当前位置:首页>文档>消灭易错人文地理选择题50题专练(原卷版)_2025年新高考资料_二轮复习_01高考语文等多个文件_2025年高三地理高考二轮复习专项提升_易错专练

消灭易错人文地理选择题50题专练(原卷版)_2025年新高考资料_二轮复习_01高考语文等多个文件_2025年高三地理高考二轮复习专项提升_易错专练

  • 2026-04-29 05:10:52 2026-04-29 03:42:52

文档预览

消灭易错人文地理选择题50题专练(原卷版)_2025年新高考资料_二轮复习_01高考语文等多个文件_2025年高三地理高考二轮复习专项提升_易错专练
消灭易错人文地理选择题50题专练(原卷版)_2025年新高考资料_二轮复习_01高考语文等多个文件_2025年高三地理高考二轮复习专项提升_易错专练
消灭易错人文地理选择题50题专练(原卷版)_2025年新高考资料_二轮复习_01高考语文等多个文件_2025年高三地理高考二轮复习专项提升_易错专练
消灭易错人文地理选择题50题专练(原卷版)_2025年新高考资料_二轮复习_01高考语文等多个文件_2025年高三地理高考二轮复习专项提升_易错专练
消灭易错人文地理选择题50题专练(原卷版)_2025年新高考资料_二轮复习_01高考语文等多个文件_2025年高三地理高考二轮复习专项提升_易错专练
消灭易错人文地理选择题50题专练(原卷版)_2025年新高考资料_二轮复习_01高考语文等多个文件_2025年高三地理高考二轮复习专项提升_易错专练
消灭易错人文地理选择题50题专练(原卷版)_2025年新高考资料_二轮复习_01高考语文等多个文件_2025年高三地理高考二轮复习专项提升_易错专练
消灭易错人文地理选择题50题专练(原卷版)_2025年新高考资料_二轮复习_01高考语文等多个文件_2025年高三地理高考二轮复习专项提升_易错专练
消灭易错人文地理选择题50题专练(原卷版)_2025年新高考资料_二轮复习_01高考语文等多个文件_2025年高三地理高考二轮复习专项提升_易错专练
消灭易错人文地理选择题50题专练(原卷版)_2025年新高考资料_二轮复习_01高考语文等多个文件_2025年高三地理高考二轮复习专项提升_易错专练
消灭易错人文地理选择题50题专练(原卷版)_2025年新高考资料_二轮复习_01高考语文等多个文件_2025年高三地理高考二轮复习专项提升_易错专练
消灭易错人文地理选择题50题专练(原卷版)_2025年新高考资料_二轮复习_01高考语文等多个文件_2025年高三地理高考二轮复习专项提升_易错专练
消灭易错人文地理选择题50题专练(原卷版)_2025年新高考资料_二轮复习_01高考语文等多个文件_2025年高三地理高考二轮复习专项提升_易错专练
消灭易错人文地理选择题50题专练(原卷版)_2025年新高考资料_二轮复习_01高考语文等多个文件_2025年高三地理高考二轮复习专项提升_易错专练
消灭易错人文地理选择题50题专练(原卷版)_2025年新高考资料_二轮复习_01高考语文等多个文件_2025年高三地理高考二轮复习专项提升_易错专练

文档信息

文档格式
docx
文档大小
0.996 MB
文档页数
11 页
上传时间
2026-04-29 03:42:52

文档内容

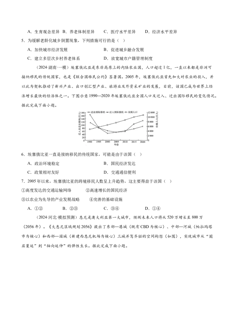
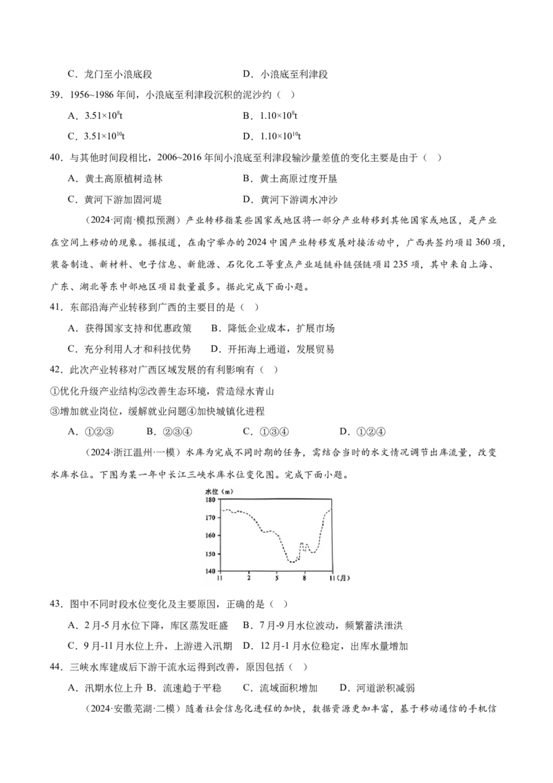
人文地理选择题 50 题专练 (2025·全国·模拟预测)2021年法国总人口约为6760万,移民比例约为10.3%,移民主要来自非洲 和亚洲,其中非洲移民人口约占总移民人口的50%。近年来,因大量引进移民导致法国的“移民问题”日 益突出。下图示意2020~2021年法国本土移民人口分布,颜色越深表示移民人口数量越多。据此完成下面 小题。 1.法国移民人口占比较高的根本原因是该国( ) A.国土面积广阔 B.消费市场萎缩 C.自然环境优良 D.人口问题突出 2.影响法国本土移民分布的主要因素是( ) A.自然环境 B.地理位置 C.社会资源 D.消费水平 3.法国“移民问题”日益突出的主要表现是( ) A.城市环境恶化,人口容量降低 B.劳动力素质低,高新产业衰退 C.人口结构失衡,生育意愿降低 D.失业人数增多,种族融合困难 (2024·河北·模拟预测)“中国式”现代化以人口规模巨大为基础,城乡倒置的老龄化格局是“中 国式”现代化时期的基本国情,乡村率先进入超老龄社会,率先经受老龄化大潮冲击,面临的压力超过城 镇。图为我国城乡人口老龄化水平(含预测)。完成下面小题。 4.导致老龄化城乡倒置的根本原因是城乡间( )A.生育观念差异 B.养老体制差异 C.医疗水平差异 D.经济水平差异 5.为缓解老龄化城乡倒置现象,下列措施可行的是( ) A.加快城市经济发展 B.促进城乡融合发展 C.建立多层次乡村养老体系 D.放宽城市户籍管理制度 (2024·湖南·一模)埃塞俄比亚是东非高原上的内陆农业国,人口超过1亿,一直以来都是非洲可 接纳移民的传统国家,也是《联合国难民公约》签署国。2005年,埃塞俄比亚首先加大对农业的投入,并 以此为契机推动了新兴产业、出口创汇型产业、旅游业及外资采矿业的发展,目前,该国已成为世界上经 济增长最快的经济体之一。下图示意1990—2020年埃塞俄比亚全国人口及迁入、迁出国际移民的变化情况。 据此完成下面小题。 6.埃塞俄比亚一直是接纳移民的传统国家,可能是由于该国( ) A.政治环境稳定 B.国民经济发达 C.政策相对友好 D.交通通信便利 7.2005年以来,埃塞俄比亚的跨境移民人数呈上升趋势,这主要得益于该国( ) ①高度发达的交通运输网络 ②高速增长的国民经济 ③以农业为先导的产业发展战略 ④完善的基础设施 A.①② B.②③ C.③④ D.①④ (2024·河北·模拟预测)悉尼是澳大利亚第一大城市,预测未来人口将从520万增长至800万 (2056年)。《大悉尼区域规划2056》提出了东部—港城(既有CBD为核心)、中部—河城(帕拉玛塔 市为核心)和西部—园城(新建西悉尼机场为核心)三城并驾齐驱的空间构想(如图),实现城市从“圈 层蔓延”到“轴向延伸”的弹性生长。据此完成下面小题。8.未来悉尼规划为三城并驾齐驱的空间构想的首要目的是( ) A.应对人口增长 B.提升国家形象 C.加强区域管理 D.吸引国家投资 9.悉尼要实现空间结构的“轴向延伸”应优先( ) A.保护生态环境 B.调整产业结构 C.改善居住条件 D.增强交通联结 10.功能互补、错位发展的多中心城市结构能最大程度提高各类资源的配置效率。东部、中部、西部三城 的产业功能定位分别是( ) ①物流、交通、旅游业 ②创新产业、金融服务 ③健康、教育、制造业 A.①②③ B.②③① C.③①② D.①③② (2024·浙江温州·一模)临空经济区是指以空港为中心,半径约15至20公里范围的临空指向性产 业集聚区。下图为基于距空港距离远近划分的临空产业分布图。完成下面小题。 11.基于临空指向性的强弱,以下产业布局合理的是( ) A.甲一休闲旅游现代农业 B.乙一航空物流商务办公 C.丙一旅客服务航空维修 D.丁一专业会展紧急救援 12.为充分发展临空经济区,规划空港时,应与所依托城市的城区( ) A.紧密接壤,依托发展 B.保持距离,缩小腹地 C.产业趋同,经济协作 D.干线连接,加强联系(2024·四川绵阳·一模)北川新县城道路网规划布局以优先满足可达性为基本前提,采用“窄路密 网”设计,以增加低碳出行。图为两种不同城市路网过街距离示意图(单位/米)。据此完成下面小题。 13.与“窄路密网”相比,“宽路疏网”设计容易出现( ) ①机动车出行率增加②公共交通覆盖率高 ③路口的等候时间长④实际通行流量减小 A.①②③ B.②③④ C.①③④ D.①②④ 14.“窄路密网”符合低碳出行,主要是因为( ) ①机动车道和人行道共用②路口通行效率较高 ③路口信号灯的数量减少④步行出行机率增加 A.①② B.③④ C.①③ D.②④ (2024·贵州·模拟预测)城市轨道交通站点周边功能是城市土地利用状况和空间活力的综合反映。 2011年以来,西安轨道交通进入快速发展时期,截至2020年,西安共拥有6条轨道交通线路108个站点, 客流总量居全国第8位。下图示意2011—2020年西安市站点功能类型演变。据此完成下面小题。 15.西安市轨道交通站点周边商服型、混合型用地占比变化的主导因素是( ) ①人口规模 ②噪声干扰 ③用地空间 ④土地成本 A.①② B.①④ C.②③ D.②④ 16.随着西安市轨道交通线网的加密,会出现( ) ①主城区新增站点对周边功能影响力较小 ②主城区既有站点对周边功能影响力剧升③郊区新增站点对周边功能影响力上升 ④郊区既有站点对周边功能影响力下降 A.①③ B.①④ C.②③ D.③④ (2024·浙江·模拟预测)2024年11月,浙江“十城百店·浙疆有礼”工程升级焕新。工程升级实现 了受援地农产品‘卖浙江’向‘卖全国’转变,并建立健全了‘疆果东送、浙产西进’网络。完成下面小 题。 17.浙江十城百店工程开启“疆果东送”,其依赖的突出优势是( ) A.劳动力素质高 B.加工技术先进 C.公共服务完善 D.消费市场庞大 18.浙产西进过程中,农业应着力实现( ) A.规模小型化 B.品种单一化 C.发展链条化 D.加工分散化 (2024·河南·模拟预测)山丹县位于甘肃省西北部河西走廊中段,是甘肃省的农业大县,长期以来 农业发展与生态矛盾一直是困扰山丹县农业经济发展的一大难题。近年来,山丹县采取集体经济发展模式, 以品牌企业为龙头,农产品实行“统购、统销、统一管理”的集体经济发展模式,当地村“两委”融合, 农产品直接对接在城市布局的供销社,因地制宜探索出一条集农业特色产业、特色农产品销售、乡村旅游 为一体的供销服务新道路。下图示意山丹县集体经济产业模式。完成下面小题。 19.山丹县农业经济发展与生态矛盾的关键难题是( ) A.耕地资源的质量 B.水资源数量分配 C.劳动力供给问题 D.农业生产技术 20.供销社统购统销模式的优势是( ) A.增加农产品销售渠道 B.减少农产品营销费用 C.提高农产品的知名度 D.有效减少供需信息差 21.山丹县特色农业经济发展模式对我国乡村经济发展的借鉴意义有( ) ①优化农村农产品结构②积极促进农村产业结构优化升级③积极整合农村优质资源④扩大农业规模,发展规模经济 A.①② B.①④ C.②③ D.③④ (2024·广东广州·一模)电致变色显示技术,是指由电致变色材料做成的器件在外加电场作用下发 生稳定、可逆的颜色变化技术,可广泛应用于户外广告、大型建筑物玻璃幕墙等。某大学研究团队利用锌 电极着色过程能自发放电的优势,研发了“锌”型电致变色显示器材,为智能电子产品带来革命性变化。 据此完成下面小题。 22.大型建筑物传统玻璃幕墙替换为电致变色智能玻璃可以( ) ①减少光污染②降低室内能耗③增强抗震性能④降低建造成本 A.①② B.②③ C.③④ D.①④ 23.与传统电致变色显示器材相比,“锌”型电致变色显示器材的突出优势是( ) A.制造难度低 B.应用场景多 C.能源消耗少 D.生产成本低 (2024·浙江嘉兴·一模)核能供热是利用核能机组冷却后的部分热水和蒸汽作为热源,传递给终端 用户的供热方式。2021年山东省海阳市开始使用核能供热,成为我国第一座“零碳”供暖全覆盖的城市。 完成下面小题。 24.影响海阳市等我国东部沿海城市布局核电站的主导因素是( ) A.市场 B.科技 C.交通 D.劳动力 25.海阳市使用核能供热对当地及周边地区的生态意义有( ) ①减轻环境污染②节约淡水资源③优化能源结构④保护海洋生物 A.①② B.②③ C.③④ D.①④ (2024·吉林长春·一模)2000年,浙江省永康市在经历了上千家保温杯生产企业的短暂繁荣与激烈 竞争后,少数幸存企业聚焦质量,不断迭代升级。目前,永康保温杯生产已经形成了完整的产业链,配套 企业达2500余家。其产品逐步向智能化、年轻化、个性化发展。通过直播带货等方式,永康保温杯远销全 国。完成下面小题。 26.永康保温杯发展初期没有形成持续繁荣的原因是( ) ①生产过程劳动力成本过高②生产企业之间无序竞争 ③产品品质不高认可度较低④保温杯市场需求量较小 A.①② B.②③ C.③④ D.①④ 27.永康保温杯产业发展过程中形成完整产业链的主要作用是( ) A.提高保温杯的附加值 B.降低原料异地采购成本 C.促进产业分工精细化 D.吸引资金和人才的加入 28.永康保温杯产业的发展之路给我们带来的启示是( )①政府要制定统一的规划与建设②丰富营销手段拓展新市场 ③产业发展要与区域资源相适配④注重企业间的协作与配合 A.①③ B.①④ C.②③ D.②④ (2024·四川攀枝花·一模)数字游民是指依靠互联网和数字工具进行远程工作,追求自由、灵活的 生活方式的群体。近年来,浙江安吉、安徽黔县、云南大理等地诞生了多个数字游民聚居的社区。这些社 区集群体生活、共享办公、公共服务为一体,实现了乡村振兴与数字游民的“双向奔赴”。完成下面小题。 29.与一般村镇相比,数字游民社区的突出特点是具有( ) A.政策的大力支持 B.完善的基础设施 C.低廉的生活成本 D.秀丽的自然风光 30.现阶段,数字游民对乡村发展的影响主要表现为( ) A.宣介特色产业,提升经济活力 B.规划乡村发展,参与社区管理 C.传承地域文化,促进人地协调 D.发挥知识专长,培养村民技能 (2024·河北石家庄·模拟预测)产业结构偏离度反应产业结构与就业结构的偏离状态。产业结构偏 离度越接近于0,表明产业结构与就业结构越合理。当产业结构偏离度值为正值时,说明该类型产业对就 业人口的吸纳能力越充裕;当值为负值时,说明该类型产业对就业人口的吸纳能力基本处于饱和。图示意 非洲五国三次产业结构偏离度,安哥拉极高的工业偏离度映射了石油产业对经济的显著贡献,但石油产业 创造的就业机会有限。据此完成下面小题。 31.三次产业结构与就业结构较为协调的国家是( ) A.赞比亚 B.坦桑尼亚 C.肯尼亚 D.布隆迪 32.为了提高就业市场的有效性,安哥拉主要考虑发展的产业类型是( ) A.资源密集型产业 B.劳动密集型产业 C.资本密集型产业 D.技术密集型产业 33.根据产业结构偏离度状况,上述五国未来政策的重点在于( ) ①扩大农业产业的规模和经营种类 ②提高工业和服务业就业水平与质量 ③加强就业者职业教育和技能培训④完善偏远落后地区的基础设施建设 A.①③ B.①④ C.②③ D.②④ (2024·广东广州·一模)2024年9月26日,南方航空公司成功开通广州至香港的直升机跨境航线, 标志着粤港澳大湾区低空出行网络建设迈入新阶段。据此完成下面小题。 34.该航线的开通促进了粤港两地( ) ①旅游业发展②商务活动往来③制造业转移④航天技术进步 A.①② B.③④ C.①③ D.②④ 35.直升机飞行过程中常用的地理信息技术有( ) ①遥感②全球卫星导航系统③地理信息系统④人工智能 A.①③ B.②③ C.①④ D.②④ (2025·全国·模拟预测)2023年5月1日至2日,山东电力市场现货交易中心连续出现21小时的实 时负电价(指电力市场中的价格低于零的情况),刷新了国内电力现货市场负电价持续时间段记录。2022 年山东省清洁能源发电装机7000万千瓦,是我国清洁能源装机量最大的省份。据此完成下面小题。 36.此次山东省电力出现负电价的原因有( ) ①用电量需求减小②产业对外转移③清洁能源发电占比较高④国家政策调控 A.①② B.②④ C.③④ D.①③ 37.电力市场中出现负电价频率较高的国家最可能是( ) A.美国 B.巴西 C.德国 D.卡塔尔 (2024·江西景德镇·一模)黄河下游西起桃花峪,东至渤海入海口,泥沙淤积严重,泥沙主要来自 于黄土高原的水土流失。近年来,我国通过实施水土保持工程,兴建水利工程,对黄河各段的输沙量产生 了深远的影响。图1为黄河中下游示意图,图2为主要水文站不同时段实测年均输沙量数据。据此完成下 面小题。 38.黄河流域各段中,水土流失最严重的河段是( ) A.头道拐以上河段 B.头道拐至龙门段C.龙门至小浪底段 D.小浪底至利津段 39.1956~1986年间,小浪底至利津段沉积的泥沙约( ) A.3.51×108t B.1.10×108t C.3.51×1010t D.1.10×1010t 40.与其他时间段相比,2006~2016年间小浪底至利津段输沙量差值的变化主要是由于( ) A.黄土高原植树造林 B.黄土高原过度开垦 C.黄河下游加固河堤 D.黄河下游调水冲沙 (2024·河南·模拟预测)产业转移指某些国家或地区将一部分产业转移到其他国家或地区,是产业 在空间上移动的现象。据报道,在南宁举办的2024中国产业转移发展对接活动中,广西共签约项目360项, 装备制造、新材料、电子信息、新能源、石化化工等重点产业延链补链强链项目235项,其中来自上海、 广东、湖北等东中部地区项目数量最多。据此完成下面小题。 41.东部沿海产业转移到广西的主要目的是( ) A.获得国家支持和优惠政策 B.降低企业成本,扩展市场 C.充分利用人才和科技优势 D.开拓海上通道,发展贸易 42.此次产业转移对广西区域发展的有利影响有( ) ①优化升级产业结构②改善生态环境,营造绿水青山 ③增加就业岗位,缓解就业问题④加快城镇化进程 A.①②③ B.②③④ C.①③④ D.①②④ (2024·浙江温州·一模)水库为完成不同时期的任务,需结合当时的水文情况调节出库流量,改变 水库水位。下图为某一年中长江三峡水库水位变化图。完成下面小题。 43.图中不同时段水位变化及主要原因,正确的是( ) A.2月-5月水位下降,库区蒸发旺盛 B.7月-9月水位波动,频繁蓄洪泄洪 C.9月-11月水位上升,上游进入汛期 D.12月-1月水位稳定,出库水量增加 44.三峡水库建成后下游干流水运得到改善,原因包括( ) A.汛期水位上升 B.流速趋于平稳 C.流域面积增加 D.河道淤积减弱 (2024·安徽芜湖·二模)随着社会信息化进程的加快,数据资源更加丰富,基于移动通信的手机信令时空大数据应用也越来越广。某科研小组基于手机信令数据,总结了北京市不同就业类型区的职工通勤 来源模式(如下图所示),其中箭头宽度表示通勤量大小。据此,完成下面小题。 45.甲、乙、丙、丁所代表的就业类型区分别是( ) A.科技研究集中区、商务办公集中区、大型制造基地、新城综合就业区 B.商务办公集中区、科技研究集中区、大型制造基地、新城综合就业区 C.商务办公集中区、大型制造基地、科技研究集中区、新城综合就业区 D.科技研究集中区、商务办公集中区、新城综合就业区、大型制造基地 46.据数据统计四类就业类型区中,丙区职工的平均通勤距离相对较远是因为其( ) A.位于中心城区,能吸引到长距离通勤人口 B.交通极其不便,单位距离通勤耗时较长 C.产业功能为主,提供的居住空间有限 D.居民收入高,私家车通行比例较高 (2024·广东·二模)2024年暑假期间,国家自然博物馆、北京天文馆等多家文博机构推出夜游模式, 开设各具特色的“夜游”“夜宿”活动,为游客带来全新的参观体验。据此完成下面小题。 47.下列与夜游博物馆模式的兴起关系最密切的是( ) A.交通发展 B.地租成本 C.信息技术 D.市场需求 48.夜游博物馆模式的兴起有利于当地( ) ①扩大夜经济规模②带动新兴产业发展③激发文旅新活力④缓解夜间交通拥堵 A.①② B.①③ C.②④ D.③④ (2024·江西景德镇·模拟预测)最新研究表明,冰盖消融形成的消融区内,冰盖重力导致的岩层形 变缓慢恢复。距今约1.8万年,北美冰盖开始消融,形成广大消融区。下图显示甲(位于太平洋北岸阿拉 斯加的基岩海岸区)站监测的海平面的相对变化。海平面的相对变化是陆面和海平面共同变化的结果。完 成下面小题。49.一般而言,冰盖消融导致的海平面和消融区陆面的垂直变化分别是( ) A.海平面上升,陆面上升 B.海平面下降,陆面下降 C.海平面上升,陆面下降 D.海平面下降,陆面上升 50.甲站监测显示阿拉斯加基岩海岸陆面垂直上升,主要原因可能是( ) A.海水温度高,蒸发增大 B.板块挤压陷落,海面下降 C.海水密度大,海面下降 D.岩层形变恢复,陆面上升