当前位置:首页>文档>55必修③第4章区域经济发展第33讲区域工业化与城市化——以我国珠江三角洲地区为例_通用版(老高考)复习资料_2023年复习资料_地理高三一轮复习系列_156

55必修③第4章区域经济发展第33讲区域工业化与城市化——以我国珠江三角洲地区为例_通用版(老高考)复习资料_2023年复习资料_地理高三一轮复习系列_156

  • 2026-04-29 17:35:40 2026-04-29 17:26:11

文档预览

55必修③第4章区域经济发展第33讲区域工业化与城市化——以我国珠江三角洲地区为例_通用版(老高考)复习资料_2023年复习资料_地理高三一轮复习系列_156
55必修③第4章区域经济发展第33讲区域工业化与城市化——以我国珠江三角洲地区为例_通用版(老高考)复习资料_2023年复习资料_地理高三一轮复习系列_156
55必修③第4章区域经济发展第33讲区域工业化与城市化——以我国珠江三角洲地区为例_通用版(老高考)复习资料_2023年复习资料_地理高三一轮复习系列_156
55必修③第4章区域经济发展第33讲区域工业化与城市化——以我国珠江三角洲地区为例_通用版(老高考)复习资料_2023年复习资料_地理高三一轮复习系列_156
55必修③第4章区域经济发展第33讲区域工业化与城市化——以我国珠江三角洲地区为例_通用版(老高考)复习资料_2023年复习资料_地理高三一轮复习系列_156
55必修③第4章区域经济发展第33讲区域工业化与城市化——以我国珠江三角洲地区为例_通用版(老高考)复习资料_2023年复习资料_地理高三一轮复习系列_156
55必修③第4章区域经济发展第33讲区域工业化与城市化——以我国珠江三角洲地区为例_通用版(老高考)复习资料_2023年复习资料_地理高三一轮复习系列_156
55必修③第4章区域经济发展第33讲区域工业化与城市化——以我国珠江三角洲地区为例_通用版(老高考)复习资料_2023年复习资料_地理高三一轮复习系列_156
55必修③第4章区域经济发展第33讲区域工业化与城市化——以我国珠江三角洲地区为例_通用版(老高考)复习资料_2023年复习资料_地理高三一轮复习系列_156
55必修③第4章区域经济发展第33讲区域工业化与城市化——以我国珠江三角洲地区为例_通用版(老高考)复习资料_2023年复习资料_地理高三一轮复习系列_156
55必修③第4章区域经济发展第33讲区域工业化与城市化——以我国珠江三角洲地区为例_通用版(老高考)复习资料_2023年复习资料_地理高三一轮复习系列_156
55必修③第4章区域经济发展第33讲区域工业化与城市化——以我国珠江三角洲地区为例_通用版(老高考)复习资料_2023年复习资料_地理高三一轮复习系列_156
55必修③第4章区域经济发展第33讲区域工业化与城市化——以我国珠江三角洲地区为例_通用版(老高考)复习资料_2023年复习资料_地理高三一轮复习系列_156
55必修③第4章区域经济发展第33讲区域工业化与城市化——以我国珠江三角洲地区为例_通用版(老高考)复习资料_2023年复习资料_地理高三一轮复习系列_156
55必修③第4章区域经济发展第33讲区域工业化与城市化——以我国珠江三角洲地区为例_通用版(老高考)复习资料_2023年复习资料_地理高三一轮复习系列_156
55必修③第4章区域经济发展第33讲区域工业化与城市化——以我国珠江三角洲地区为例_通用版(老高考)复习资料_2023年复习资料_地理高三一轮复习系列_156
55必修③第4章区域经济发展第33讲区域工业化与城市化——以我国珠江三角洲地区为例_通用版(老高考)复习资料_2023年复习资料_地理高三一轮复习系列_156

文档信息

文档格式
docx
文档大小
1.676 MB
文档页数
13 页
上传时间
2026-04-29 17:26:11

文档内容

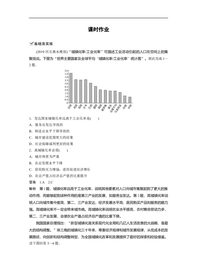
第 33 讲 区域工业化与城市化——以我国珠江三角洲地区 为例 [考纲呈现] 区域工业化和城市化的推进过程,产 生的主要问题及解决措施。 [思维导图] [考纲解读] 1.分析区域工业化、城市化的进程及 特点。(难点) 2.掌握区域工业化、城市化过程中出 现的问题及对策。(重点) 3.理解区域工业化与城市化的关系。 考点一 珠江三角洲地区工业化与城市化的条件和进程 1.工业化及衡量指标 (1)工业化:通常指机器大工业在国民经济中不断发展并达到占主导地位的过程,即国民经 济结构由农业占主导地位转变成工业占主导地位的过程。 (2)衡量工业化的结构性指标:①农业产值占国民生产总值的比重降到15%以下;②农业就 业人数占全部就业人数的比重降到20%以下;③城镇人口占总人口的比重超过60%。 2.工业化与城市化的关系 工业化与城市化是推动区域经济社会发展的主要动力,区域工业化必然带来城市化,城市化 反过来又会促进工业化。二者是一个相互影响、相互推动的发展过程。如下图所示:3.珠江三角洲地区推进工业化和城市化的背景和条件。 (1)特定的国际环境:发达国家和地区的产业结构调整。 (2)国家的改革开放政策,是对外开放的前沿,有许多优惠政策。 (3)良好的区位条件:位于我国南部沿海,毗邻港澳,靠近东南亚。 (4)全国最大的侨乡之一:与港澳同胞、海外华侨有共同的文化背景和亲密的血缘关系。 4.工业化对珠江三角洲地区城市化的推动作用 (1)工业化推进过程中的两个阶段 第一阶段 第二阶段 (2)工业化与城市化的推进 5.我国区域工业化和城市化的几种模式考向 区域工业化与城市化进程 1.阅读材料,回答下列问题。 材料一 2017年4月1日国家决定设立雄安新区(距北京100多千米),它是我国继深圳经济 特区和上海浦东新区之后又一具有全国意义的新区。 材料二 图1为深圳、浦东和雄安区位示意图。 材料三 图2为我国1980年三次产业构成图。 (1)改革开放后,1980年国家首先选择深圳建立经济特区。简述我国当时的产业状况及深圳 经济特区最主要的区位特点。 (2)为积极参与全球分工,1992年国家选择浦东设立新区,旨在将浦东新区建成国际经济、 金融、贸易、航运中心的核心区。与深圳特区相比,浦东新区的区位优势有 ________________________。 (3)目前,我国已成为世界第二大经济体,并积极推进“一带一路”建设和“京津冀协同发 展”。相比深圳、浦东的区位,分析雄安新区的空间位置特征及凭借的基础设施条件。(4)雄安新区的设立与深圳、浦东的成功经验,充分体现的地理科学重要思想是________。 答案 (1)以第二产业为主,第一产业大于第三产业。 邻近香港。 (2)滨江临海;水陆空交通发达;依托全国最大的经济中心;经济腹地大 (3)离北京、港口有一定距离。 快速交通的发展;信息网络技术的进步。 (4)因地制宜 解析 第(1)题,根据材料三可知当时我国产业状况,邻近香港是深圳经济特区最主要的区 位特点。第(2)题,与深圳特区相比,位于长三角地区上海市的浦东新区滨江临海,地理位 置优越,水陆空交通发达,依托全国最大的经济中心上海市,经济腹地广。第(3)题,由图 可看出雄安新区的位置特征,快速交通的发展和信息网络技术的进步改善了雄安新区的基础 设施。第(4)题,雄安新区的设立与深圳、浦东的成功经验,充分体现了地理科学的因地制 宜重要思想。 在区域发展过程中,城镇化进程与产业结构演化相伴相随。下图为“崇明县三大产业产 值比重和城镇化率变化图”。回答2~3题。 2.2000年到2012年,崇明县城镇化水平不断提高的主要原因是( ) ①第一产业效率提高,农村出现剩余劳力 ②第二产业长足进步,吸纳农村剩余劳力 ③第 三产业产值稳定,城镇人口不断增加 ④产业结构基本稳定,就业人口基本不变 A.①② B.②③ C.③④ D.①④ 3.崇明县需根据自身的环境和人才条件,调整第三产业,推进城镇化建设。其应该优先发 展的行业是( ) A.休闲旅游业 B.高端金融业 C.农贸批发业 D.房地产业 答案 2.A 3.A 解析 第2题,图中信息显示当地在2000~2012年间,第一产业比重迅速下降,第二产业 比重迅速上升。说明在此期间当地第二产业发展快,吸纳了大量农村剩余劳动力。第三产业 比重变化不大,但当地经济总量变大,故此期间第三产业产值不断增加。因此A正确。第3 题,崇明县位于长三角地区,区域内经济发达,居民消费水平高。崇明县独特的自然环境适 宜发展休闲旅游。A正确。考点二 区域工业化与城市化过程中的问题及解决措施 1.问题产生的原因 (1)受地区产业基础和市场腹地等条件的限制,对外资的吸引力正在下降。 (2)缺乏合理的规划与管理。 2.问题与对策 (1)产业升级面临困境 (2)城市建设相对落后 (3)生态环境问题日趋严重 考向 区域工业化和城市化中出现的问题与对策 (2018·全国文综Ⅲ)大别山区某国家级贫困县农民可分为跨村种田大户农民、种植自家承 包地农民、本地务工务农兼业农民和常年外出务工农民等类型。该县以当地优势资源为基础 的加工企业在县城活力较弱,但在中心集镇活力较强。下图示意该县居民点的等级结构。据 此完成1~2题。1.面向某类型农民的需求,有专家建议在该县推进“村—中心集镇双栖”居住模式。这种 模式旨在方便该类型农民( ) A.从事商业活动 B.留守子女上学 C.兼顾务工务农 D.扩大种田规模 2.为了实施乡村振兴战略,带领农民脱贫致富,该国家级贫困县可采取的有效措施是( ) ①推广大规模机械化种植 ②鼓励外出务工农民回乡创业 ③引导传统农民多种经营 ④推 进中心集镇房地产开发 A.①② B.②③ C.③④ D.①④ 答案 1.D 2.C 解析 第1题,D对:加工企业为劳动力导向型工业,由图可知,中心集镇周围乡村较多, 结合材料可知,该县农民以务农为主,为兼顾农活,农民一般选择在距离较近的工厂打工, 因此中心集镇更易招募周边劳动力。A错:县城为区域的中心,其基础设施更完善。B错: 在山区的县城一般是一个县中人口最集中的区域,中心集镇以当地优势资源为基础加工出来 的产品,应该在县城的销售量会更大。C错:县城是区域经济中心,资金比中心集镇更充裕。 第2题,C对:兼顾务工务农的农民,农忙时节在农村忙碌,农闲时节可能到中心集镇打工, 因此“村—中心集镇双栖”居住模式对他们而言最适合。A错:从事商业活动的人,一般会 定居在商业活动频繁的中心集镇或县城,而不在农村居住。B错:留守子女指长期外出务工 农民的子女,这些孩子上学时一般固定在学校及附近小范围区域,不可能在农村和中心集镇 之间频繁移动。D错:扩大种田规模的农民主要从事农业活动,更适宜在农村定居。 3.(2018·南昌模拟)改革开放以来,珠江三角洲地区的工业化与城市化进程快速推进,但也 产生了各种问题。结合下图,回答下列问题。 (1)该地区发展面临的主要环境问题是什么?其产生的原因是什么? (2)20世纪90年代以来,珠江三角洲地区产业升级面临困境,许多外资企业迁往长江三角洲地区。试从影响工业布局因素的角度分析原因。 (3)据图分析,珠江三角洲主要城市在工业结构和城市职能方面,存在哪些阻碍区域进一步 发展的问题?为此应采取什么措施? 答案 (1)问题:大气污染(或酸雨)、水污染等。原因:工业生产造成的污染(或人类工业生 产活动);生活污水污染(或人类生活活动);农业生产污染(或农药、化肥过量使用)。 (2)珠江三角洲地区区位条件的变化:政策优势明显下降;环境污染严重;南岭的阻隔,使 其腹地范围小。长江三角洲地区的区位优势:浦东新区的开发,吸引了大量投资;有产业基 础、科技与人才优势;经济腹地广阔,水陆交通发达。 (3)问题:结构趋同,功能不清,重工业和机械制造业不发达。 措施:各城市加强分工与合作,发展石化、钢铁、造船等原材料加工业和装备制造业,构建 以香港、广州和深圳为中心的大珠江三角洲城市群。 4.就地式城市化是指农村人口一般不离开居住地,而农村逐步向城镇转化,这是城市化的 一种新趋势。阅读下列图文资料,回答问题。 材料一 乐清市地处浙江省东部沿海,2010年常住人口约138.93万人,其中农村人口约占 82.6%。据2009年统计,农林牧渔业的从业人员为16.31万人,比1999年减少了约25%。 材料二 2009年以来,乐清市实现了电话、有线电视家家通;自来水受益村数达到858个, 比重为94%;垃圾集中处理村数达811个,比重为89%;村级全民健身苑达715个,篮球场 506个。“十一五”期间,该市实行城乡免费义务教育,60周岁以上农村居民基础养老金享 受率达到100%。 (1)归纳乐清市城市化过程中劳动人口结构、产业结构发生的变化。 (2)在城市化进程中,乐清市就地式城市化方式起到了显著作用。分析乐清市就地式城市化 过程中采取的主要措施。 答案 (1)从劳动人口结构变化看:从事农林牧渔业的从业人员2009年比1999年减少了约四 分之一,表明农业劳动人口数量急剧下降。从产业结构变化看:与1978年相比,2010年乐 清市第一产业产值比重显著下降,第二、三产业产值比重均明显上升。 (2)建设现代化生活、文化娱乐和信息等基础设施;积极发展第二、三产业;加强环境建设, 提高环境质量;建立社会公共服务体系,使农民享受与城市人口一样的教育和养老服务,又 保持乡村的特色生活方式。(任答三点即可)课时作业 (2019·河北衡水模拟)“城镇化率/工业化率”可描述工业活动引起的人口在空间上的集 聚效应。下图为“世界主要国家及全球平均‘城镇化率/工业化率’统计图”。据此完成1~ 2题。 1.发达国家城镇化率远高于工业化率是( ) A.服务业发达导致的 B.制造业水平下降导致的 C.城市建设范围更大的结果 D.社会保障福利更好的结果 2.高城镇化率会使( ) A.城市病更为严重 B.农业发展水平下降 C.居民购买力增强,进而促进经济增长 D.农业产值占经济总产值的比重提升 答案 1.A 2.C 解析 第1题,城镇化率远高于工业化率,说明其他要素对人口向城市集聚起到了更大的推 动作用,而能够起到该种作用的是第三产业的发展,如服务业发达。第2题,高城镇化率说 明人口向城市集中度高,第二、三产业发达,经济发展水平高,居民购买产品和服务的能力 强。高城镇化率不一定会带来城市病。高城镇化率说明农业水平提高,农村剩余劳动力多, 第二、三产业发展,会使农业产值占经济总产值的比重下降。 我国国家总理指出:“新型城镇化是关系现代化全局和几亿人生活改善的大战略,是最 大的结构调整。”珠三角的城镇化三十年来,尊重经济规律和城市发展规律,从低成本的发 展路径,向创新和结构调整转型,为全国城镇化改革和发展提供了最好的探索和经验借鉴。 读下图回答3~4题。3.关于城市化对区域的影响,说法正确的是( ) A.农业用地生产活动密度减小 B.城市植物光合作用减弱 C.地表径流变化幅度减小 D.生态环境容量加大 4.目前下列产业能更好地促进珠江三角洲城市化发展的是( ) ①第一产业 ②第二产业 ③第三产业 ④高新技术产业 A.①② B.②③ C.③④ D.①④ 答案 3.B 4.C 解析 第3题,随着该区域城市化的大力发展,农业应朝着集约化的城郊农业发展,所以生 产活动密度会增加。随着城市化的发展,城市雾霾等大气污染现象的出现,会使到达地表的 太阳辐射减少,因此城市植物光合作用会减弱。随着城市化的发展,城市地面硬化面积增加, 地表对降水的滞留作用会降低,因此地表径流变化幅度会加大。由于城市化的发展,该区域 的生态环境趋于恶化,环境容量应该减小。第4题,目前珠江三角洲经济发展水平较高,所 以应大力发展第三产业和高新技术产业。 (2019·安徽巢湖月考)20世纪90年代,日本针对农业面临的发展窘境,提出了“第六产 业”的概念,即鼓励农户不仅种植农作物,而且从事农产品加工与销售,其内涵是指“1+2 +3”或“1×2×3”,目的是获取更多的利润。据此回答5~7题。 5.“第六产业”在日本的主体产业是( ) A.农业为主的第一产业 B.工业为主的第二产业 C.商业为主的第三产业 D.服务业为主的第三产业 6.日本发展“第六产业”的主要目的是( ) A.提高农业生产规模与产量 B.解决农村剩余劳动力的就业问题 C.加快乡村地区城市化步伐D.振兴农村农业,提升农产品附加值 7.下列我国农业模式最接近“第六产业”内涵的是( ) A.以“3S”技术为核心的精准农业 B.以种植、加工、旅游为一体的生态农庄 C.以科技为核心的杂交水稻种植 D.以林、草、粮、鱼为核心的立体农业 答案 5.A 6.D 7.B 解析 第5题,“第六产业”是鼓励农户在种植农作物基础上进行农产品加工与销售,所以 其发展的主体产业是农业,A正确。第6题,“第六产业”是在现有农业生产基础上发展, 并不一定要提高农业生产规模与产量,A错误;材料中没有关于日本农村剩余劳动力的信息, B错误;由材料中“目的是获取更多的利润”可知,其主要目的是通过延长产业链,进行农 产品深加工,提高产品附加值;振兴农村农业可以间接加快乡村地区城市化步伐,但这并不 是主要目的,D正确,C错误。第7题,通过材料可知,“第六产业”本质上是依托农业, 发展农产品加工、销售,拓宽农业类型,延长农业产业链,提升附加值,强调的是农业向第 二、三产业延伸,B正确。 下图为“我国某城市近五年相关产业占地区生产总值比重及平均增长率示意图”。回答8 ~10题。 8.据图可推知,该城市( ) A.轻工业所占比重上升 B.农副产品加工及食品制造业发展空间较小 C.批发和零售业可优先培育为主导产业 D.主导产业发展优势明显 9.为实现经济可持续发展,该城市可采取的措施有( ) ①改善环境质量,引进新兴产业 ②发展传统产业,吸收剩余劳动力 ③利用资源优势,延 长产业链 ④培育新兴产业,取代传统产业 A.①② B.③④ C.①③ D.②④ 10.依据城市化的推动因素,该地区城市化模式最接近我国( )A.珠江三角洲模式 B.东北模式 C.温州模式 D.苏南模式 答案 8.A 9.C 10.B 解析 第8题,①②是轻工业,从图中看轻工业近五年来增长率最高,说明轻工业比重上升, A正确;近五年来农副产品加工及食品制造业增长率仅次于皮鞋业,发展空间大;批发和零 售业占地区生产总值比重小,不足5%,不可能培育为主导产业;主导产业是石油化工和石 化产品制造业,但近五年增长率最低,发展优势不明显。第9题,该地区以石油资源开采和 加工为主,环境污染严重,应改善环境质量,引进新兴产业,而不是发展传统产业;该地区 资源丰富,可利用资源优势,延长产业链;培育新兴产业,但新兴产业不一定要取代传统产 业,C正确。第10题,从图中看该地区石油化工和石化产品制造业占地区生产总值比重最 大,超过60%,最接近东北模式,B正确;珠三角、温州、苏南地区矿产资源都不丰富。 (2019·石家庄质量检测)产业结构超前系数(E)是指某一产业增长相对于整个产业经济系 统增长趋势的超前程度,可用来测定某产业结构的变动方向。当E>1时,表示产业超前发 展,所占比重呈上升趋势;当E<1时,则表示产业相对滞后发展,所占比重呈下降趋势。 粤东、粤西地区和粤北山区是广东省除珠江三角洲以外的地区,习惯上被合称为“粤东西 北”,属于广东省内经济欠发达地区。下表示意2001~2013年“粤东西北”产业结构和制 造业行业结构超前系数。据此完成11~13题。 产业结构超前系数 制造业行业结构超前系数 时间 第一 第二 第三 时间 劳动 资源 资金、技 产业 产业 产业 密集型 密集型 术密集型 2001~ - 0.87 0.52 2005年 2.35 2006~ - 2001~ 2.13 1.35 1.51 0.66 -0.08 2010年 1.10 2013年 2011~ 0.88 0.21 1.31 2013年 11.2001~2013年,“粤东西北”( ) A.第一产业滞后发展趋势减缓 B.第二产业超前发展趋势稳定 C.第三产业超前发展趋势波动 D.三大产业发展趋势相同 12.2001~2013年,“粤东西北”制造业发展的主要方向是( ) A.技术密集型行业 B.资源密集型行业C.资金密集型行业 D.劳动密集型行业 13.2001~2013年,“粤东西北”产业结构调整升级过程中存在的主要问题可能是( ) A.第二产业生产力水平下降 B.制造业分工协作程度较低 C.产业经济效益持续降低 D.三大产业结构趋于不合理 答案 11.A 12.D 13.B 解析 第11题,由材料可知2001~2013年,“粤东西北”第一产业产业结构超前系数越来 越接近1,说明滞后发展趋势减缓,A正确;第二产业产业结构超前系数先小于1,后大于 1,再后来又小于1,说明超前发展趋势不稳定,B错误;第三产业产业结构超前系数先小 于1,后大于1,超前发展趋势较平稳,C错误;地区三大产业发展趋势并不相同,D错误。 第12题,从表中制造业行业结构超前系数可看出,“粤东西北”只有劳动密集型行业结构 超前系数大于1,说明其制造业主要发展方向是劳动密集型行业,D正确。第13题,由 2001~2013年“粤东西北”产业结构和制造业行业结构超前系数表中可看出,制造业分工 协作程度较低,B正确。 14.阅读图文材料,完成下列各题。 嘉兴一直为富庶繁华之地,被誉为“鱼米之乡、丝绸之府”。近些年来,嘉兴在一无能 源、二无资源的情况下,形成了“皮革之都”——海宁、羊毛衫市场——桐乡、木业大县 ——嘉善、服装中心——平湖等特色产业区域。 (1)根据材料分析嘉兴产业发展的优势区位条件。 (2)结合材料,分析说明嘉兴市经济结构方面存在的问题及其解决措施。 (3)改革开放初期,环太湖地区很多集镇人口没有大量进入城市,集镇慢慢发展成为小城市。 简述这种城市化发展方式对当地的影响。 答案 (1)嘉兴位于长江三角洲的中部,地理位置优越;交通便利;靠近消费市场;区域工 资水平高,吸引了大量劳动力等。 (2)问题:第二产业以劳动密集型工业为主,对资源消耗、交通运输要求高,技术含量低,环境污染严重,产品的附加值低等。措施:大力发展技术密集型、资金密集型、低污染、高 附加值的产业;大力推进第三产业的发展等。 (3)有利影响:提高区域城市化水平,促进区域整体发展;乡村地区得到发展,缩小城乡差 距,减轻了大城市的拥堵、污染等问题;促进农村土地资源的整合等。 不利影响:县级城市重复建设,投入高,削弱中心城市的辐射影响力等。 15.(2019·银川重点中学模拟)阅读材料,回答问题。 陶瓷产业能耗高,产出相对较低。潮州陶瓷有着悠久的历史,已经拥有较为完整的产业 链,但是却无法很好地发挥集聚效应,以形成区域竞争优势、塑造区域品牌。由于潮州早期 缺乏对土地的统一规划,企业布局出现“小而全”“遍地开花”的现象。 (1)描述潮州陶瓷企业的分布特点。 (2)分析潮州陶瓷产业发展过程中可能遇到的问题。 (3)陶瓷产业的发展对潮州市的城市化进程有什么影响? 答案 (1)潮州市的西南部陶瓷企业分布较为集中,东北部也有部分分布;主要沿交通线分 布。 (2)陶瓷烧制过程中需要消耗大量能源且会排放大量废气,故可能遇到能源供应不足和大气 污染等问题;区域缺少有竞争优势的品牌,可能遇到竞争力不足问题;缺乏统一规划,可能 遇到能源与原材料的浪费问题;用地紧张,占用大量耕地,可能遇到土地浪费问题;世界市 场竞争加剧,中小企业可能面临倒闭的风险等。 (3)陶瓷产业的发展可大幅度提高潮州市的工业化水平,吸引大量农村剩余劳动力涌入城市, 使该地区城市人口迅速增加;工业扩张使大量农业用地转变为工业用地,城市规模扩大。