当前位置:首页>文档>特训14同构思想在解析几何的应用(五大题型)(解析版)_02高考数学_2025年新高考资料_一轮复习_2025年高考数学一轮复习《重难点题型与知识梳理•高分突破》(新高考专用)

特训14同构思想在解析几何的应用(五大题型)(解析版)_02高考数学_2025年新高考资料_一轮复习_2025年高考数学一轮复习《重难点题型与知识梳理•高分突破》(新高考专用)

  • 2026-04-29 00:27:16 2026-04-29 00:27:16

文档预览

特训14同构思想在解析几何的应用(五大题型)(解析版)_02高考数学_2025年新高考资料_一轮复习_2025年高考数学一轮复习《重难点题型与知识梳理•高分突破》(新高考专用)
特训14同构思想在解析几何的应用(五大题型)(解析版)_02高考数学_2025年新高考资料_一轮复习_2025年高考数学一轮复习《重难点题型与知识梳理•高分突破》(新高考专用)
特训14同构思想在解析几何的应用(五大题型)(解析版)_02高考数学_2025年新高考资料_一轮复习_2025年高考数学一轮复习《重难点题型与知识梳理•高分突破》(新高考专用)
特训14同构思想在解析几何的应用(五大题型)(解析版)_02高考数学_2025年新高考资料_一轮复习_2025年高考数学一轮复习《重难点题型与知识梳理•高分突破》(新高考专用)
特训14同构思想在解析几何的应用(五大题型)(解析版)_02高考数学_2025年新高考资料_一轮复习_2025年高考数学一轮复习《重难点题型与知识梳理•高分突破》(新高考专用)
特训14同构思想在解析几何的应用(五大题型)(解析版)_02高考数学_2025年新高考资料_一轮复习_2025年高考数学一轮复习《重难点题型与知识梳理•高分突破》(新高考专用)
特训14同构思想在解析几何的应用(五大题型)(解析版)_02高考数学_2025年新高考资料_一轮复习_2025年高考数学一轮复习《重难点题型与知识梳理•高分突破》(新高考专用)
特训14同构思想在解析几何的应用(五大题型)(解析版)_02高考数学_2025年新高考资料_一轮复习_2025年高考数学一轮复习《重难点题型与知识梳理•高分突破》(新高考专用)
特训14同构思想在解析几何的应用(五大题型)(解析版)_02高考数学_2025年新高考资料_一轮复习_2025年高考数学一轮复习《重难点题型与知识梳理•高分突破》(新高考专用)
特训14同构思想在解析几何的应用(五大题型)(解析版)_02高考数学_2025年新高考资料_一轮复习_2025年高考数学一轮复习《重难点题型与知识梳理•高分突破》(新高考专用)
特训14同构思想在解析几何的应用(五大题型)(解析版)_02高考数学_2025年新高考资料_一轮复习_2025年高考数学一轮复习《重难点题型与知识梳理•高分突破》(新高考专用)
特训14同构思想在解析几何的应用(五大题型)(解析版)_02高考数学_2025年新高考资料_一轮复习_2025年高考数学一轮复习《重难点题型与知识梳理•高分突破》(新高考专用)
特训14同构思想在解析几何的应用(五大题型)(解析版)_02高考数学_2025年新高考资料_一轮复习_2025年高考数学一轮复习《重难点题型与知识梳理•高分突破》(新高考专用)
特训14同构思想在解析几何的应用(五大题型)(解析版)_02高考数学_2025年新高考资料_一轮复习_2025年高考数学一轮复习《重难点题型与知识梳理•高分突破》(新高考专用)
特训14同构思想在解析几何的应用(五大题型)(解析版)_02高考数学_2025年新高考资料_一轮复习_2025年高考数学一轮复习《重难点题型与知识梳理•高分突破》(新高考专用)
特训14同构思想在解析几何的应用(五大题型)(解析版)_02高考数学_2025年新高考资料_一轮复习_2025年高考数学一轮复习《重难点题型与知识梳理•高分突破》(新高考专用)
特训14同构思想在解析几何的应用(五大题型)(解析版)_02高考数学_2025年新高考资料_一轮复习_2025年高考数学一轮复习《重难点题型与知识梳理•高分突破》(新高考专用)
特训14同构思想在解析几何的应用(五大题型)(解析版)_02高考数学_2025年新高考资料_一轮复习_2025年高考数学一轮复习《重难点题型与知识梳理•高分突破》(新高考专用)
特训14同构思想在解析几何的应用(五大题型)(解析版)_02高考数学_2025年新高考资料_一轮复习_2025年高考数学一轮复习《重难点题型与知识梳理•高分突破》(新高考专用)
特训14同构思想在解析几何的应用(五大题型)(解析版)_02高考数学_2025年新高考资料_一轮复习_2025年高考数学一轮复习《重难点题型与知识梳理•高分突破》(新高考专用)
特训14同构思想在解析几何的应用(五大题型)(解析版)_02高考数学_2025年新高考资料_一轮复习_2025年高考数学一轮复习《重难点题型与知识梳理•高分突破》(新高考专用)
特训14同构思想在解析几何的应用(五大题型)(解析版)_02高考数学_2025年新高考资料_一轮复习_2025年高考数学一轮复习《重难点题型与知识梳理•高分突破》(新高考专用)
特训14同构思想在解析几何的应用(五大题型)(解析版)_02高考数学_2025年新高考资料_一轮复习_2025年高考数学一轮复习《重难点题型与知识梳理•高分突破》(新高考专用)
特训14同构思想在解析几何的应用(五大题型)(解析版)_02高考数学_2025年新高考资料_一轮复习_2025年高考数学一轮复习《重难点题型与知识梳理•高分突破》(新高考专用)
特训14同构思想在解析几何的应用(五大题型)(解析版)_02高考数学_2025年新高考资料_一轮复习_2025年高考数学一轮复习《重难点题型与知识梳理•高分突破》(新高考专用)
特训14同构思想在解析几何的应用(五大题型)(解析版)_02高考数学_2025年新高考资料_一轮复习_2025年高考数学一轮复习《重难点题型与知识梳理•高分突破》(新高考专用)
特训14同构思想在解析几何的应用(五大题型)(解析版)_02高考数学_2025年新高考资料_一轮复习_2025年高考数学一轮复习《重难点题型与知识梳理•高分突破》(新高考专用)
特训14同构思想在解析几何的应用(五大题型)(解析版)_02高考数学_2025年新高考资料_一轮复习_2025年高考数学一轮复习《重难点题型与知识梳理•高分突破》(新高考专用)
特训14同构思想在解析几何的应用(五大题型)(解析版)_02高考数学_2025年新高考资料_一轮复习_2025年高考数学一轮复习《重难点题型与知识梳理•高分突破》(新高考专用)
特训14同构思想在解析几何的应用(五大题型)(解析版)_02高考数学_2025年新高考资料_一轮复习_2025年高考数学一轮复习《重难点题型与知识梳理•高分突破》(新高考专用)
特训14同构思想在解析几何的应用(五大题型)(解析版)_02高考数学_2025年新高考资料_一轮复习_2025年高考数学一轮复习《重难点题型与知识梳理•高分突破》(新高考专用)
特训14同构思想在解析几何的应用(五大题型)(解析版)_02高考数学_2025年新高考资料_一轮复习_2025年高考数学一轮复习《重难点题型与知识梳理•高分突破》(新高考专用)
特训14同构思想在解析几何的应用(五大题型)(解析版)_02高考数学_2025年新高考资料_一轮复习_2025年高考数学一轮复习《重难点题型与知识梳理•高分突破》(新高考专用)
特训14同构思想在解析几何的应用(五大题型)(解析版)_02高考数学_2025年新高考资料_一轮复习_2025年高考数学一轮复习《重难点题型与知识梳理•高分突破》(新高考专用)
特训14同构思想在解析几何的应用(五大题型)(解析版)_02高考数学_2025年新高考资料_一轮复习_2025年高考数学一轮复习《重难点题型与知识梳理•高分突破》(新高考专用)
特训14同构思想在解析几何的应用(五大题型)(解析版)_02高考数学_2025年新高考资料_一轮复习_2025年高考数学一轮复习《重难点题型与知识梳理•高分突破》(新高考专用)
特训14同构思想在解析几何的应用(五大题型)(解析版)_02高考数学_2025年新高考资料_一轮复习_2025年高考数学一轮复习《重难点题型与知识梳理•高分突破》(新高考专用)
特训14同构思想在解析几何的应用(五大题型)(解析版)_02高考数学_2025年新高考资料_一轮复习_2025年高考数学一轮复习《重难点题型与知识梳理•高分突破》(新高考专用)
特训14同构思想在解析几何的应用(五大题型)(解析版)_02高考数学_2025年新高考资料_一轮复习_2025年高考数学一轮复习《重难点题型与知识梳理•高分突破》(新高考专用)
特训14同构思想在解析几何的应用(五大题型)(解析版)_02高考数学_2025年新高考资料_一轮复习_2025年高考数学一轮复习《重难点题型与知识梳理•高分突破》(新高考专用)
特训14同构思想在解析几何的应用(五大题型)(解析版)_02高考数学_2025年新高考资料_一轮复习_2025年高考数学一轮复习《重难点题型与知识梳理•高分突破》(新高考专用)
特训14同构思想在解析几何的应用(五大题型)(解析版)_02高考数学_2025年新高考资料_一轮复习_2025年高考数学一轮复习《重难点题型与知识梳理•高分突破》(新高考专用)
特训14同构思想在解析几何的应用(五大题型)(解析版)_02高考数学_2025年新高考资料_一轮复习_2025年高考数学一轮复习《重难点题型与知识梳理•高分突破》(新高考专用)
特训14同构思想在解析几何的应用(五大题型)(解析版)_02高考数学_2025年新高考资料_一轮复习_2025年高考数学一轮复习《重难点题型与知识梳理•高分突破》(新高考专用)
特训14同构思想在解析几何的应用(五大题型)(解析版)_02高考数学_2025年新高考资料_一轮复习_2025年高考数学一轮复习《重难点题型与知识梳理•高分突破》(新高考专用)
特训14同构思想在解析几何的应用(五大题型)(解析版)_02高考数学_2025年新高考资料_一轮复习_2025年高考数学一轮复习《重难点题型与知识梳理•高分突破》(新高考专用)
特训14同构思想在解析几何的应用(五大题型)(解析版)_02高考数学_2025年新高考资料_一轮复习_2025年高考数学一轮复习《重难点题型与知识梳理•高分突破》(新高考专用)
特训14同构思想在解析几何的应用(五大题型)(解析版)_02高考数学_2025年新高考资料_一轮复习_2025年高考数学一轮复习《重难点题型与知识梳理•高分突破》(新高考专用)
特训14同构思想在解析几何的应用(五大题型)(解析版)_02高考数学_2025年新高考资料_一轮复习_2025年高考数学一轮复习《重难点题型与知识梳理•高分突破》(新高考专用)
特训14同构思想在解析几何的应用(五大题型)(解析版)_02高考数学_2025年新高考资料_一轮复习_2025年高考数学一轮复习《重难点题型与知识梳理•高分突破》(新高考专用)
特训14同构思想在解析几何的应用(五大题型)(解析版)_02高考数学_2025年新高考资料_一轮复习_2025年高考数学一轮复习《重难点题型与知识梳理•高分突破》(新高考专用)
特训14同构思想在解析几何的应用(五大题型)(解析版)_02高考数学_2025年新高考资料_一轮复习_2025年高考数学一轮复习《重难点题型与知识梳理•高分突破》(新高考专用)
特训14同构思想在解析几何的应用(五大题型)(解析版)_02高考数学_2025年新高考资料_一轮复习_2025年高考数学一轮复习《重难点题型与知识梳理•高分突破》(新高考专用)
特训14同构思想在解析几何的应用(五大题型)(解析版)_02高考数学_2025年新高考资料_一轮复习_2025年高考数学一轮复习《重难点题型与知识梳理•高分突破》(新高考专用)
特训14同构思想在解析几何的应用(五大题型)(解析版)_02高考数学_2025年新高考资料_一轮复习_2025年高考数学一轮复习《重难点题型与知识梳理•高分突破》(新高考专用)
特训14同构思想在解析几何的应用(五大题型)(解析版)_02高考数学_2025年新高考资料_一轮复习_2025年高考数学一轮复习《重难点题型与知识梳理•高分突破》(新高考专用)
特训14同构思想在解析几何的应用(五大题型)(解析版)_02高考数学_2025年新高考资料_一轮复习_2025年高考数学一轮复习《重难点题型与知识梳理•高分突破》(新高考专用)
特训14同构思想在解析几何的应用(五大题型)(解析版)_02高考数学_2025年新高考资料_一轮复习_2025年高考数学一轮复习《重难点题型与知识梳理•高分突破》(新高考专用)
特训14同构思想在解析几何的应用(五大题型)(解析版)_02高考数学_2025年新高考资料_一轮复习_2025年高考数学一轮复习《重难点题型与知识梳理•高分突破》(新高考专用)
特训14同构思想在解析几何的应用(五大题型)(解析版)_02高考数学_2025年新高考资料_一轮复习_2025年高考数学一轮复习《重难点题型与知识梳理•高分突破》(新高考专用)
特训14同构思想在解析几何的应用(五大题型)(解析版)_02高考数学_2025年新高考资料_一轮复习_2025年高考数学一轮复习《重难点题型与知识梳理•高分突破》(新高考专用)
特训14同构思想在解析几何的应用(五大题型)(解析版)_02高考数学_2025年新高考资料_一轮复习_2025年高考数学一轮复习《重难点题型与知识梳理•高分突破》(新高考专用)

文档信息

文档格式
docx
文档大小
5.241 MB
文档页数
58 页
上传时间
2026-04-29 00:27:16

文档内容

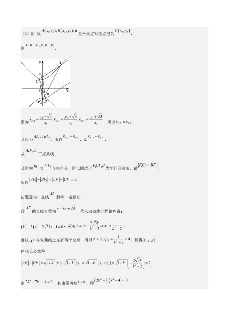
特训 14 同构思想在解析几何的应用(五大题型) 数学中的同构式是指除了变量不同,而结构相同的表达式,下面提供其理论基础: ①若实数a,b分别满足f(a)=0,f(b)=0,由此a,b可视为方程f(x)=0的两个根.——双切线、斜率和(积)为定值 时,恒过定点问题的核心思路. ②如果A(x ,y₁),B(x₂,y₂)满足的方程结构相同,则A,B为方程所表示的曲线上的两点. 1 特别地,若A(x₁,y),B(x₂,y₂)满足ax+by+c=0,ax₂+by₂+c=0,则直线AB的方程为ax+by+c=0.——切点弦方程 1 1 推导的核心思路. 思维点拨:同构思想是数学中代数处理的一种重要思想,其关键在于发现代数式子结构的相似性,对其 进行代数变形的统一构造处理.同构思想在解析几何中的应用非常广泛,比如斜率和、斜率积为定值, 恒 过定点,切点弦,双切线等问题,使用同构思想可以大大简化运算,实现数与形的完美结合. 目录: 01 定点问题 02 定值问题 03 定比分点问题 04 双切线问题 05 切点弦问题 01 定点问题 1.已知椭圆 的左、右焦点别为 , ,离心率为 ,过点 的动直线l交E于 A,B两点,点A在x轴上方,且l不与x轴垂直, 的周长为 ,直线 与E交于另一点C,直 线 与E交于另一点D,点P为椭圆E的下顶点,如图.(1)求E的方程; (2)证明:直线CD过定点. 【答案】(1) (2)证明见解析 【分析】(1)利用椭圆的定义和离心率,求解椭圆方程; (2)设点 , , , , 的方程为 ,联立直线与椭圆的 方程,根据韦达定理求出点的坐标,同理得到点的坐标,进而得到直线的方程,根据对称性,如果直线 CD过定点,则该定点在x轴上,即可得到定点坐标. 【解析】(1)由椭圆定义可知 , , 所以 的周长为 ,所以 , 又因为椭圆离心率为 ,所以 ,所以 , 又 ,所以椭圆的方程: . (2)设点 , , , , 则直线 的方程为 ,则 , 由 得, , 所以 , 因为 ,所以 ,所以 ,故 ,又 , 同理, , , 由A, ,B三点共线,得 ,所以 , 直线CD的方程为 , 由对称性可知,如果直线CD过定点,则该定点在x轴上, 令 得, , 故直线CD过定点 . 【点睛】方法点睛:求解直线过定点问题常用方法如下: (1)“特殊探路,一般证明”:即先通过特殊情况确定定点,再转化为有方向、有目的的一般性证明; (2)“一般推理,特殊求解”:即设出定点坐标,根据题设条件选择参数,建立一个直线系或曲线的方 程,再根据参数的任意性得到一个关于定点坐标的方程组,以这个方程组的解为坐标的点即为所求点; (3)求证直线过定点 ,常利用直线的点斜式方程 或截距式 来证明. 2.在平面直角坐标系 中,抛物线 的焦点到准线的距离等于椭圆 的 短轴长,点 在抛物线 上,圆 (其中 ).(1)若 为圆 上的动点,求线段 长度的最小值; (2)设 是抛物线 上位于第一象限的一点,过 作圆 的两条切线,分别交抛物线 于点 .证明: 直线 经过定点. 【答案】(1) (2)证明见解析 【分析】(1)根据椭圆的短轴可得抛物线方程 ,进而根据两点斜率公式,结合三角形的三边关系, 即可由二次函数的性质求解, (2)根据两点坐标可得直线 的直线方程,由直线与圆相切可得 是方程 的两个解,即可利用韦达定理代入化简求解定点. 【解析】(1)由题意得椭圆的方程: ,所以短半轴 所以 ,所以抛物线 的方程是 . 设点 ,则 , 所以当 时,线段 长度取最小值 . (2) 是抛物线 上位于第一象限的点, ,且 . 设 ,则: 直线 ,即 ,即 . 直线 ,即 .由直线 与圆相切得 ,即 . 同理,由直线 与圆相切得 . 所以 是方程 的两个解, . 代入方程 得 , 解得 直线 恒过定点 . 【点睛】圆锥曲线中定点问题的两种解法 (1)引进参数法:先引进动点的坐标或动线中系数为参数表示变化量,再研究变化的量与参数何时没有 关系,找到定点. (2)特殊到一般法:先根据动点或动线的特殊情况探索出定点,再证明该定点与变量无关. 技巧:若直线方程为 ,则直线过定点 ; 若直线方程为 ( 为定值),则直线过定点 3.阅读材料:“到角公式”是解析几何中的一个术语,用于解决两直线对称的问题.其内容为:若将直线 绕 与 的交点逆时针方向旋转到与直线 第一次重合时所转的角为 ,则称 为 到 的角,当直线 与不垂直且斜率都存在时, (其中 分别为直线 和 的斜率).结合阅读材料,回答下述 问题: 已知椭圆 的左、右焦点分别为 为椭圆上一点, ,四边形 的面积为 为坐标原点. (1)求椭圆 的方程; (2)求 的角平分线所在的直线 的方程; (3)过点 的且斜率存在的直线 分别与椭圆交于点 (均异于点 ),若点 到直线 的距离相等, 证明:直线 过定点. 【答案】(1) (2) (3)直线 过定点 ,证明见解析 【分析】(1)根据椭圆过 点、四边形 的面积可得答案; (2)求出 ,设 的角平分线所在的直线 的斜率为 ,根据到角公式可得答案; (3)设直线 ,根据点 到直线 的距离相等得 ,由椭圆方程 与直线联立求出 的坐标,可得直线 的斜率,由点斜式求出 的方程,根据方程特点可得答案. 【解析】(1)因为四边形 的面积为 ,解得 , 可得 ,即 ,又 为椭圆上一点, 所以 ,得 ,解得 ,所以椭圆 的方程为 ; (2)由(1) , , 设 的角平分线所在的直线 的斜率为 ,则 , 根据到角公式可得 ,化简得 ,所以 (正值舍去), 此时直线 的方程为 ,即 ; (3)设直线 的斜率分别为 ,可得 直线 , 若点 到直线 的距离相等,则 , 化简得 , 由椭圆方程与 方程联立 可得 , 所以 ,可得 ,所以 , 所以 , 同理可得 ,因为 , 所以 , 所以 , 可得直线 的方程为 , 化简得 , 所以 , 由 ,解得 , 可得直线 过定点 . 【点睛】思路点睛:第(3)问解题的思路是由椭圆方程与直线联立求出 的坐标,利用点斜式求出的方程,根据方程特点求定点. 02 定值问题 4.如图, 在平面直角坐标系 中,双曲线 的上下焦点分别为 , . 已知点 和 都在双曲线上, 其中 为双曲线的离心率. (1)求双曲线的方程; (2)设 是双曲线上位于 轴右方的两点,且直线 与直线 平行, 与 交于点 . (i) 若 ,求直线 的斜率; (ii) 求证: 是定值. 【答案】(1) (2)(i) ;(ii) 【分析】(1)将点的坐标代入双曲线的方程求解即可; (2)(I)构造平行四边形 ,求出 ,然后利用弦长公式求直线 的斜率即可; (II)利用三角形相似和双曲线的性质,将 转化为 ,然后结合韦达定理求解 即可.【解析】(1)将点 和 代入双曲线方程得: ,结合 ,化简得: ,解得 , 双曲线的方程为 . (2)(i) 设 关于原点对称点记为 , 则 . 因为 ,所以 , 又因为 ,所以 ,即 , 故 三点共线. 又因为 与 互相平分,所以四边形 为平行四边形,故 , 所以 . 由题意知,直线 斜率一定存在, 设 的直线方程为 ,代入双曲线方程整理得: ,故 ,直线 与双曲线上支有两个交点,所以 ,解得 . 由弦长公式得 , 则 ,且由图可知 ,即 , 代入解得 . (ii) 因为 ,由相似三角形得 , 所以 . 因为 . 所以 ,故为定值. 【点睛】关键点点睛:第二问(ii)的关键是将 转化为 ,结合韦达定理即可顺利 得解. 5.已知双曲线 : 的离心率为 ,点 在双曲线 上.过 的左焦点F作直 线 交 的左支于A、B两点. (1)求双曲线 的方程.(2)若 ,试问:是否存在直线l,使得点M在以AB为直径的圆上?若存在出直线l的方程;若不存 在,说明理由. (3)点 ,直线 交直线 于点 .设直线 、 的斜率分别 、 ,求证: 为定值. 【答案】(1) ; (2)不存在,理由见解析; (3)证明见解析 【分析】(1)根据题意列式求 ,进而可得双曲线方程; (2)设 ,联立方程,利用韦达定理判断 是否为零即可; (3)用 两点坐标表示出直线 ,得点 坐标,表示出 ,结合韦达定理,证明 为定值. 【解析】(1)由双曲线 的离心率为 ,且 在双曲线 上, 可得 ,解得 ,所以双曲线的方程为 . (2)双曲线 的左焦点为 , 当直线 的斜率为0时,此时直线为 ,与双曲线 左支只有一个交点,不符合题意, 当直线 的斜率不为0时,设 , 由 ,消去 得 , 显然 , , 设 ,则 ,得 ,于是 , , 即 ,因此 与 不垂直, 所以不存在直线 ,使得点 在以 为直径的圆上. (3)由直线 ,得 , 则 ,又 , 于是 , 而 ,即有 ,且 , 所以 ,即 为定值. 【点睛】方法点睛:①引出变量法,解题步骤为先选择适当的量为变量,再把要证明为定值的量用上述变 量表示,最后把得到的式子化简,得到定值;②特例法,从特殊情况入手,求出定值,再证明这个值与变 量无关.6.已知抛物线 的顶点是椭圆 的中心,焦点与该椭圆的右焦点重合. (1)求抛物线 的方程; (2)已知动直线 过点 ,交抛物线 于 、 两点,坐标原点 为 中点, ①求证: ; ②是否存在垂直于 轴的直线 被以 为直径的圆所截得的弦长恒为定值?如果存在,求出 的方程; 如果不存在,说明理由. 【答案】(1) (2)①证明见解析;②存在, 【分析】(1)由题意,设抛物线方程 由 ,得 由此能求出抛物线 的 方程; (2)①设 , ,由于 为 中点,则 ,故当 轴时由抛物线的对称性知 ,当 不垂直 轴时,设 ,由 ,得 , 由此能够证明 . ②设存在直线 满足题意,则圆心 ,过 作直线 的垂线,垂足为 ,故 ,由此能够推出存在直线 : 满足题意. 【解析】(1)由题意,可设抛物线方程为 . 由 ,可得 , 抛物线的焦点为 , ,抛物线 的方程为 ; (2)①设 , , 由于 为 中点且 ,则 , 故当 轴时,由抛物线的对称性知,一定有 , 当 不垂直 轴时,显然直线 的斜率不为 ,设 , 由 ,得 , , 则 , 则 , , 所以 , 则 , 综上证知, ; ②设存在直线 满足题意, 设圆心 ,过 作直线 的垂线,垂足为 ,圆 与直线 的一个交点为 , , 即, 当 时, , 此时直线 被以 为直径的圆截得的弦长恒为定值 , 因此存在直线 : 满足题意. 【点睛】方法点睛:利用韦达定理法解决直线与圆锥曲线相交问题的基本步骤如下: (1)设直线方程,设交点坐标为 、 ; (2)联立直线与圆锥曲线的方程,得到关于 (或 )的一元二次方程,必要时计算 ; (3)列出韦达定理; (4)将所求问题或题中的关系转化为 、 的形式; (5)代入韦达定理求解. 03 定比分点问题 7.已知抛物线 经过点 ,直线 与抛物线 有两个不同的交点 ,直线 交 轴于 ,直线 交 轴于 . (1)若直线 过点 ,求直线 的斜率 的取值范围; (2)若直线 过抛物线 的焦点 ,交 轴于点 ,求 的值; (3)若直线 过点 ,设 ,求 的值. 【答案】(1)(2) (3)2 【分析】(1)由题意易得直线斜率存在且不为 ,且直线 、 斜率存在,设出直线方程,并联立抛物 线方程,根据交点有两个,得出 ,解不等式即可得直线斜率的范围. (2)设直线 的方程为: 联立直线与抛物线的方程得出点 纵坐标之间的关系,再由 , ,得出 、 与点 坐标之间的关系,对 化简可求得 的值. (3)根据 , ,得出 、 与点 坐标之间的关系,再根据 在同一直线上, 在同一直线上,得出 , 与点 坐标之间的关系,根据(1)中联立所得的方程得出点 横 坐标之间的关系,对原式进行化简,即可得 的值. 【解析】(1)因为抛物线 经过点 ,所以 ,所以 , 所以抛物线 的解析式为 . 又因为直线 过点 ,且直线 与抛物线 有两个不同的交点. 易知直线 斜率存在且不为 ,故可设直线 的方程式为 . 根据题意可知直线 不能过点 ,所以直线 的斜率 . 若直线 与抛物线的一个交点为 ,此时该点与点 所在的直线斜率不存在, 则该直线与 轴无交点,与题目条件矛盾,此时 ,所以直线 斜率 . 联立方程 ,得 , 因为直线 与抛物线有两个不同交点,所以 ,所以 . 故直线 的斜率 的取值范围是 且 且 . 即率 的取值范围是 . (2)如图所示 设直线 的方程为: 由 ,得 , 设 , , 则 ,∵ , , , , ∴ , ,∴ , . (3)如图所示设点 , ,则 , , 因为 ,所以 ,故 ,由 得 , 设 , , 直线 方程为 , 令 ,得 ①,由直线 可得 ②, 因为 ③, 将①②代入③可得, , 又由根与系数的关系: , , 所以 , 所以 . 【点睛】方法点睛:利用韦达定理法解决直线与圆锥曲线相交问题的基本步骤如下:(1)设直线方程,设交点坐标为 ; (2)联立直线与圆锥曲线的方程,得到关于 (或 )的一元二次方程,注意 的判断; (3)列出韦达定理; (4)将所求问题或题中的关系转化为 、 (或 、 )的形式; (5)代入韦达定理求解. 8.椭圆 : 的离心率 ,短轴的两个端点分别为 、 ( 位于 上方),焦 点为 、 ,四边形 的内切圆半径为 . (1)求椭圆 的方程; (2)过点 的直线 交 于M、N两点(M位于P与N之间),记 、 的面积分别为 、 ,令 , ,求 的取值范围. 【答案】(1) (2) 【分析】(1)根据题意列出方程组,解方程组即可求得标准方程; (2)对直线斜率是否存在分类讨论,斜率不存在的时候特殊位置分析,斜率存在的时候,联立直线方程 和椭圆方程,根据韦达定理和题中已知条件分析计算即可得到结果. 【解析】(1)由题意得 ,解得 ,所以椭圆C的方程为 . (2)当 的斜率不存在时, 与 重合, 与 重合,不符合题意; 当 的斜率 存在时,其方程为 , 设 , , 由 得: , 所以 ,解得 , 则 , 由于 , , 则 , , 所以 , ,由 知 , 从而 ,亦即 , 将 代入 ,得 , 代入 ,得 ,所以 , 又 ,所以 ,则 , 即 ,解得 , 从而 的取值范围为 . 【点睛】方法点睛:利用韦达定理法解决直线与圆锥曲线相交问题的基本步骤如下: (1)设直线方程,设交点坐标为 ; (2)联立直线与圆锥曲线的方程,得到关于 (或 )的一元二次方程,注意 的判断; (3)列出韦达定理; (4)将所求问题或题中的关系转化为 、 (或 、 )的形式; (5)代入韦达定理求解. 9.已知椭圆 的一个焦点为 ,其左顶点为A,上顶点为B,且 到直线 的距离为 (O为坐标原点). (1)求C的方程;(2)若椭圆 ,则称椭圆E为椭圆C的 倍相似椭圆.已知椭圆E是椭圆C的3倍 相似椭圆,直线 与椭圆C,E交于四点(依次为M,N,P,Q,如图),且 , 证明:点 在定曲线上. 【答案】(1) ; (2)证明见解析. 【分析】(1)由已知条件推导出 , ,由此能求出椭圆 的方程. (2)分别联立直线与椭圆 、椭圆 的方程消元,可证明线段 、 中点相同,然后结合 可得 ,由此可证明. 【解析】(1) , 直线 的方程为 ,即 , 到直线 的距离为 , , 又 ,解得 , , 椭圆 的方程为: . (2)椭圆 的3倍相似椭圆 的方程为 , 设 , , , 各点坐标依次为 , , , , , , , ,将 代入椭圆 方程,得: , , , , , 将 代入椭圆 的方程得 , , , , , 线段 , 中点相同, , 由 可得 , ,所以 , ,化简得 ,满足 式, ,即点 在定曲线 上. 04 双切线问题 10.已知椭圆 过点 ,A、B为左右顶点,且 . (1)求椭圆C的方程; (2)过点A作椭圆内的圆 的两条切线,交椭圆于C、D两点,若直线CD与圆O相切, 求圆O的方程; (3)过点P作(2)中圆O的两条切线,分别交椭圆于两点Q、R,求证:直线QR与圆O相切. 【答案】(1)(2) (3)证明见解析 【分析】(1)根据椭圆的基本量可得 ,代入 即可得椭圆的方程; (2)根据对称性可得直线CD与 轴垂直,再根据相切的性质,结合三角函数的关系列式求解半径 即可; (3)设圆O的切线方程为 ,根据切线到圆心的距离可得 的二次方程,进而得到 的斜率 ,再联立 的方程与椭圆方程可得 的横坐标,进而表达出 的方程,求解 圆心到 的距离表达式,代入数据求解得 即可证明. 【解析】(1)依题意, 则 ,代入 可得 ,解得 ,故椭圆方程为 (2)由椭圆与圆的对称性可得,直线 关于 轴对称,故直线CD与 轴垂直. 代入 到 ,不妨设 ,设 为 与圆 的切点, 为 与圆 的切点. 则由切线的性质, , ,故 ,故 . 故 ,故 .故圆O的方程为 . (3)设圆O的切线方程为 ,即 . 则 ,故 ,化简得 . 则该方程两根分别为 的斜率 ,则 , . 联立 ,则 . 设 ,则 ,即 ,同理 . 故 , ,所以 . 又 ,故直线 的方程为 ,即 , 故 到直线 的距离 ,代入数据可得 ,故直线QR与圆O相切.【点睛】本题主要考查了根据直线与圆和直线与椭圆的位置关系问题,需要根据题意设直线方程,联立椭 圆方程得出对应的点坐标,从而得出直线方程,根据点到直线的距离公式化简求解.计算量较大,属于难题. 11.点P为曲线C上任意一点,直线l:x=-4,过点P作PQ与直线l垂直,垂足为Q,点 ,且 . (1)求曲线C的方程; (2)过曲线C上的点 作圆 的两条切线,切线与y轴交于A,B,求 MAB面 △ 积的取值范围. 【答案】(1) (2) 【分析】(1)设点 ,通过 得到等式关系,化简求得曲线方程; (2)设切线方程 ,通过点到切线的距离,化简成 的一元二次方程,再韦达定理得出 与 的等式关系,再求出 弦长,消去 ,再求面积即可. 【解析】(1)设 ,由 ,得 ,两边平方得 , 所以曲线C的方程为 ; (2)设点 的切线方程为 (斜率必存在),圆心为 ,r=1 所以 到 的距离为: 平方化为 ,设PA,PB的斜率分别为 ,则 , 因为PA: ,令x=0有 ,同理 所以 又因为 代入上式化简为 所以 , 令 , ,求导知 在 为增函数,所以 . 12.如图,已知 和抛物线 是圆 上一点,M是抛物线 上一 点,F是抛物线 的焦点. (1)当直线 与圆 相切,且 时,求 点的坐标; (2)过P作抛物线 的两条切线 分别为切点,求证:存在两个 ,使得 面积等于 .【答案】(1) 或 ;(2)证明见解析. 【分析】(1)焦点F坐标为 ,设 ,利用圆的切线长公式、抛物线的定义建立方程求解即 得; (2)设 ,设直线 、 的斜率 ,由与抛物线相切求得 , , 知 是方程 的两根,得到 ,求得切点坐标 , , 得到直线 方程并化简整理为 ,利用已知面积得到 ,与 联立 得 ,然后利用零点存在定理判定解的个数即可. 【解析】(1)焦点F坐标为 ,设 ,则 , 由抛物线定义,M到焦点距离等于到抛物线准线 的距离, 所以 ,由 ,得 , 所以 或 ,所以 或 , (2)设 ,则 , 设直线 方程为 ,代入 , 得 , 整理得 ①, 同理,直线 方程为 ,有 ②,由①②知, 是方程 的两根, 所以 , 由切线意义知,在 中, ,则 所以 ,同理 直线 方程为 即 即 到直线 的距离 所以 ,与 联立得 所以 或 ,设 ,显然 , 又 在 上递增,所以 在 上有唯一零点 所以存在两个 ,使得 面积等于 . 【点睛】本题考查直线与圆,直线与抛物线的位置关系,面积问题,零点个数问题,难度较大,其中利用 圆的切线长和抛物线的定义建立方程求解是第一问中的关键;第二问中关键点由同构方程 , ,知 是方程 的两根,从而得到 ;利用零点存在定理 判定三次函数在给定区间上的零点个数问题. 05 切点弦问题 13.已知抛物线 ,直线 与 交于 , 两点,且 . (1)求 的值;(2)过点 作 的两条切线,切点分别为 , ,证明:直线 过定点; (3)直线 过 的焦点 ,与 交于 , 两点, 在 , 两点处的切线相交于点 ,设 ,当 时,求 面积的最小值. 【答案】(1) (2)证明见解析 (3) 【分析】(1)将 代入 求出 ,进而可列式求 ; (2)令 ,对 求导,设 ,求出直线 的方程,并将 代入计 算,构造方程,利用根与系数的关系计算直线 方程中的 值即可; (3)设直线 ,与抛物线联立,利用根与系数的关系表示出 的面积,然后求其最值即可. 【解析】(1)将 代入 中得 , 故 ,解得 ; (2)由(1)知抛物线 ,令 ,可得 , 由 求导可得 , 设 , 则直线 的方程分别为 ,将 代入上面两个方程得 ,结合 整理得 , 所以 是方程 的两根,所以 , 而直线 的方程为 , 即 , 即 , 则直线 过定点 ; (3)由题意得 ,直线 的斜率不为0, 设直线 , 联立得 ,得 ,则 , 联立 ,解得 ,故 ,即 , 由 ,得 ,结合根与系数的关系可知 ,从而 ,所以 , 而 ,故 , 由于 在 时为增函数, 因此当 时, 的面积取得最小值 . 【点睛】方法点睛:求定点问题常见的方法有两种: (1)从特殊入手,求出定值点,再证明这个点与变量无关. (2)直接推理、计算,并在计算推理的过程中消去变量,从而得到定点. 14.已知抛物线C: ( )的焦点为F,直线 与C交于A,B两点, . (1)求C的方程; (2)过A,B作C的两条切线交于点P,设D,E分别是线段PA,PB上的点,且直线DE与C相切,求证: . 【答案】(1) (2)证明见解析 【分析】(1)设 , ,直线方程联立抛物线方程,利用韦达定理表示 ,结合抛物线的定义即可求解;(2)利用导数的几何意义求出直线PA、PB方程,进而求得 ,设 ,求得 、 ,结合弦长公式表示 与 ,即证 ,由 (1),化简计算即可证明. 【解析】(1)设 , , , 联立 ,得 , 则 , , , 则 ,故 , 所以C的方程为 . (2)由(1)知 ,因为抛物线C: ,则 , 则 , ,则直线PA方程为 ,即 , 同理直线PB方程为 . 联立 ,得 , 则 ,将 代入得 , 两式相加得 , 即 ,所以点 . 设直线DE与抛物线相切于点 ,则直线DE方程为 . 设 , ,联立 ,两式作比 ,即 ,同理 , 因为 , 同理 , 故要证 , 即证 , 即证 , 即证 , 即证 , 即证 , 由(1)知 ,又 ,故 ,上式成立, 故 . 【点睛】方法点睛:求定值问题常见的方法有两种: (1)从特殊入手,求出定值,再证明这个值与变量无关. (2)直接推理、计算,并在计算推理的过程中消去变量,从而得到定值. 15.已知平面直角坐标系 中,椭圆 与双曲线 .(1)若 的长轴长为8,短轴长为4,直线 与 有唯一的公共点 ,过 且与 垂直的 直线分别交 轴, 轴于点 两点,当 运动时,求点 的轨迹方程; (2)若 的长轴长为4,短轴长为2,过 的左焦点 作直线 与 相交于 两点( 在 轴上方),分别 过 作 的切线,两切线交于点 ,求 面积的最小值. 【答案】(1) (2) 【分析】(1)根据题意可得 ,得到双曲线 的标准方程,然后利用直线 与 有唯一的公共点 ,过 且与 垂直的直线分别交 轴, 轴于点 两点,即可求解; (2)依题意, ,设 ,联立 结合韦达定理,得到切线方程,然后根 据两条切线方程联立,结合构造函数求解三角形面积最值即可. 【解析】(1) 因为 的长轴长为8,短轴长为4,所以 , , 联立方程 ,得 ,又 与 有唯一的公共点 ,所以 , 即 , 的横坐标为 , 把 代入 中, ,所以 , 过 且与 垂直的直线为 ,则 , 所以 , ,又 ,所以 , 即 ,所以 的轨迹方程为 . (2) 因为 的长轴长为4,短轴长为2,所以 , ,左焦点 , 当 斜率为0时, 分别为椭圆的左、右顶点,此时切线平行无交点, 当 斜率不为0时,设 , 由 得 , 设 ,则 ,, 椭圆在 轴上方对应方程为 , 则点 处切线斜率为 , 点 处切线方程为 ,即 , 同理可得点 处的切线方程为 , 由 得 , 代入①得 , 所以 ,所以 , 而 , 所以 ,即 ,又 , 所以 . 令 ,则 , 令 ,则 ,所以 在 上单调递增, 则当 时, . 所以 面积的最小值为 . 【点睛】关键点点睛:本题主要考查了直线与双曲线及椭圆的位置关系,利用直线和圆锥曲线联立,根据 交点情况(1)中 ,(2)中 ,(2)中的关键是结合韦达定理,表示出切线方程,再联立切线方 程,构造函数求解三角形面积最值. 16.已知椭圆 . (1)若点 在椭圆C上,证明:直线 与椭圆C相切; (2)设曲线 的切线l与椭圆C交于 两点,且以 为切点的椭圆C的切线交于M点, 求 面积的取值范围. 【答案】(1)证明见解析 (2) 【分析】(1)分类讨论 , 及 ,根据直线与椭圆的位置关系结合判别式计算即 可证明; (2)法一、先确定圆的切线方程,设 坐标,联立切线方程与椭圆方程利用韦达定理得A、B坐标 关系,结合(1)得过 的椭圆切线方程,联立两切线方程求交点得M坐标与 坐标的关系,再结 合点在圆上消元化简得 ,根据三角形面积 结合导数求其值域即可; 法二、设 ,由直线与圆的位置关系得参数间关系,再由椭圆的切线方程得切点弦 方程,由待定系数法得 ,利用弦长公式及点到直线的距离公式计算面积求范围即可. 【解析】(1)若 ,则 ,此时椭圆切线方程为 ,满足 , 若 ,则 ,此时椭圆切线方程为 ,满足 , 若 ,联立方程 ,得 , , ∴ 与椭圆C只有一个交点,是其切线; 综上, 是椭圆C在 处的切线方程; (2) 法一、依题意作图:设圆O的切点为 , 若 ,可设 , 由直线与圆的位置关系知: , 则 , 若 ,显然切线方程为 ,满足 , 若 ,显然切线方程为 ,满足 ,故圆在切点P处的切线方程为 ; 当 ,设 , 联立方程: ,得 , , , 结合(1)知:在A点的椭圆C的切线方程为 , 在B点的椭圆C的切线方程为 , 联立方程 ,得 , ,得 , 所以 , 因为 点在切线 上,所以 ,得 , 使用水平底铅垂高计算 的面积,铅垂高为 , 又 ,从而 , 即 , ,∵点P在圆O上,∴ ,由题意, , 设函数 , ,∴ ; 当 时,切线方程为 ,代入椭圆C的方程得 , , ,同理 时, . 综上 取值范围是 . 法二、设直线 , 因为AB与曲线O相切,则有 ,即 . 设 ,将 代入椭圆方程得: , , 则 . 由(1)的结论, 过点A的椭圆切线为 ,过点B的椭圆切线为 , 而两条切线交于点M,则 , 所以A,B的坐标满足直线 ,即直线AB方程.易知 ,则 ,故有 , 则点P到直线 的距离 , 所以 , 易知 ,随 增大而增大,则 ,所以 , 当 时, , 故 取值范围是 . 【点睛】思路点睛:法一、利用圆与椭圆的切线方程及直线的交点坐标,得出切点 的坐标关系,根 据水平底铅锤高求面积即可;法二、利用直线与圆的位置关系得圆的切线方程参数关系,再由椭圆的切线 方程及其切点弦方程得出切点 与圆的切线方程参数关系,最后根据点到直线的距离公式、弦长公式计算 面积即可. 一、解答题 1.(2024·辽宁·模拟预测)已知双曲线 过点 ,离心率为2. (1)求 的方程; (2)过点 的直线 交 于 , 两点(异于点 ),证明:当直线 , 的斜率均存在时, , 的斜率之积为定值. 【答案】(1) (2)证明见解析【分析】(1)根据题中条件找到双曲线中的 ,从而求出 的方程. (2)利用平移齐次化进行证明即可. 【解析】(1)由双曲线 过点 ,则 , 又离心率为2,则 ,即 , ,即 ,代入 , 可得, , , 因此, 的方程为: . (2) 将双曲线 向左平移2个单位长度,向下平移3个单位长度,得到双曲线 为 ,得到 的双曲线 如图所示, 则 平移到 , 平移到 , 平移后 , 变为 , ,设 , ,直线 的方程为: ①, ②, 将①代入②,用“1”的代换得 ,则, 各项同时除以 ,得 ,则 , 又直线 过 ,则 ,即 , 因此 , 故当直线 , 的斜率存在时, , 的斜率之积为定值 . 【点睛】方法点睛:平移齐次化的步骤, (1)平移; (2)与圆锥曲线联立并其次化; (3)同除 ; (4)利用根与系数的关系进行证明结论;如果是过定点的问题还需要平移回去. 2.(2024·云南·模拟预测)抛物线 的图象经过点 ,焦点为 ,过点 且倾斜角 为 的直线 与抛物线 交于点 , ,如图. (1)求抛物线 的标准方程; (2)当 时,求弦 的长; (3)已知点 ,直线 , 分别与抛物线 交于点 , .证明:直线 过定点. 【答案】(1) (2) (3)证明见解析【分析】(1)由曲线 图象经过点 ,可得 ,则得抛物线 的标准方程; (2)写出 的方程,和抛物线方程联立,消元后,由韦达定理可得 ,则 ; (3)设直线 的方程为 , , , , ,和抛物线方程联立, 消元后,由韦达定理可得 , .直线 的方程为 ,和抛物线方程联立,消元 后,由韦达定理可得 ,同理可得 ,由 ,可得 ,则直线 的方程为 ,由对称性知,定点在 轴上,令 ,可得 ,则的直线 过定点 . 【解析】(1)曲线 图象经过点 ,所以 ,所以 , 所以抛物线 的标准方程为 . (2)由(1)知 ,当 时, ,所以 的方程为 , 联立 ,得 ,则 , 由 ,所以弦 . (3)由(1)知 ,直线 的斜率不为0,设直线 的方程为 , , , , , 联立 得 , , 因此 , .设直线 的方程为 ,联立 得 , 则 ,因此 , ,得 , 同理可得 , 所以 . 因此直线 的方程为 , 由对称性知,定点在 轴上, 令 得, , 所以,直线 过定点 . 【点睛】方法点睛:求解直线过定点问题常用方法如下: (1)“特殊探路,一般证明”:即先通过特殊情况确定定点,再转化为有方向、有目的的一般性证明; (2)“一般推理,特殊求解”:即设出定点坐标,根据题设条件选择参数,建立一个直线系或曲线的方程, 再根据参数的任意性得到一个关于定点坐标的方程组,以这个方程组的解为坐标的点即为所求点; (3)求证直线过定点 ,常利用直线的点斜式方程 或截距式 来证明. 3.(2024·重庆沙坪坝·模拟预测)如图, 在平面直角坐标系 中,双曲线 的上 下焦点分别为 , . 已知点 和 都在双曲线上, 其中 为双曲线的离心率.(1)求双曲线的方程; (2)设 是双曲线上位于 轴右方的两点,且直线 与直线 平行, 与 交于点 . (i) 若 ,求直线 的斜率; (ii) 求证: 是定值. 【答案】(1) (2)(i) ;(ii) 【分析】(1)将点的坐标代入双曲线的方程求解即可; (2)(I)构造平行四边形 ,求出 ,然后利用弦长公式求直线 的斜率即可; (II)利用三角形相似和双曲线的性质,将 转化为 ,然后结合韦达定理求解 即可. 【解析】(1)将点 和 代入双曲线方程得: ,结合 ,化简得: ,解得 , 双曲线的方程为 .(2)(i) 设 关于原点对称点记为 , 则 . 因为 ,所以 , 又因为 ,所以 ,即 , 故 三点共线. 又因为 与 互相平分,所以四边形 为平行四边形,故 , 所以 . 由题意知,直线 斜率一定存在, 设 的直线方程为 ,代入双曲线方程整理得: ,故 , 直线 与双曲线上支有两个交点,所以 ,解得 . 由弦长公式得 , 则 ,且由图可知 ,即 ,代入解得 . (ii) 因为 ,由相似三角形得 , 所以 . 因为 . 所以 ,故为定值. 【点睛】关键点点睛:第二问(ii)的关键是将 转化为 ,结合韦达定理即可顺利 得解. 4.(2024·福建南平·模拟预测)已知抛物线 的准线 与圆 相切. (1)求 的方程; (2)点 是 上的动点,且 ,过点 作圆 的两条切线分别与 交于 两点,求 面积的 最小值. 【答案】(1) (2) . 【分析】(1)利用准线 与圆 相切求出 可得答案;(2)设直线 、 的方程分别为 、 ,可得 ,过点 的圆 的切线方程与圆相切可得 ,再由韦达定理 ,再利用换元法、基本不等式求最值可得 答案. 【解析】(1)因为准线 与圆 相切, 所以 ,即 , 所以 的方程为 ; (2)由(1)知准线 的方程为 , 因为 ,所以直线 的斜率均存在, 设直线 的方程为 , 当 时, , 设直线 的方程为 , 当 时, , 由题意得 , 设过点 的圆 的切线方程为 则 ,化简得 , ,则 , 所以 . , 又 ,所以 , 令 , 则 , 因为 , 所以 , 当且仅当 即 等号成立,此时 , 故 面积的最小值为 . 【点睛】方法点睛:处理直线与圆的位置关系时,若两方程已知或圆心到直线的距离易表达,则用几何法; 若方程中含有参数,或圆心到直线的距离的表达较繁琐,则用代数法. 5.(2024·安徽合肥·模拟预测)已知 分别为椭圆 的左顶点和上顶点,过 点作一条斜率存在且不为0的直线与 轴交于点 ,该直线与 的一个交点为 ,与曲线 的另一个交点为 . (1)若 平分 ,求 的内切圆半径; (2)设直线 与 的另一个交点为 ,则直线 的斜率是否为定值?若是,求出该定值;否则,说明理 由. 【答案】(1) (2)是,且该定值为 【分析】(1)结合题意可得直线 的方程,即可得点 坐标,从而结合斜率公式可得 ,即可通 过求角平分线交点得到内切圆圆心坐标,即可得内切圆半径; (2)设出直线 的方程,通过联立曲线,逐步得到所需 点坐标, 点坐标与 点坐标,从而结合斜率 公式表示斜率后求解即可得. 【解析】(1)由 可得 ,则 , , 故 ,令 ,解得 或 , 当 时,交点为点 ,舍去,当 时, , 即 ,则 ,故 , , 则 ,令 ,则 ,即 ,则 为 的角平分线,联立 ,有 , 则点 为 内心, 故 的内切圆半径等于圆心到 轴的距离,即 ; (2)设 ,联立 ,可得 , 则 ,则 ,即 , 联立 ,有 , 则 ,则 ,即 , 则 ,故 , 联立 ,得 , 则由 , ,故 , 则 ,即 , 故 , 即直线 的斜率是否为定值,且该定值为 .【点睛】关键点点睛:本题最后一问关键点在于借助所设直线方程,通过联立曲线,逐步得到所需 点坐 标, 点坐标与 点坐标,从而结合斜率公式表示斜率后求解. 6.(2024·河北石家庄·三模)已知椭圆 的左、右焦点分别为 为坐标原点,直线 与 交于 两点,点 在第一象限,点 在第四象限且满足直线 与直线 的斜 率之积为 .当 垂直于 轴时, . (1)求 的方程; (2)若点 为 的左顶点且满足 ,直线 与 交于 ,直线 与 交于 . ①证明: 为定值; ②证明:四边形 的面积是 面积的2倍. 【答案】(1) (2)①证明见解析;②证明见解析 【分析】(1)取 垂直 轴特殊情况研究,由直线 与直线 的斜率之积为 ,且 求 出 点坐标,再代入椭圆方程待定系数法求解即可; (2)①由 建立 坐标之间关系,利用 在椭圆上及直线 与直线 的斜率之 积为 消去 ,即可得证;②设 ,利用韦达定理将直线 与直线 的斜率之积 为 表示出来即可得到 的关系 ,再表示出 面积 ,四边形 的面积 ;若要证 ,只需证 .转化为证明 ,由题将 用 表示,化简即可. 【解析】(1)当 垂直 轴时,由直线 与直线 的斜率之积为 ,故 , 设 ,则 ,解得 , 即 ,则 ,解得 , 故 的方程为 ; (2)(2)①设 , 由 知 , 将 得 , 即 . 由 为 上点,则 . 又直线 与直线 的斜率之积为 ,故 ,即 . 因此 ;②由题直线 斜率不为0,设 由①联立 , 消去 得 , , 由 , 即 , 即 . 因此有 . 面积 , 四边形 的面积 , 即若要证 ,只需证 . 设 ,故只需证 即可. 直线 , 联立解得 , 同理得 . 故 故问 题得证.【点睛】关键点点睛: 本题解题的关键是将 表示为 后将同一直线上的弦长比值问题转化为纵坐标 的比值问题,即证明 ,而 可以用 表示出来,从而达到消元化简的目的.