当前位置:首页>文档>统考版2023版高三地理一轮复习第35讲区域工业化与城市化进程__以珠江三角洲为例学生用书_9.2025地理总复习_赠品通用版(老高考)复习资料_一轮复习

统考版2023版高三地理一轮复习第35讲区域工业化与城市化进程__以珠江三角洲为例学生用书_9.2025地理总复习_赠品通用版(老高考)复习资料_一轮复习

  • 2026-04-01 10:50:18 2026-03-14 04:57:57

文档预览

统考版2023版高三地理一轮复习第35讲区域工业化与城市化进程__以珠江三角洲为例学生用书_9.2025地理总复习_赠品通用版(老高考)复习资料_一轮复习
统考版2023版高三地理一轮复习第35讲区域工业化与城市化进程__以珠江三角洲为例学生用书_9.2025地理总复习_赠品通用版(老高考)复习资料_一轮复习
统考版2023版高三地理一轮复习第35讲区域工业化与城市化进程__以珠江三角洲为例学生用书_9.2025地理总复习_赠品通用版(老高考)复习资料_一轮复习
统考版2023版高三地理一轮复习第35讲区域工业化与城市化进程__以珠江三角洲为例学生用书_9.2025地理总复习_赠品通用版(老高考)复习资料_一轮复习
统考版2023版高三地理一轮复习第35讲区域工业化与城市化进程__以珠江三角洲为例学生用书_9.2025地理总复习_赠品通用版(老高考)复习资料_一轮复习
统考版2023版高三地理一轮复习第35讲区域工业化与城市化进程__以珠江三角洲为例学生用书_9.2025地理总复习_赠品通用版(老高考)复习资料_一轮复习
统考版2023版高三地理一轮复习第35讲区域工业化与城市化进程__以珠江三角洲为例学生用书_9.2025地理总复习_赠品通用版(老高考)复习资料_一轮复习
统考版2023版高三地理一轮复习第35讲区域工业化与城市化进程__以珠江三角洲为例学生用书_9.2025地理总复习_赠品通用版(老高考)复习资料_一轮复习
统考版2023版高三地理一轮复习第35讲区域工业化与城市化进程__以珠江三角洲为例学生用书_9.2025地理总复习_赠品通用版(老高考)复习资料_一轮复习
统考版2023版高三地理一轮复习第35讲区域工业化与城市化进程__以珠江三角洲为例学生用书_9.2025地理总复习_赠品通用版(老高考)复习资料_一轮复习
统考版2023版高三地理一轮复习第35讲区域工业化与城市化进程__以珠江三角洲为例学生用书_9.2025地理总复习_赠品通用版(老高考)复习资料_一轮复习
统考版2023版高三地理一轮复习第35讲区域工业化与城市化进程__以珠江三角洲为例学生用书_9.2025地理总复习_赠品通用版(老高考)复习资料_一轮复习

文档信息

文档格式
docx
文档大小
0.860 MB
文档页数
12 页
上传时间
2026-03-14 04:57:57

文档内容

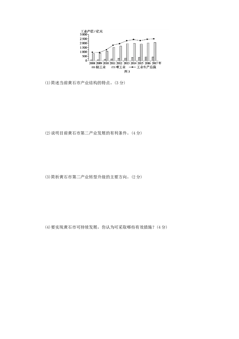
第35讲 区域工业化与城市化进程—以珠江三角洲为例 【最新考纲】 区域工业化和城市化的推进过程;产生的主要问题及解决措施。 核心素养解读 知识体系导引 1.综合思维:结合图文材料,分析区域工业 化和城市化的发展条件、存在问题及解决措 工业化和城 施。 市化问题 2.人地协调观:合理布局工业,合理发展 城市,促进人地协调发展。 3.地理实践力:运用工业化与城市化相关 理论为某区域可持续发展提供建议。 考点一 珠江三角洲城市化与工业化进程 图表填绘·助学助记 1.珠江三角洲的位置与范围 (1)位置:位于广东省中南部,________下游。 (2)范围:包括A________、B深圳、C________、佛山、江门、D东莞、中山等市的全 部和惠州、肇庆两市的部分县、市。广义的珠江三角洲还包括 E________和 F________________。 2.珠江三角洲城市化进程 (1)改革开放初期:以发展________为主导,形成城乡融合、农业与非农业产业混杂的 ________地带。 (2)20世纪90年代中期以后:发挥区域中心城市的带动作用,形成以广州市为中心的 高度密集的________体系。 3.珠江三角洲工业化进程的阶段特点 夯实基础阶段 稳步发展阶段 时 20世纪80年代 20世纪80年代中期以后 20世纪90年代以后 间 以来 进 劳动密集型出 更加注重质量和效益,工业结构优 程 多种形式引进外资和技术, 口加工业发展 化,技术水平提高,保持较高的增 特 工业发展步伐加快 迅速 长速度 点 结 为工业起步提 形成以加工制造业为主的经 基本实现乡村工业化;面临发展空供必要的资金 济特色,建立起轻型工业体 果 间不足和工业资源有限等问题 积累 系 4.工业化对城市化的推动作用 深化拓展·精讲精练 【方法规律】 珠江三角洲地区推进工业化和城市化的背景和条件 珠江三角洲地区工业化和城市化水平的迅速提高,有着特定的国际国内背景和有利的 地理条件,具体如图所示: 【活学巧用】 读图,完成下列问题。 (1)20世纪80年代,珠江三角洲的工业为________密集型的出口加工型工业,主要工 业部门为________工业。 (2)20世纪90年代以来,随着世界新一轮产业结构的调整,珠江三角洲工业发展呈现 出以________密集型产业为主导的特点,尤其以________工业部门最为突出。(3)随着经济快速发展,珠江三角洲GDP迅速增长,珠江三角洲产业结构也发生了变化, 具体表现为____________________________________________________________ 演练真题·找准考法 考法一 城市化和工业化进程 1. [全国卷Ⅲ,3~5]大别山区某国家级贫困县农民可分为跨村种田大户农民、种植自家 承包地农民、本地务工务农兼业农民和常年外出务工农民等类型。该县以当地优势资源为 基础的加工企业在县城活力较弱,但在中心集镇活力较强。如图示意该县居民点的等级结 构。据此完成(1)~(3)题。 (1)与县城相比,中心集镇以当地优势资源为基础的加工企业活力较强的主要原因是( ) A.基础设施较完善 B.更接近消费市场 C.资金供应较充裕 D.更易招募劳动力 (2)面向某类型农民的需求,有专家建议在该县推进“村—中心集镇双栖”居住模式。 这种模式旨在方便该类型农民( ) A.从事商业活动 B.留守子女上学 C.兼顾务工务农 D.扩大种田规模 (3)为了实施乡村振兴战略,带领农民脱贫致富,该国家级贫困县可采取的有效措施是 ( ) ①推广大规模机械化种植 ②鼓励外出务工农民回乡创业 ③引导传统农民多种经营 ④推进中心集镇房地产开发 A.①② B.②③ C.③④ D.①④ [思维流程][我的答案] (1) (2) (3) 对接核心素养 加大当地优势资源开发,鼓励外出农民工返乡创业,实施乡村振兴,带领农 人地协调观 民脱贫致富。 综合思维 根据区域资源禀赋及区位优势合理布局产业。 区域认知 国家级贫困县区域经济优势。 考法二 以区域分布图为载体考查区域工业化 2.[2021·广东卷,18]阅读图文资料,完成下列要求。 上海市嘉定区是我国著名的汽车生产基地,1958年我国第一辆“凤凰牌”轿车即在此 诞生。昆山市、太仓市是江苏省苏州市的两个县级市,有较强制造业基础。近年来,嘉定 区着力引进总部经济与研发产业,昆山、太仓两市大力发展汽车零部件生产。为了进一步 提升汽车产业区域竞争力,2018年嘉定区与苏州市签订战略合作协议,共同推进嘉(定)— 昆(山)—太(仓)协同创新核心圈建设,合力打造世界级汽车产业中心,下图示意 2008年、 2017年嘉—昆—太地区汽车先进零部件制造业热点分布。 (1)简述嘉—昆—太地区汽车先进零部件制造业两个年份之间的空间变化特征。(6分) (2)分析嘉—昆—太地区汽车产业快速发展的独特区位条件。(8分)(3)从产业协同的角度,提出嘉—昆—太地区汽车产业发展的合理化建议。(8分) 考法三 结合统计图考查区域工业化与城市化 3.[2020·江苏卷,28]阅读图文材料,回答下列问题。(13分) 材料一 湖北省黄石市是武汉都市圈的副中心城市,有“青铜古都”“钢铁摇篮” “水泥故乡”之称。图1为“黄石市区位示意图”。 材料二 黄石市2008年被定为资源枯竭转型试点城市,2015年年底关闭第一批露天 矿山,采掘业产值明显下降。图2为“2008~2017年黄石市GDP和三次产业结构统计图”, 图3为“2008~2017年黄石市轻重工业产值统计图”。(1)简述当前黄石市产业结构的特点。(3分) (2)说明目前黄石市第二产业发展的有利条件。(4分) (3)简析黄石市第二产业转型升级的主要方向。(2分) (4)要实现黄石市可持续发展,你认为可采取哪些有效措施?(4分)考点二 珠江三角洲的工业化和城市化问题 图表填绘·助学助记 分类 问题 解决对策 ①大量占用________; 工业 ②城镇和工业________; 化 ③________严重; 问题 ④________层次偏低等 ①建立________生态模式; ①城市________建设亟待完善; ②寻求最佳状态的________扩张模式; 城市 ②城市占用____面积不断扩大; ③高效合理的________模式 化 ③珠江水质恶化; 问题 ④城市________现象严重; ⑤城市固体废弃物污染加剧 深化拓展·精讲精练 【方法规律】 1.珠江三角洲地区工业化和城市化过程中的问题及解决措施 受地区产业基础和市场腹地等条件的限制,珠江三角洲工业化和城市化的后劲不足, 出现了一系列问题。问题不同,其采取的措施也有所差异,具体如下所示: 2.区域工业化和城市化问题的四个治理措施 (1)做好区域规划:合理布局城镇,建立可持续发展的空间发展模式。 (2)搞好城镇规划:防止城市过度膨胀,使人口、生产规模与当地环境承载力相适应。 (3)改善生态环境:治理环境污染,保护生态环境。 (4)优化产业结构:淘汰耗能大、成本高、污染重的企业,发展高新技术产业,建立生 态工业园区。 【活学巧用】 [2022·广西桂林模拟]读“我国某河流三角洲示意图”,回答(1)~(2)题。(1)该地区在发展过程中存在的主要问题有( ) ①环境污染加重 ②人口出现负增长 ③农业用地急剧减少 ④劳动力素质低 A.①②③ B.①②④ C.①③④ D.②③④ (2)关于该地区可持续发展的措施中,不正确的是 ( ) A.进行产业结构调整 B.构建大珠江三角洲城市群 C.加强规划与管理 D.扩大城市用地规模,建设卫星城 演练真题·找准考法 考法一 以村办企业为背景考查区域工业化措施 1.[2019·全国卷Ⅰ,1~3]20世纪80年代开始,长江三角洲地区某县村办企业涌现, 形成“村村冒烟”现象。2016年该县开始实施村集体经济“抱团飞地”发展模式:由县、 镇统筹,整合腾退的村办企业建设用地指标和补贴资金,各村以股份合作形式(抱团)在发 展条件优越的城镇(飞地)联合建设创新创业中心,并建立保证各村收益的机制。据此完成 (1)~(3)题。 (1)“村村冒烟”主要指的是当时该县村办企业( ) A.燃料来源分散 B.空间布局分散 C.原料来源分散 D.产品市场分散 (2)实施“抱团飞地”发展模式,可以( ) ①弥补劳动力不足 ②缓解建设用地紧张 ③提升基础教育水平 ④壮大集体经济实力 A.①③ B.②③ C.①④ D.②④(3)“抱团飞地”发展模式,主要体现了( ) A.城乡统筹创新 B.生活方式创新 C.农业发展创新 D.科学技术创新 考法二 交通建设对区域城市化影响 2.[安徽卷,34(2)]阅读图文材料,结合所学知识,回答问题。 下图为福建省1982年和2005年交通与城市发展示意图。改革开放后,随着交通条件 的改善,福建省经济得到快速发展,地区生产总值由1982年的117.81亿元增加到2005年 的6 554.69亿元,城市化水平不断提高。 说明交通条件改善对福建省城市化的促进作用。(12分) [思维流程] [我的答案] 对接核心素养 人地协调观 交通条件改善促进经济发展,城市化水平不断提高是一个良性发展状况。 综合思维 城市化标准及影响城市化因素。 区域认知 福建省1982年与2005年经济发展和建设比较。 地理实践力 运用城市化相关原理和规律分析社会现状。第35讲 区域工业化与城市化进程——以珠江三角洲为例 考点一 图表填绘·助学助记 1.(1)珠江 (2)广州 珠海 香港 澳门特别行政区 2.(1)小城镇 城乡一体化 (2)城市群 深化拓展·精讲精练 活学巧用 解析:第(1)题,20世纪80年代,珠江三角洲地区依托有利的国内外条件和廉价劳动 力发展劳动密集型产业,由图可看出主要工业部门是轻纺业。第(2)题,90年代以来进行 产业结构调整,大力发展高新技术产业。第(3)题,由图2可看出珠江三角洲三大产业结构 的变化。 答案:(1)劳动 轻纺 (2)技术 高新技术(电子电器) (3)第一产业比重大幅下降,第二、三产业比重均有上升,尤以第二产业最为明显 演练真题·找准考法 1.[思维流程] (1)高 (2)完善 (3)集聚 (4)工人 □最低 □村—中心集镇双栖 答案:(1)D (2)C (3)B 2.解析:第(1)题,读图可知,2008年、2017年,嘉—昆—太地区的先进零部件制造 业热点分布范围和规模扩大,冷点区域减少;热点区域分布往西移动,从嘉定区转移到昆 山市。一些地区由冷点区域变为次冷点区域,次冷点区域部分变为次热点区域。第(2)题, 该地区汽车产业快速发展的区位条件可以从产业基础、人才、科技、资金、政策和市场等 方面回答。结合材料可知,该地区汽车产业发展历史悠久,产业基础好;上海市高校众多 高新技术产业发达,汽车研发人才多;经济发达,投入资金雄厚;2018年嘉定区与苏州市 签署战略协定,汽车产业的发展有政策支持;“长三角”人口密集,经济发达,消费水平 高,汽车需求量大,市场广阔。第(3)题,从产业协同的角度,嘉—昆—太地区汽车产业发 展的建议可以从发挥各地优势、打造产业链、形成规模效应、提升竞争力、提高交通运输 效率等方面回答。三地发挥各自优势实现互补,嘉定区经济发达,应发挥其资金、技术和 人才优势,昆、太两市相对土地丰富,劳动力较廉价,又有政策支持,可以发挥土地、劳 动力、政策优势;嘉定区利用技术和人才优势立足汽车研发,昆、太两地则利用劳动力优 势积极发展汽车零部件制造业,从而构建汽车产业链;优劣互补,扩大产业规模,形成规 模效应;为实现长远发展,应继续加大科技投入,提升汽车零部件制造水平,向高端制造 业发展,提升竞争力;为更快实现区域协调发展,应加强一区两市之间的交通基础设施建 设,提升三地运输效率。 答案:(1)2008年、2017年,嘉—昆—太地区先进零部件制造业范围扩大;热点区域 西移,从嘉定区转移到昆山市。一些地区由冷点区域变为次冷点区域,次冷点区域部分变 为次热点区域。 (2)汽车产业发展历史悠久,产业基础好;高校众多,高新技术产业发达,汽车研发人 才多;研发资金充足;与苏州市形成战略合作,有政策支持;长三角人口密集,汽车需求 量大,市场广阔。 (3)三地需将各优势互补发展,嘉定区应发挥其资金、技术和人才优势,昆、太两市发 挥土地、劳动力、政策优势;嘉定区立足汽车研发,昆、太两地应该积极发展汽车零部件制造业,构建汽车产业链;扩大产业规模,形成规模效应;加大科技投入,提升汽车零部 件制造水平,向高端制造业发展,提升竞争力;加强一区两市之间的交通基础设施建设, 提升三地运输效率。 3.解析:本题主要考查区域产业结构与可持续发展等知识,考查了综合思维、区域认 知和人地协调观核心素养。第(1)题,描述产业结构特点时,应主要从三次产业结构的比重 及变化、主导产业等方面分析。由图2和图3可知,黄石市的产业结构中第二产业占比在 50%以上,说明该市产业以第二产业为主,第二产业中重工业为主导产业,第一产业比重最 低。第(2)题,黄石市第二产业发展的区位优势应主要从当地的产业基础、交通运输、政策、 劳动力以及大城市辐射带动作用等方面分析。第(3)题,由材料分析可知,黄石市第二产业 以重工业为主,所以其发展方向可以从平衡轻重工业比重、提高工业的科技含量以及工业 产品的附加值等方面分析。第(4)题,在分析黄石市可持续发展的措施时,应主要从优化产 业结构、恢复生态环境、防治环境污染、加大科技投入,提高资源利用率等方面分析。 答案: (1)以第二产业为主;第二产业中重工业占主导;第一、第三产业占比较低; 第三产业占比大于第一产业。 (2)产业基础好;临江水运便利;政策扶持;距中心城市武汉近;劳动力丰富。 (3)轻型化(提高轻工业比重);高附加值化(提升产品的附加值);高科技化(积极发展 高新技术产业);加强传统优势工业技术改造。 (4)优化产业结构;增加就业岗位;提高资源利用率;加快生态恢复;防治环境污染; 推进城市化进程。 考点二 图表填绘·助学助记 耕地 过度密集 环境污染 产业结构 基础设施 耕地 酸雨 山水城市 城市 规模 产业结构 深化拓展·精讲精练 活学巧用 解析:第(1)题,由图中海陆轮廓可判断该地区为珠江三角洲,该地区在发展过程中 出现的问题有环境污染加重,生态形势严峻;重复建设突出,农业用地急剧减少;产业结 构不合理;劳动力素质低等。第(2)题,针对上述问题,可采取以下措施:治理污染,调整 产业结构。搞好城镇规划建设。而扩大城市用地规模会进一步减少耕地,加剧人地矛盾。 答案:(1)C (2)D 演练真题·找准考法 1.解析:第(1)题,“村村冒烟”现象指的是每一个村都发展自己的村办企业,体现 出当时该县村办企业在空间上布局较为分散,故选项B正确。我国长江三角洲地区能源和 矿产资源匮乏,企业用于生产的燃料和原料多需要从其他地区运入,因此该区域工业生产 的燃料和原料来源较为分散,但这对该时期该县村办企业的空间分布影响不大,故燃料、 原料的来源特点对该县“村村冒烟”现象作用不大,A、C项错误;产品市场的空间分布影 响的是企业生产的下游环节,对企业的生产环节影响不大,故产品市场分散不是该县村办 企业呈现“村村冒烟”现象的主要原因,D项错误。第(2)题,由所学知识可知,长江三角 洲地处我国东部沿海地区,人口稠密,人均耕地面积小,在“村村冒烟”的发展模式下, 农村地区宝贵的耕地资源被占用,将消耗大量的补贴资金;实施“抱团飞地”的发展模式 可以提高土地利用率,缓解建设用地紧张状况,②正确;实施“抱团飞地”的发展模式, 可以使村办企业在空间上趋于集聚,有利于加强企业间信息的交流与合作,降低中间产品的运输费用和能源消耗,有利于基础设施的共享利用,节约了生产建设的投资,从而降低 生产成本,取得规模效益,壮大集体经济实力,④正确;综上可知,选项 D正确。第(3)题, “村村冒烟”现象到“抱团飞地”发展模式的变化主要体现了村办企业空间布局和建设用 地利用上的变化;由材料可知,村办企业发展模式变化主要是因为县、镇统筹发展;综上 可知,“抱团飞地”发展模式主要体现的是城乡统筹创新,故选A。 答案:(1)B (2)D (3)A 2.答案:加强了区域内外联系;促进了经济发展,推动了工业化进程和产业结构调整, 农村人口向城市迁移;城市数量增多,规模扩大、等级提升,布局合理,沿海地区城市密 集,城市等级体系更加完善。