当前位置:首页>文档>第26讲区域工业化和城市化进程-备战2023年高考地理一轮复习讲义+练习(全国通用)(原卷版)_9.2025地理总复习_2023年新高考复习资料_一轮复习_备战2023年高考地理一轮复习讲义+练习

第26讲区域工业化和城市化进程-备战2023年高考地理一轮复习讲义+练习(全国通用)(原卷版)_9.2025地理总复习_2023年新高考复习资料_一轮复习_备战2023年高考地理一轮复习讲义+练习

  • 2026-04-12 11:08:40 2026-03-13 10:11:57

文档预览

第26讲区域工业化和城市化进程-备战2023年高考地理一轮复习讲义+练习(全国通用)(原卷版)_9.2025地理总复习_2023年新高考复习资料_一轮复习_备战2023年高考地理一轮复习讲义+练习
第26讲区域工业化和城市化进程-备战2023年高考地理一轮复习讲义+练习(全国通用)(原卷版)_9.2025地理总复习_2023年新高考复习资料_一轮复习_备战2023年高考地理一轮复习讲义+练习
第26讲区域工业化和城市化进程-备战2023年高考地理一轮复习讲义+练习(全国通用)(原卷版)_9.2025地理总复习_2023年新高考复习资料_一轮复习_备战2023年高考地理一轮复习讲义+练习
第26讲区域工业化和城市化进程-备战2023年高考地理一轮复习讲义+练习(全国通用)(原卷版)_9.2025地理总复习_2023年新高考复习资料_一轮复习_备战2023年高考地理一轮复习讲义+练习
第26讲区域工业化和城市化进程-备战2023年高考地理一轮复习讲义+练习(全国通用)(原卷版)_9.2025地理总复习_2023年新高考复习资料_一轮复习_备战2023年高考地理一轮复习讲义+练习
第26讲区域工业化和城市化进程-备战2023年高考地理一轮复习讲义+练习(全国通用)(原卷版)_9.2025地理总复习_2023年新高考复习资料_一轮复习_备战2023年高考地理一轮复习讲义+练习
第26讲区域工业化和城市化进程-备战2023年高考地理一轮复习讲义+练习(全国通用)(原卷版)_9.2025地理总复习_2023年新高考复习资料_一轮复习_备战2023年高考地理一轮复习讲义+练习

文档信息

文档格式
docx
文档大小
0.493 MB
文档页数
7 页
上传时间
2026-03-13 10:11:57

文档内容

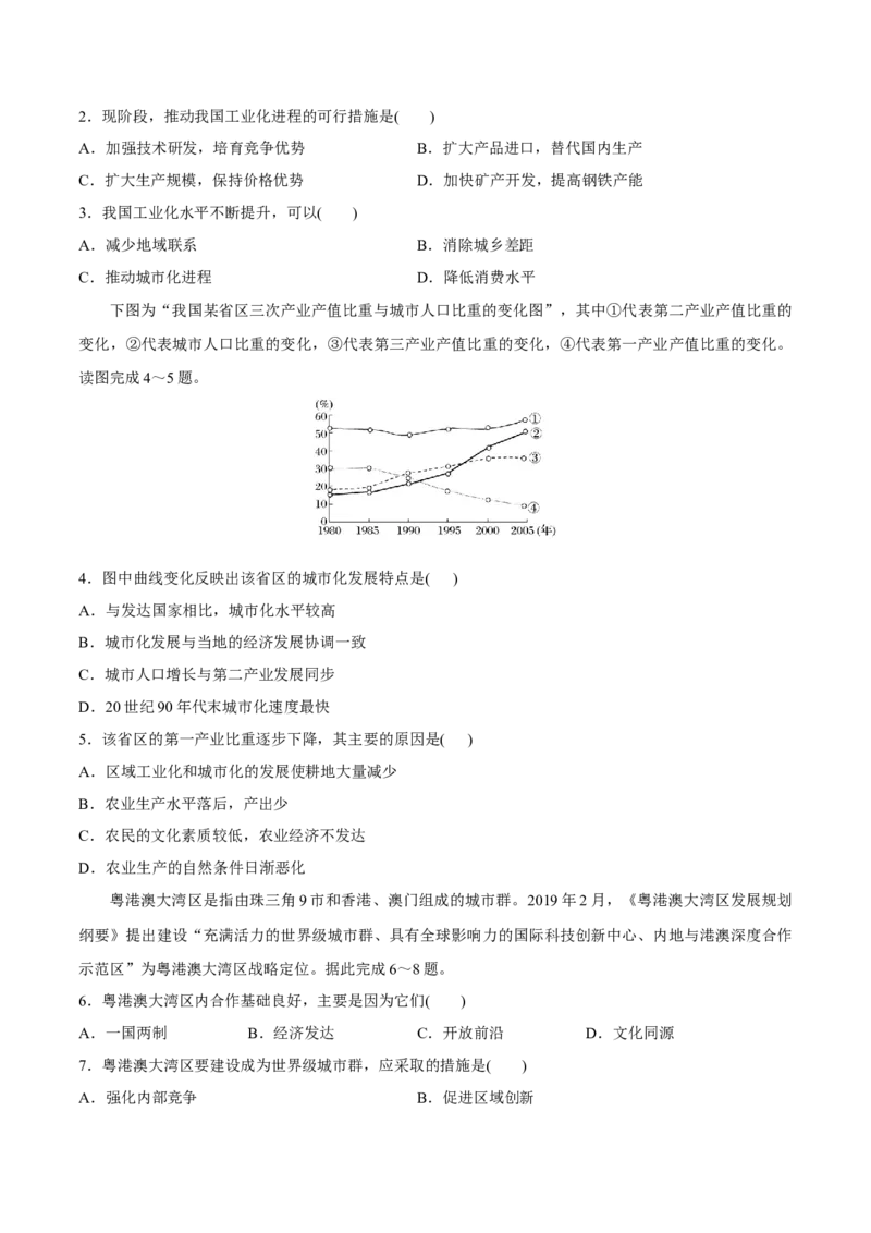
备战2023年高考地理一轮复习讲义+练习(全国通用) 第26讲 区域工业化和城市化 【基础知识梳理】 一、珠江三角洲城市化进程 1.珠江三角洲的位置与范围 (1)位置:位于广东省中南部,珠江下游。 (2)范围:包括A广州、B深圳、C珠海、佛山、江门、D东莞、中山等市的全部和惠州、肇庆两市的部分 县、市。广义的珠江三角洲还包括E香港和F澳门特别行政区。 2.城市化进程的阶段特点 阶段 改革开放初期 20世纪90年代中期以后 以发展小城镇为主导,工业企业发 区域中心城市(广州、深圳)的带动作 形成原因 展迅速,分布具有广泛性 用增强 城市和乡村融合、农业与非农产业 形成以核心城市为中心的城乡一体化 进程特点 相混杂的城乡一体化 和城镇高度密集的城市群体系 3.城市化水平高的表现 (1)城镇人口占总人口的比重大。 (2)城镇数量多,分布密度大。 (3)城镇的经济实力较强。 (4)外来劳动力所占的比重高,基础设施和社会服务比较完善。 二、工业化对珠江三角洲城市化的推动作用 1.工业化进程的阶段特点 夯实基础阶段 稳步发展阶段 时间 20世纪80年代以来 20世纪80年代中期以后 20世纪90年代以后进程 劳动密集型出口加 多种形式引进外资和技 更加注重质量和效益,工业结构 优化,技术提高,保持较高的增 特点 工业发展迅速 术,工业发展的步伐加快 长速度 形成以加工制造业为主的 为工业起步提供了 基本实现乡村工业化;面临发展 结果 经济特色,建立了轻型工 必要的资金积累 空间不足和工业资源有限等问题 业体系 2.工业化对城市化的推动作用 三、珠江三角洲的工业化和城市化问题 分类 问题 解决对策 ①大量占用耕地; ②城镇和工业过度密集; 工业化问题 ③环境污染严重; ④产业结构层次偏低等 ①建立山水城市生态模式; ①城市基础设施建设亟待完善; ②寻求最佳状态的城市规模扩张模式; ②城市占用耕地面积不断扩大; ③高效合理的产业结构模式 城市化问题 ③珠江水质恶化; ④城市酸雨现象严重; ⑤城市固体废弃物污染加剧 与长三角相比,珠三角产业升级更加困难的原因 (1)珠江三角洲地区的产业基础、科技实力和人才队伍处于劣势; (2)外商投资区位的选择也由原来追求降低成本转变为扩大市场规模; (3)(受南岭影响)珠江三角洲的国内市场腹地狭小。 【本节高考核心考点】 1.工业化与城市化的关系 工业化与城市化是推动区域经济社会发展的主要动力,区域工业化必然带来城市化,城市化反过来又会促 进工业化。2.不同国家工业化和城市化过程的特点及关系 工业化和城市化互动并进,是现代经济社会发展的显著特征,发达国家与发展中国家的工业化、城市化的 发展特点方面存在异同,具体对比如下表所示: ①工业化初期,工业化水平与城市化水平都比较低,但城市化已超过 相同点 工业化。 ②工业化以后,城市化水平明显高于工业化水平 发达国家城市化起步早,时间长,工业化和对自然资源利用程度基本 上可持续发展,城市化过程付出代价较小,城市化水平高 工业化、城 市化特点 发展中国家城市化和工业化起步晚,发展快,导致城乡差距扩大,农 村人口大量向城市盲目流动,城市化水平明显高于工业化水平 不 在发达国家,工业化与城市化二者协调发展,较为合理 同 ①在发展中国家,工业化水平远滞后于城市化水平,城市发展不合 点 工业化与城 理,产生了严重的“城市病”。 市化的关系 ②在一些发展中国家,政府为避免城乡对立和“城市病”发生,采取 各种政策及措施限制城市化发展,使得城市化水平落后于本国工业化 和经济发展水平 【同步经典练习题】 下图为“2006~2015年中国工业增加值与增长率变化图”。读图,完成1~3题。 1.2006~2015年,我国( ) A.工业化水平一直较高 B.工业比重不断上升 C.工业增加值呈增长趋势 D.工业化速度不断加快2.现阶段,推动我国工业化进程的可行措施是( ) A.加强技术研发,培育竞争优势 B.扩大产品进口,替代国内生产 C.扩大生产规模,保持价格优势 D.加快矿产开发,提高钢铁产能 3.我国工业化水平不断提升,可以( ) A.减少地域联系 B.消除城乡差距 C.推动城市化进程 D.降低消费水平 下图为“我国某省区三次产业产值比重与城市人口比重的变化图”,其中①代表第二产业产值比重的 变化,②代表城市人口比重的变化,③代表第三产业产值比重的变化,④代表第一产业产值比重的变化。 读图完成4~5题。 4.图中曲线变化反映出该省区的城市化发展特点是( ) A.与发达国家相比,城市化水平较高 B.城市化发展与当地的经济发展协调一致 C.城市人口增长与第二产业发展同步 D.20世纪90年代末城市化速度最快 5.该省区的第一产业比重逐步下降,其主要的原因是( ) A.区域工业化和城市化的发展使耕地大量减少 B.农业生产水平落后,产出少 C.农民的文化素质较低,农业经济不发达 D.农业生产的自然条件日渐恶化 粤港澳大湾区是指由珠三角9市和香港、澳门组成的城市群。2019年2月,《粤港澳大湾区发展规划 纲要》提出建设“充满活力的世界级城市群、具有全球影响力的国际科技创新中心、内地与港澳深度合作 示范区”为粤港澳大湾区战略定位。据此完成6~8题。 6.粤港澳大湾区内合作基础良好,主要是因为它们( ) A.一国两制 B.经济发达 C.开放前沿 D.文化同源 7.粤港澳大湾区要建设成为世界级城市群,应采取的措施是( ) A.强化内部竞争 B.促进区域创新C.提高消费水平 D.统一产业结构 8.粤港澳大湾区发展可能面临的问题是( ) A.淡水资源紧张加剧 B.技术人才严重缺乏 C.生态环境压力加大 D.交通、物流设施落后 读“我国乡镇企业三种发展模式的源地图”和“四个地区工业化、城市化发展模式示意图”,回答 9 ~11题。 9.在甲地的大城市周围,形成特色相似的农产品基地,其决定性因素是( ) A.政策 B.市场 C.气候 D.地形 10.近年来乙、丙两地企业发展暴露出来的问题分别是( ) A.“民工荒”现象严重 水污染严重 B.企业间过度竞争 经济腹地较小 C.投资过多、产品积压 缺乏政策支持 D.改革开放迟缓 资金严重短缺 11.(2019·全国文综Ⅰ)阅读图文材料,完成下列要求。 澳大利亚是一个地广人稀的发达国家。第二次世界大战后,本土汽车生产主要由美日几家大型汽车品 牌公司控制,整车和零部件工厂主要布局在墨尔本、阿德莱德和吉朗等地(位置见下图)。1974年澳大利亚 汽车生产以47.5万辆的产量居世界第10位。1988年澳大利亚政府开始实施取消进口汽车配额限制并大 幅降低关税的政策,使世界各地的汽车大量涌入,原本多样化的本土汽车市场进一步细分,每种品牌和车 型的车辆需求都较少,汽车生产成本也居高不下,2016年仅以16.1万辆的产量排在世界第32位。2017 年10月20日,最后一条汽车生产线在阿德莱德关闭,宣告本土汽车制造成为历史。(1) 说明澳大利亚汽车生产存续期间,整车和零部件工厂布局在东南沿海地区的有利 条件。(8分) (2) 分析澳大利亚汽车市场对每种品牌和车型的车辆需求都较少的原因。(8分) (3) 简述澳大利亚汽车生产成本居高不下的主要原因。(4分) (4) 指出汽车生产的退出对当地城市经济发展的影响。(4分)