脏研磨液促使过氧化氢的分解 C.滴加FeCl 溶液提高过氧化氢的分解速率 3 D.利用水浴加热提高胡萝卜素的萃取效率 6.[2013·北京卷] 关于高中生物学实验的基本原理,叙述不正确的是( ) A.噬菌体须在活菌中增殖培养是因其缺乏独立的代谢系统 B.提取组织DNA是利用不同化合物在溶剂中溶解度的差异 C.成熟植物细胞在高渗溶液中发生质壁分离是因为细胞壁具有选择透(过)性 D.PCR呈指数扩增DNA片段是因为上一轮反应的产物可作为下一轮反应的模板 7.[2013·山东卷] 将小鼠myoD基因导入体外培养的未分化肌肉前体细胞,细胞分化及肌纤维形成过程如 图所示。下列叙述正确的是( ) A.携带myoD基因的载体以协助扩散的方式进入肌肉前体细胞 B.检测图中细胞核糖体蛋白基因是否表达可确定细胞分化与否 C.完成分化的肌肉细胞通过有丝分裂增加细胞数量形成肌纤维 D.肌肉前体细胞比肌肉细胞在受到电离辐射时更容易发生癌变 8.[2013·天津卷] 对下列生命现象及其生物学意义表述正确的是( ) A.光合作用推动碳循环过程,促进了生物群落中的能量循环 B.细胞分裂使细胞趋向专门化,提高了机体生理功能的效率 C.主动运输使膜内外物质浓度趋于一致,维持了细胞的正常代谢 D.细胞凋亡使细胞自主有序死亡,有利于生物体内部环境的稳定 9.[2013·浙江卷] 某哺乳动物神经细胞内外的K+和Na+浓度见下表。下列属于主动转运的是( )细胞内浓度(mmol·L-1) 细胞外浓度(mmol·L-1) K+ 140.0 3.0 Na+ 18.0 145.0 A.K+经钾离子通道排出细胞 B.K+与有关载体蛋白结合排出细胞 C.Na+经钠离子通道排出细胞 D.Na+与有关载体蛋白结合排出细胞 10.[2013·重庆卷] 下列与实验相关的叙述,错误的是( ) A.马铃薯块茎捣碎后的提取液可检测出蛋白质 B.光学显微镜可用于观察植物细胞的质壁分离现象 C.检测酵母菌培养过程中是否产生CO 可判断其呼吸方式 2 D.在95%乙醇中加入无水NaCO 后可提高色素的溶解度 2 3 11.[2013·新课标全国卷Ⅰ] 关于植物细胞通过主动运输方式吸收所需矿质元素离子的叙述,正确的是( ) A.吸收不同矿质元素离子的速率都相同 B.低温不影响矿质元素离子的吸收速率 C.主动运输矿质元素离子的过程只发生在活细胞中 D.叶肉细胞不能以主动运输方式吸收矿质元素离子 12.[2013·安徽卷] 如图为每10粒水稻种子在成熟过程中干物质和呼吸速率变化的示意图。下列分析不正确 的是( ) 开花后天数/d A.种子干物质快速积累时期,呼吸作用旺盛B.种子成熟后期自由水减少,呼吸速率下降 C.种子成熟后期脱落酸含量较高,呼吸速率下降 D.种子呼吸速率下降有利于干物质合成 13.[2013·新课标全国卷Ⅱ] 下列与微生物呼吸有关的叙述,错误的是( ) A.肺炎双球菌无线粒体,但能进行有氧呼吸 B.与细菌呼吸有关的酶由拟核中的基因编码 C.破伤风芽孢杆菌适宜生活在有氧的环境中 D.有氧和无氧时,酵母菌呼吸作用产物不同 14.[2013·重庆卷] 下列与实验相关的叙述,错误的是( ) A.马铃薯块茎捣碎后的提取液可检测出蛋白质 B.光学显微镜可用于观察植物细胞的质壁分离现象 C.检测酵母菌培养过程中是否产生CO 可判断其呼吸方式 2 D.在95%乙醇中加入无水NaCO 后可提高色素的溶解度 2 3 15.[2013·广东卷] 下表为四种不同细胞的比较结果,正确的是( ) 选项 细胞 细胞壁 光合作用 染色质 细胞全能性 A 蓝藻细胞 有 有 有 无 B 洋葱根尖细胞 有 无 有 有 C 兔成熟红细胞 无 无 有 有 D 蛙受精卵 无 无 有 有 16.[2013·广东卷] 以下为某兴趣小组获得的实验结果及其分析,正确的是( ) 17.[2013·江苏卷] 关于叶绿体中色素的提取和分离实验的操作,正确的是( )A.使用定性滤纸过滤研磨液 B.将干燥处理过的定性滤纸条用于层析 C.在划出一条滤液细线后紧接着重复划线2 ~ 3 次 D.研磨叶片时,用体积分数为70%的乙醇溶解色素 18.[2013·新课标全国卷Ⅱ] 关于叶绿素的叙述,错误的是( ) A.叶绿素a和叶绿素b都含有镁元素 B.被叶绿素吸收的光可用于光合作用 C.叶绿素a和叶绿素b在红光区的吸收峰值不同 D.植物呈现绿色是由于叶绿素能有效地吸收绿光 【2012年】 1.[2012·北京卷] 细胞中不能合成ATP的部位是( ) A.线粒体的内膜 B.叶绿体中进行光反应的膜结构 C.内质网的膜 D.蓝藻(蓝细菌)中进行光反应的膜结构 2.[2012·浙江卷] 人体肝细胞内CO 分压和K+浓度高于细胞外,而O 分压和Na+浓度低于细胞外,上述 2 2 四种物质中通过主动转运进入该细胞的是( ) A.CO B.O C.K+ D.Na+ 2 2 3.[2012·江苏卷] 图3表示细胞呼吸作用的过程,其中1~3 代表有关生理过程发生的场所,甲、乙代表有 关物质。下列相关叙述正确的是( ) 图3 A.1 和3 都具有双层生物膜 B.1 和2 所含酶的种类不同 C.2 和3 都能产生大量ATP D.甲、乙分别代表丙酮酸、[H] 4.[2012·山东卷] 夏季晴朗的一天,甲乙两株同种植物在相同条件下CO 吸收速率的变化如图所示。下列 2 说法正确的是( )A.甲植株在a点开始进行光合作用 B.乙植株在e点有机物积累量最多 C.曲线b~c段和d~e段下降的原因相同 D.两曲线b~d段不同的原因可能是甲植株气孔无法关闭 5.[2012·天津卷] 设置不同CO 浓度,分组光照培养蓝藻,测定净光合速率和呼吸速率(光合速率=净光合 2 速率+呼吸速率),结果见下图。据图判断,下列叙述正确的是( ) A.与d 浓度相比,d 浓度下单位时间内蓝藻细胞光反应生成的[H]多 3 1 B.与d 浓度相比,d 浓度下单位时间内蓝藻细胞呼吸过程产生的ATP多 2 3 C.若d、d、d 浓度下蓝藻种群的K值分别为K、K、K,则K>K >K 1 2 3 1 2 3 1 2 3 D.密闭光照培养蓝藻,测定种群密度及代谢产物即可判断其是否为兼性厌氧生物 6.[2012·福建卷] 下列有关豌豆的叙述,正确的是( ) A.萌发初期,种子的有机物总重量增加 B.及时排涝,能防止根细胞受酒精毒害 C.进入夜间,叶肉细胞内ATP合成停止 D.叶片黄化,叶绿体对红光的吸收增多