当前位置:首页>文档>2023年高考地理一轮复习(全国版)必修2第2章课时42 城市化_9.2025地理总复习_赠品通用版(老高考)复习资料_一轮复习_2023年高考地理一轮复习讲义+课件(全国版)

2023年高考地理一轮复习(全国版)必修2第2章课时42 城市化_9.2025地理总复习_赠品通用版(老高考)复习资料_一轮复习_2023年高考地理一轮复习讲义+课件(全国版)

  • 2026-03-25 23:48:56 2026-03-11 17:58:50

文档预览

2023年高考地理一轮复习(全国版)必修2第2章课时42 城市化_9.2025地理总复习_赠品通用版(老高考)复习资料_一轮复习_2023年高考地理一轮复习讲义+课件(全国版)
2023年高考地理一轮复习(全国版)必修2第2章课时42 城市化_9.2025地理总复习_赠品通用版(老高考)复习资料_一轮复习_2023年高考地理一轮复习讲义+课件(全国版)
2023年高考地理一轮复习(全国版)必修2第2章课时42 城市化_9.2025地理总复习_赠品通用版(老高考)复习资料_一轮复习_2023年高考地理一轮复习讲义+课件(全国版)
2023年高考地理一轮复习(全国版)必修2第2章课时42 城市化_9.2025地理总复习_赠品通用版(老高考)复习资料_一轮复习_2023年高考地理一轮复习讲义+课件(全国版)
2023年高考地理一轮复习(全国版)必修2第2章课时42 城市化_9.2025地理总复习_赠品通用版(老高考)复习资料_一轮复习_2023年高考地理一轮复习讲义+课件(全国版)
2023年高考地理一轮复习(全国版)必修2第2章课时42 城市化_9.2025地理总复习_赠品通用版(老高考)复习资料_一轮复习_2023年高考地理一轮复习讲义+课件(全国版)
2023年高考地理一轮复习(全国版)必修2第2章课时42 城市化_9.2025地理总复习_赠品通用版(老高考)复习资料_一轮复习_2023年高考地理一轮复习讲义+课件(全国版)
2023年高考地理一轮复习(全国版)必修2第2章课时42 城市化_9.2025地理总复习_赠品通用版(老高考)复习资料_一轮复习_2023年高考地理一轮复习讲义+课件(全国版)
2023年高考地理一轮复习(全国版)必修2第2章课时42 城市化_9.2025地理总复习_赠品通用版(老高考)复习资料_一轮复习_2023年高考地理一轮复习讲义+课件(全国版)
2023年高考地理一轮复习(全国版)必修2第2章课时42 城市化_9.2025地理总复习_赠品通用版(老高考)复习资料_一轮复习_2023年高考地理一轮复习讲义+课件(全国版)
2023年高考地理一轮复习(全国版)必修2第2章课时42 城市化_9.2025地理总复习_赠品通用版(老高考)复习资料_一轮复习_2023年高考地理一轮复习讲义+课件(全国版)
2023年高考地理一轮复习(全国版)必修2第2章课时42 城市化_9.2025地理总复习_赠品通用版(老高考)复习资料_一轮复习_2023年高考地理一轮复习讲义+课件(全国版)
2023年高考地理一轮复习(全国版)必修2第2章课时42 城市化_9.2025地理总复习_赠品通用版(老高考)复习资料_一轮复习_2023年高考地理一轮复习讲义+课件(全国版)

文档信息

文档格式
docx
文档大小
1.899 MB
文档页数
13 页
上传时间
2026-03-11 17:58:50

文档内容

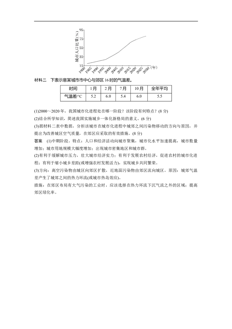
课时 42 城市化 1.城市化 (1)概念:城市化是指人口向城镇集聚和城市范围不断扩大、乡村变为城镇的过程。 (2)动力 含义 表现 城市就业机会多;社会福利保障程度高;文 拉力 吸引人群来到城市的因素 化设施齐全;交通便捷 乡村人口增长快,对土地压力大;收入低, 推力 促使人群离开乡村的因素 社会服务短缺;自然灾害等 (3)标志:衡量城市化水平的标志是城市人口占总人口的比重,它体现了社会经济发展水平。 (4)意义 2.世界城市化的进程 (1)时间变化:世界城市化水平不断提高,随时间的变化可以表示为一条稍被拉平的“S”形 曲线。 A:初期阶段 城市化水平较低,发展较慢 B:中期阶段 城市化推进很快,市区出现了城市化问题 C:后期阶段 城市化水平较高,城市人口比重的增长趋缓甚至停滞 (2)地区差异 发达国家大都进入城市化的C(填字母)阶段,发展中国家大部分处于A 或B(填字母)阶段, 有些大城市出现了逆城市化现象。 1.城市化水平与城市化速度的区别 前者主要通过城市人口占总人口的比重来反映,比重越大,表明城市化水平越高。后者表示某一时间段城市化水平变化的快慢,发达国家城市化水平高,城市化速度慢;而发展中国 家虽然城市化速度快,但城市化水平仍然低于发达国家。 2.郊区城市化、逆城市化原因 (1)私人小汽车的普及和交通、通信的现代化,缩短了城市与郊区之间的时间距离。 (2)因城市中心区地租上升导致住宅区等迁往郊区或更远的乡村。 (3)大城市城区人口过于密集、就业困难、环境恶化、生活质量下降。 (4)新商业区在郊区,为郊区人们提供便利的服务。 3.城市化对地理环境的影响 (1)有利:合理的城市化可以改善环境。 (2)不利:过快的城市化会使城市环境质量下降,甚至出现环境污染问题。 4.城市化对自然地理环境要素的改变 (1)生物的多样性减少。 (2)水质、水量和地下水运动发生变化。 (3)废渣影响城市土地质量。 (4)出现城市“热岛”现象,密集的建筑群影响了日照、风速和风向。 5.改善措施 建设和发展生态城市等。 (1)发展低污染的节能建筑和绿色交通,减少城市各类活动对环境的污染。 (2)使城市景观尽可能地与自然景观保持协调,建立一种良性循环。 1.世界城市化进程的时间差异 2.城市化进程及阶段判断 (1)根据人口密度的变化判断 随着城市发展,市中心人口密度先增大后减小。如下图城市化进程为 a—b—c—d,市中心 人口密度逐渐减小。(2)根据城市人口比重判断 城市人口比重小于30%为初期阶段,30%~70%为中期阶段,大于70%为后期阶段。城市人 口比重总体大于70%,且出现了下降现象,可以判断该城市出现逆城市化现象。 (3)根据城市化水平和速度判断 城市化存在地区差异,要根据不同地区的特征进行判断:发达国家和地区的城市化水平高, 发展速度慢;发展中国家和地区的城市化水平低,发展速度快。 (4)根据产业构成判断 所处阶段 产业构成 初期阶段 以第一产业为主 中期阶段 以第二产业为主 后期阶段 以第三产业为主 3.不同阶段的城市化类型的判读 城市化 郊区城市化 逆城市化 再城市化 时 19世纪到20世纪上 20世纪50~70 20世纪80年代以 20世纪70~80年代 间 半叶 年代 后 人口由乡村迁往城 表 人口由市区迁 人口由城市迁往农 市,乡村地域转变 人口迁回市区 现 往郊区 村或小城镇 为城市地域 市区人口激 城市中心区的开 成 城市的拉力和乡村 为追求更好的生存 增,地价上 发,高科技产业、 因 的推力 环境 涨,交通拥挤 第三产业的发展 图 解4.城市化对自然地理环境的影响 (1)不利影响 (2)有利影响 平整土地、修建水利工程、绿化环境,如铺透水砖、建设雨水花园、增加绿地,可以降低 人类活动对环境的压力,改善环境。 5.城市化对人文地理环境的影响 (1)不利影响 要素 成因 应对措施 资 城市数量增加,规模扩大,占 耕地面积减少 节约用地;尽量少占用耕地 源 用大量耕地 短 节约用水;提高水资源利用 水资源短缺 产业和人口集中,用水量增大 缺 率;治理水污染 过量开采地下水,导致地面沉 生态破坏 减少地下水开采;雨季回灌 降、海水入侵、水质恶化等 合理布局大气污染较重的企 生活、工业、交通等燃烧煤、 大气污染 业;实行集体供暖;建立绿化 环 石油,排放大量烟尘、废气 隔离带 境 工业废水、生活污水等污染水 建立污水处理厂;实行污水达 污 水污染 源 标排放 染 建设规模扩大、工业生产发 固体废弃物污染 实行分类回收、利用 展、居民消费水平提高,产生大量固体废弃物 交通运输、工业生产、建筑施 噪声大的工厂远离城区布局; 噪声污染 工和社会活动产生噪声 建立绿化隔离带 控制城市人口增长;合理布局 社 交通拥挤、居住 城市人口急剧膨胀,汽车数量 城市道路;使用公共交通工 会 条件差 不断增加 具;加快住房建设 问 就业困难、社会 乡村人口无序迁入,城市人口 题 加快经济发展;增加就业岗位 秩序混乱 急剧增长 (2)有利影响 要素 影响 人口 城市能够创造出比较多的就业机会,大量吸引农村剩余人口。劳动力从第一产业 转化 向第二、三产业逐渐转移 产业 城市化过程能够带动广大农村发展,有利于改善地区产业结构;城市化有助于提 结构 高工业生产的效率,工业化使城市化获得持续推进的动力 科技 科学技术的进步和信息化的推进,使现代化大城市成为主要的科技创新基地的信 进步 息交流中心,进而提高区域的整体发展水平 城市文化向乡村广泛地扩散和渗透,影响着乡村的生产生活方式(自给自足的自然 文化 经济),并提高乡村的对外开放程度,有利于城市与乡村的交流,缩小城乡发展差 交流 距 (全国文综Ⅲ)大别山区某国家级贫困县农民可分为跨村种田大户农民、种植自家承包地 农民、本地务工务农兼业农民和常年外出务工农民等类型。该县以当地优势资源为基础的加 工企业在县城活力较弱,但在中心集镇活力较强。下图示意该县居民点的等级结构。据此完 成1~3题。 1.与县城相比,中心集镇以当地优势资源为基础的加工企业活力较强的主要原因是( ) A.基础设施较完善 B.更接近消费市场 C.资金供应较充裕 D.更易招募劳动力 2.面向某类型农民的需求,有专家建议在该县推进“村—中心集镇双栖”居住模式。这种模式旨在方便该类型农民( ) A.从事商业活动 B.留守子女上学 C.兼顾务工务农 D.扩大种田规模 3.为了实施乡村振兴战略,带领农民脱贫致富,该国家级贫困县可采取的有效措施是( ) ①推广大规模机械化种植 ②鼓励外出务工农民回乡创业 ③引导传统农民多种经营 ④ 推进中心集镇房地产开发 A.①② B.②③ C.③④ D.①④ 农业是国民经济的基础。我国是一个农业大国,数以亿计的农民长期以来一直从事农业生 产活动。在我国改革开放大背景下,我国农民逐渐开始分化,出现了从事不同职业类型的农 民。 农村城镇化、工业区位因素、可持续发展。 该题组主要考查考生获取和解读地理信息的能力,调动和应用所学的地理原理和知识的能 力,判断、推测地理事物的能力,区域可持续发展落实实施的能力,引导考生关注因地制宜, 充分发挥当地特色优势资源发展农村经济。 第1题 县城的基础设施、资金、距消费市场距离相对优于中心集镇,但资源导向型产业 会在靠近原料地的周边乡镇招募劳动力。 第2题 跨村种田大户农民和种植自家承包地农民,生产、生活基本上都局限在农村范 围,居住地也会选择在农村;常年外出务工农民只有逢年过节偶尔回乡,要么居住在农村 老家,要么为了留守子女上学等选择在优质教育资源更多的县城购房居住;本地务工务农 兼业农民,农忙时在家务农,农闲时又可以在本地周边中心集镇务工,“村—中心集镇双 栖”居住模式旨在方便该类型农民。 第3题 该县地处山区,没有推广大规模机械化种植的自然条件;该县是贫困县,在中心 集镇推进房地产开发,既缺少资金,又没有购买力比较强的群体,市场需求小,①④错。 该县可以通过优惠政策,充分利用当地丰富的自然资源,一方面,引导传统农民发展多种 经营,增加收入渠道;另一方面,鼓励农民工回乡创业,为当地农民提供更多的就业机 会,带动贫困人口脱贫致富,②③正确。 答案 1.D 2.C 3.B下图为“四国城镇人口比例变化示意图”。读图完成1~2题。 1.21世纪以来,城市化水平最高、发展速度最快的分别是( ) A.甲、丁 B.乙、丁 C.乙、丙 D.甲、丙 2.最早出现逆城市化现象的是( ) A.甲 B.乙 C.丙 D.丁 答案 1.D 2.A 解析 第1题,注意题干限定的时间条件是 21世纪以来,读图可知甲城镇人口比例最高, 而丙城镇人口比例自2000年后上升趋势最明显,其发展速度最快。选D。第2题,四条曲 线中,甲城市化水平最高且出现城镇人口比例下降趋势,则可知最早出现逆城市化现象的是 甲,所以选A。 (2022·北京东城区模拟)赣州古城千年不涝,主要得益于前人根据地形,随形就势修建了 地下排水系统——福寿沟。福寿沟内连水塘,外通江河,沟口安有可自动关闭的单向“水 窗”。赣州古城排水系统符合“海绵城市”理念,体现了我国古代人民的治水智慧。读图, 完成3~4题。 3.赣州古城排水系统的治水智慧体现在( ) ①利用天然地势特点,加快了城内雨水外排速度 ②在城内修建多个水塘,暴雨时可大量蓄积雨水 ③设计地下排水系统,能将雨水及时排入江河中 ④修缮护城河,从源头控制雨水,减少了地表径流 A.①③④ B.②③④ C.①②③ D.①②④4.单向水窗的作用是( ) A.沟内水位低于河水水位时,水窗冲开,排出过量雨水 B.沟内水位高于河水水位时,水窗关闭,排出过量雨水 C.河水水位高于沟内水位时,水窗关闭,防止河水倒灌 D.河水水位低于沟内水位时,水窗冲开,防止河水倒灌 答案 3.C 4.C 解析 第3题,由材料“根据地形,随形就势修建了地下排水系统——福寿沟。福寿沟内 连水塘,外通江河,沟口安有可自动关闭的单向‘水窗’”及图中信息可知,赣州古城排水 系统利用天然地势特点,能够使城内雨水快速外排;在城内修建的多个水塘,暴雨时可大量 蓄积雨水;地下排水系统,能将雨水及时排入江河中,从而避免雨涝威胁,①②③正确,C 正确。赣州位于亚热带季风气候区,年降水量较大,雨水为大气降水,靠人为的力量不能从 源头上控制雨水,④错误,故选C。第4题,“福寿沟”的水窗可以借助水力自动开启、关 闭。洪水期,河水水位上涨,高于沟内水位时,水窗借河中水力关闭,阻止河水倒灌,C正 确,B错误。洪水退后,河水水位下降,低于沟内水位时,排水道的水力冲开水窗,使水塘 及城内蓄积雨水顺利排入河内,A、D错误。 课时精练 武汉城市圈是指以中部地区最大城市武汉为中心,覆盖周边多个大中型城市所组成的城 市群。下图为“武汉城市圈城市空间联系结构演化示意图”。读图,完成1~2题。 1.图中( ) A.城市圈的形成得益于地形条件的改善 B.东北地区发展缓慢可能是气候的影响 C.城市联系由单极放射向网状一体演化 D.内河航运是连接武汉城市圈主要方式 2.武汉城市圈形成的主要目的是( ) A.促进周边地区的协调发展 B.增大武汉市行政区域范围 C.降低城市圈资源环境承载力 D.加快城市圈的城市化进程 答案 1.C 2.A解析 第1题,由材料可知,武汉城市圈以中部地区最大城市武汉为中心,城市圈的形成得 益于地理位置优越,A错误;城市圈东北地区与城市圈其他地区都是亚热带季风气候,发展 缓慢与气候关系不大,B错误;由图可知,城市联系由单极放射向网状一体演化,C正确; 连接武汉城市圈的主要方式是陆路运输,如高速公路、高铁等,D错误。第2题,武汉城市 圈形成后,周边地区可受到武汉的辐射带动作用,发展更加协调,A正确。 改革开放后,我国城市化飞速发展。下图为2009~2019年我国城市化水平、流动人口 规模与农民工数量的变化曲线。据此完成3~5题。 3.2009~2019年,我国( ) A.城市化水平降低 B.流动人口规模先增加后减小 C.流动人口规模不断增加 D.农民工数量先增加后减少 4.流动人口规模和农民工数量变化反映出我国( ) A.大城市人口减少 B.城镇数量减少 C.农村劳动力短缺 D.农村发展迅速 5.为进一步推动城市化健康发展,我国应( ) ①控制农民工进城数量 ②重点发展中小城镇 ③缩小大中城市规模 ④支持农民工回乡 创业 A.①② B.①③ C.②④ D.③④ 答案 3.B 4.D 5.C 解析 第3题,直接读取图中信息可知,2009~2019年,我国城市化水平不断提高,A错 误;流动人口的规模先增加后减小,B正确,C错误;农民工数量不断增加,D错误。 第4 题,读图可知,我国流动人口的数量先增加后减少,而农民工数量不断增加,导致该现象产 生的原因是我国本地农民工增加而外出农民工减少,反映出我国农村发展迅速,城乡差距缩 小,D正确;不能体现出我国大城市人口数量减少、城镇数量减少和农村劳动力短缺,A、 B、C错误。第5题,目前我国城市发展不平衡,中小城镇发展较为缓慢,因此应重点发展 中小城镇,支持农民工回乡创业,②④正确;控制农民工进城数量不利于城乡经济发展,① 错误;大中城市辐射带动作用强,不适宜缩小大中城市规模,③错误。城市的“虹吸效应”和“外溢效应”对区域城市的发展影响巨大。“虹吸效应”是指区 域中心城市在发展壮大过程中大量吸纳周边中小城市的人口、资金、产业等资源,产生聚集 效应的现象;“外溢效应”是指中心城市在发展到一定阶段,其人才、技术、产业、资金等 向外围中小城市迁移的现象。下图示意中心城市的“虹吸效应”和“外溢效应”。据此完成 6~7题。 6.关于中心城市“虹吸效应”的叙述,正确的是( ) A.促进区域中心城市环境改善 B.促进区域中心城市规模扩大 C.促进外围城市经济发展 D.只出现在雏形期和成长期 7.“外溢效应”对区域城市发展的影响有( ) ①利于中心城市产业升级 ②促进城市群的形成 ③加快中心城市郊区城市化 ④造成中心城市空洞化 A.①② B.①③ C.②③ D.③④ 答案 6.B 7.A 解析 第6题,中心城市“虹吸效应”是吸纳周边中小城市的人口、资金、产业等资源,大 量人口被吸引到大城市后,区域中心城市的环境会遭到破坏,A错误;中心城市“虹吸效 应”通过吸引周边的资源,可以促进区域中心城市规模扩大,B正确;“虹吸效应”是将外 部资源集中起来促进中心城市的发展,外围城市发展机会小,C错误;观察图示可知,在成 型期仍存在“虹吸效应”,D错误。第7题,“外溢效应”是城市发展到一定阶段后,中心 城市向周边城市迁移一部分人口、转移一部分产业,较为低级的产业转移出去后,有利于中 心城市的产业优化升级,①正确;周边的小城市在受到“外溢效应”后得到发展,有利于本 地经济发展,与中心城市共同构成城市群,②正确;中心城市郊区城市化处于城市化进程的 发展期,且“外溢效应”并不是由郊区向城市靠拢,③错误;外溢效应使得市中心产业优化 升级,高素质人才被留下,但并不会造成中心城市空洞化,④错误。选A。 (2022·四川成都市模拟)美国波特兰市的数条街道按照“低影响开发”理念,将人行道和 街道侧石间的空间利用起来,建设了若干个连续的侧石扩展池,并在池中种植植物,形成一 条特殊的“绿色街道”。下图示意侧石扩展池的结构和雨水流向及绿色街道景观。据此完成8~10题。 8.在侧石扩展池内设计小型拦水坝的主要作用是增加雨水的( ) A.蒸发量 B.储水量 C.径流量 D.下渗量 9.“绿色街道”的核心功能是( ) A.减缓地表径流量 B.提供观赏景观 C.保护生物多样性 D.调节局地小气候 10.“绿色街道”最适合建设在城市的( ) A.停车场附近 B.中央商务区 C.高级住宅区 D.街心公园内 答案 8.D 9.A 10.C 解析 第8题,拦水坝减缓地表径流汇水速度,可以增加下渗量,D正确。第9题,“绿色 街道”可以让雨水更好地下渗,其核心功能是增加雨水的下渗量,减少地表径流,有利于排 除积水和补给地下含水层的水量,可有效降低暴雨后内涝发生的频率和程度,A正确;“绿 色街道”具有提供观赏景观、保护生物多样性和调节局地小气候的功能,但这些只是附加功 能,并不是核心功能,B、C、D错误。第10题,“绿色街道”交通建设主要是建设完善的 基础设施,全面构建集排水、蓄水、绿化于一体的城市生态系统,可大幅优化城市生态环境, 打造更高水平的和谐宜居环境,最适合建设在城市的高级住宅区。 (2022·北京延庆区模拟)城市群是支撑中国经济高质量发展的主要平台。下图为 2018年 我国五大城市群统计数据。读图,回答11~12题。11.各大城市群中( ) A.长三角城市群GDP是成渝城市群的两倍 B.珠三角城市群人均GDP数值最高 C.成渝城市群因起步低近三年增量最少 D.京津冀城市群内各城市等级相近 12.京津冀城市群的发展方向是( ) A.世界级规模的先进制造业中心 B.产业协同,推进农业现代化 C.与港澳“拼船出海”共谋发展 D.高端制造业及科技创新基地 答案 11.B 12.D 解析 第11题,由图以及相关计算可知,珠三角城市群GDP总量大约8万亿元,人口大约 0.5亿,人均GDP大约16万元,比其他城市群高,B正确;长三角城市群GDP为18万亿元, 而成渝城市群是6万亿元,长三角城市群GDP是成渝城市群的三倍,A错误;近三年增量 最低的是京津冀城市群,C错误;京津冀城市群城市等级差别大,D错误。 第12题,北京 是我国的政治、文化和科技中心,也是京津冀城市群的核心城市,天津也有发达的科技实力, 所以京津冀城市群的主要定位是高端制造业和科技创新中心,D正确。 13.阅读图文材料,回答下列问题。(22分) 材料一 城乡一体化是城市化发展的一个新阶段,是随着生产力的发展而促进城乡居民生 产方式和生活方式变化的过程,是城乡人口、技术、资本、资源等要素相互融合,互为资源, 互为市场,互相服务,逐步达到城乡之间在经济、社会、文化、生态上协调发展的过程。近 些年来,我国正在逐步推进城乡一体化,促进城市化的进一步发展。下图示意我国城市人口 比重变化(含预测)。材料二 下表示意某城市市中心与郊区16时的气温差。 时间 1月 2月 7月 10月 全年平均 气温差/°C 5.2 6.0 5.4 6.0 5.5 (1)2000~2020年,我国城市化进程处在哪一阶段?该阶段有何特点?(8分) (2)结合所学知识,简述我国实施城乡一体化新格局的意义。(6分) (3)据材料二表中数据,分析该城市在城市化进程中城郊之间污染物移动的方向与原因,并 提出为改善城区空气质量,在郊区应采取的有效措施。(8分) 答案 (1)中期阶段。特点:人口和经济活动向城市聚集,城市化水平加速提高,城市数量 增加;城市用地规模大幅度增加;出现城市密集地区和城市群。 (2)有利于缓解城市压力,壮大城市经济实力;有利于发展农村经济,促进农村的城市化进 程;有利于缩小城乡差距(或增强农村发展活力),实现城乡共同繁荣。 (3)方向:高空污染物由城区向郊区扩散,近地面污染物由郊区流向城区。原因:城郊气温 差产生了城郊之间的热力环流(或城市热岛效应)。 措施:在郊区布局有大气污染的工业时,应该选择在热力环流下沉气流之外的区域;提高 郊区绿化率。