当前位置:首页>文档>2023年高考地理一轮复习(全国版)必修1第3章第1讲真题专练_9.2025地理总复习_赠品通用版(老高考)复习资料_一轮复习_2023年高考地理一轮复习讲义+课件(全国版)

2023年高考地理一轮复习(全国版)必修1第3章第1讲真题专练_9.2025地理总复习_赠品通用版(老高考)复习资料_一轮复习_2023年高考地理一轮复习讲义+课件(全国版)

  • 2026-04-01 05:16:57 2026-03-11 17:42:06

文档预览

2023年高考地理一轮复习(全国版)必修1第3章第1讲真题专练_9.2025地理总复习_赠品通用版(老高考)复习资料_一轮复习_2023年高考地理一轮复习讲义+课件(全国版)
2023年高考地理一轮复习(全国版)必修1第3章第1讲真题专练_9.2025地理总复习_赠品通用版(老高考)复习资料_一轮复习_2023年高考地理一轮复习讲义+课件(全国版)
2023年高考地理一轮复习(全国版)必修1第3章第1讲真题专练_9.2025地理总复习_赠品通用版(老高考)复习资料_一轮复习_2023年高考地理一轮复习讲义+课件(全国版)
2023年高考地理一轮复习(全国版)必修1第3章第1讲真题专练_9.2025地理总复习_赠品通用版(老高考)复习资料_一轮复习_2023年高考地理一轮复习讲义+课件(全国版)

文档信息

文档格式
docx
文档大小
0.110 MB
文档页数
4 页
上传时间
2026-03-11 17:42:06

文档内容

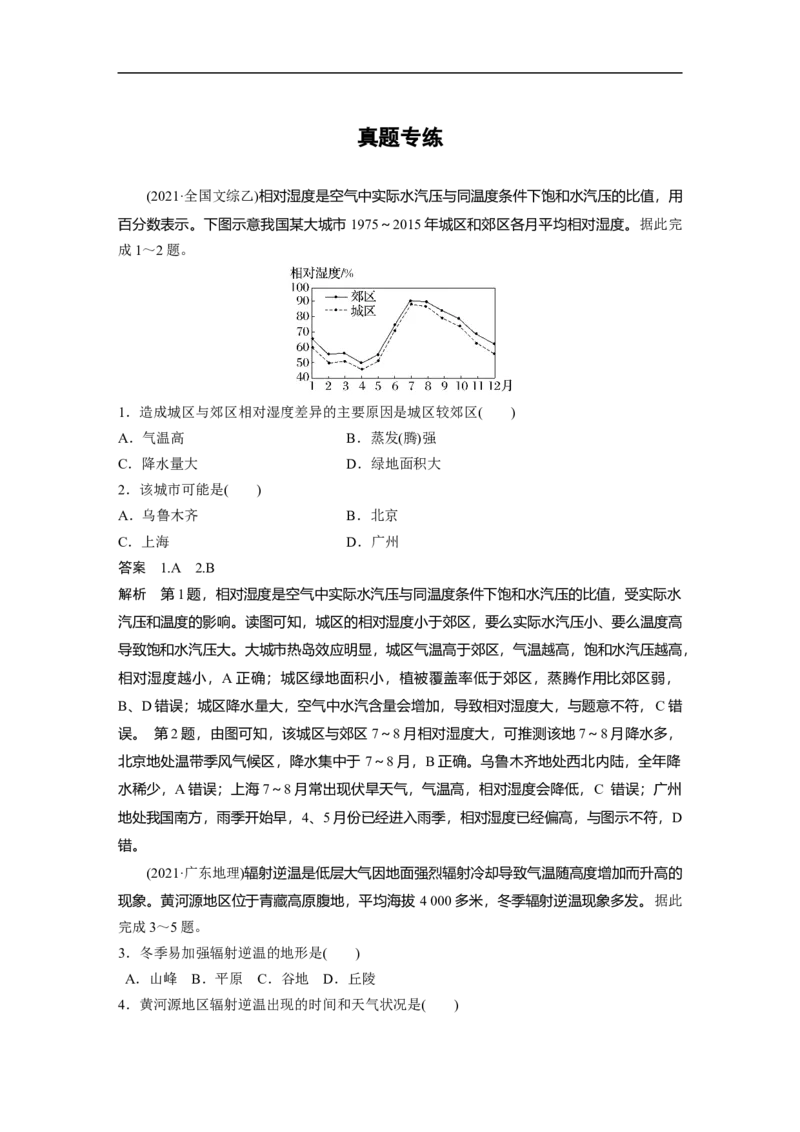
真题专练 (2021·全国文综乙)相对湿度是空气中实际水汽压与同温度条件下饱和水汽压的比值,用 百分数表示。下图示意我国某大城市1975~2015年城区和郊区各月平均相对湿度。据此完 成1~2题。 1.造成城区与郊区相对湿度差异的主要原因是城区较郊区( ) A.气温高 B.蒸发(腾)强 C.降水量大 D.绿地面积大 2.该城市可能是( ) A.乌鲁木齐 B.北京 C.上海 D.广州 答案 1.A 2.B 解析 第1题,相对湿度是空气中实际水汽压与同温度条件下饱和水汽压的比值,受实际水 汽压和温度的影响。读图可知,城区的相对湿度小于郊区,要么实际水汽压小、要么温度高 导致饱和水汽压大。大城市热岛效应明显,城区气温高于郊区,气温越高,饱和水汽压越高, 相对湿度越小,A正确;城区绿地面积小,植被覆盖率低于郊区,蒸腾作用比郊区弱, B、D错误;城区降水量大,空气中水汽含量会增加,导致相对湿度大,与题意不符,C错 误。 第2题,由图可知,该城区与郊区7~8月相对湿度大,可推测该地7~8月降水多, 北京地处温带季风气候区,降水集中于 7~8月,B正确。乌鲁木齐地处西北内陆,全年降 水稀少,A错误;上海7~8月常出现伏旱天气,气温高,相对湿度会降低,C 错误;广州 地处我国南方,雨季开始早,4、5月份已经进入雨季,相对湿度已经偏高,与图示不符,D 错。 (2021·广东地理)辐射逆温是低层大气因地面强烈辐射冷却导致气温随高度增加而升高的 现象。黄河源地区位于青藏高原腹地,平均海拔 4 000多米,冬季辐射逆温现象多发。据此 完成3~5题。 3.冬季易加强辐射逆温的地形是( ) A.山峰 B.平原 C.谷地 D.丘陵 4.黄河源地区辐射逆温出现的时间和天气状况是( )A.日落前后,大风呼啸 B.正午时刻,雨雪交加 C.午夜时分,浓云密雾 D.日出之前,晴朗无风 5.黄河源地区冬季辐射逆温多发是由于( ) A.锋面气旋多 B.下沉气流盛行 C.准静止锋强 D.热力对流强盛 答案 3.C 4.D 5.B 解析 第3题,从现象上看,逆温是近地面气温低于较高处气温,地面附近气温越低,越有 利于逆温的发育。题目提供的四种地形中,凹型的谷地更易于积累冷空气,冬季冷空气沿山 坡下沉到谷底,导致底部冷空气聚集,产生下冷上热的逆温现象,故选C。第4题,辐射逆 温是“因地面强烈辐射冷却导致”的,近地面气温低于高处气温,形成上暖下冷的逆温现象, 其实质是近地面热量的收支平衡问题。近地面大气热量的直接来源是地面辐射,距离地面越 近受到地面的影响就越大;逆温发生时,近地面气温低,意味着地面辐射弱,即地温低。地 温最低的时刻一般是日出之前。逆温的发育需要相对稳定的气象条件,晴朗天气,大气逆辐 射弱,地面降温快,利于逆温的形成;风力小,空气稳定,与周边大气热量交换微弱,更易 于冷空气集聚,选D。第5题,逆温的形成是近地面低温的结果,黄河源地区地处青藏高原, 冬季严寒,空气冷却下沉,冷空气在地面集聚,利于逆温的形成,选 B。锋面气旋、准静止 锋多发生于中纬度、冷暖空气易于交汇的地区,青藏高原海拔高,冷暖空气难以在此汇聚, A、C错;青藏高原冬季对流运动微弱,D错。 (2020·北京地理)下图为“我国某地立秋至处暑期间天气晴好条件下辐射量日变化示意 图”。读图,回答6~7题。 6.代表太阳辐射变化的曲线是( ) A.① B.② C.③ D.④ 7.该地最可能位于( ) A.珠江三角洲 B.河西走廊 C.松嫩平原 D.钓鱼岛答案 6.C 7.B 解析 第6题,立秋至处暑期间,太阳直射点在北半球,我国昼长夜短,日出地方时早于6 时,日落晚于18时,在日出之前、日落之后的太阳辐射应该是0,而不是大于0或者小于 0,图中只有③符合条件,故选C。第7题,太阳辐射应在当地12时前后达到最大值,根据 上题分析可知,③表示太阳辐射的变化曲线,该曲线达到最大值时,北京时间约在13~14 时,所以当地的经度大约位于90°E~105°E,A、C、D错(注意珠江三角洲的经度大约位于 110°E~120°E),B正确,故选B。 8.(2020·1月浙江选考)茶树是一种喜温好湿、耐阴性较强、多年生的经济作物。浙江盛夏 高温少雨时,有茶农给茶树撑起了黑色的遮阳棚,其目的是( ) A.减少阳光直接照射,根治病虫害 B.遮光,阻止杂草生长 C.避免阳光直接照射,减少茶树蒸腾 D.减少空气对流,防止热量散失 答案 C 解析 茶树性好湿,浙江省纬度较低,盛夏少雨时太阳辐射强,蒸发旺盛,土壤易缺水,影 响茶树生长;黑色遮阳网吸收阳光,避免阳光直接照射茶树,从而减少蒸腾量。 (2019·全国文综Ⅱ)积云为常见的一类云,其形成受下垫面影响强烈。空气在对流过程中, 气流携带来自下垫面的水汽上升,温度不断下降,至凝结温度时,水汽凝结成云。水汽开始 凝结的高度即为积云的云底高度。据此完成9~11题。 9.大气对流过程中上升气流与下沉气流相间分布,因此积云常常呈( ) A.连续层片状 B.鱼鳞状 C.间隔团块状 D.条带状 10.积云出现频率最高的地带是( ) A.寒温带针叶林地带 B.温带落叶阔叶林地带 C.亚热带常绿阔叶林地带 D.热带雨林地带 11.在下垫面温度决定水汽凝结高度的区域,积云的云底高度低值多出现在( ) A.日出前后 B.正午 C.日落前后 D.午夜 答案 9.C 10.D 11.A 解析 第9题,由于下垫面性质差异,近地面大气温度不同,大气对流过程中上升气流和下 沉气流相间分布,上升气流对应团块状云朵,下沉气流对应云间的间隔,因此积云常常呈间 隔团块状,选C。A、B、D均为连续形状,排除。第10题,低纬地面温度高,对流更加强 烈,加之水汽充足,因此热带雨林地带出现积云频率最高,选D。第11题,据材料信息可知,积云的云底高度取决于下垫面温度,下垫面温度越低,积云的云底高度也就越低,一天 中下垫面气温最低时为日出前后,A选项正确。