当前位置:首页>文档>第3讲地球的宇宙环境和地球的圈层结构_9.2025地理总复习_赠品通用版(老高考)复习资料_一轮复习_2023年高考地理一轮复习讲义+课件(全国版)_赠补充习题_第二章行星地球

第3讲地球的宇宙环境和地球的圈层结构_9.2025地理总复习_赠品通用版(老高考)复习资料_一轮复习_2023年高考地理一轮复习讲义+课件(全国版)_赠补充习题_第二章行星地球

  • 2026-04-05 12:09:38 2026-03-13 13:44:39

文档预览

第3讲地球的宇宙环境和地球的圈层结构_9.2025地理总复习_赠品通用版(老高考)复习资料_一轮复习_2023年高考地理一轮复习讲义+课件(全国版)_赠补充习题_第二章行星地球
第3讲地球的宇宙环境和地球的圈层结构_9.2025地理总复习_赠品通用版(老高考)复习资料_一轮复习_2023年高考地理一轮复习讲义+课件(全国版)_赠补充习题_第二章行星地球
第3讲地球的宇宙环境和地球的圈层结构_9.2025地理总复习_赠品通用版(老高考)复习资料_一轮复习_2023年高考地理一轮复习讲义+课件(全国版)_赠补充习题_第二章行星地球
第3讲地球的宇宙环境和地球的圈层结构_9.2025地理总复习_赠品通用版(老高考)复习资料_一轮复习_2023年高考地理一轮复习讲义+课件(全国版)_赠补充习题_第二章行星地球
第3讲地球的宇宙环境和地球的圈层结构_9.2025地理总复习_赠品通用版(老高考)复习资料_一轮复习_2023年高考地理一轮复习讲义+课件(全国版)_赠补充习题_第二章行星地球
第3讲地球的宇宙环境和地球的圈层结构_9.2025地理总复习_赠品通用版(老高考)复习资料_一轮复习_2023年高考地理一轮复习讲义+课件(全国版)_赠补充习题_第二章行星地球
第3讲地球的宇宙环境和地球的圈层结构_9.2025地理总复习_赠品通用版(老高考)复习资料_一轮复习_2023年高考地理一轮复习讲义+课件(全国版)_赠补充习题_第二章行星地球
第3讲地球的宇宙环境和地球的圈层结构_9.2025地理总复习_赠品通用版(老高考)复习资料_一轮复习_2023年高考地理一轮复习讲义+课件(全国版)_赠补充习题_第二章行星地球
第3讲地球的宇宙环境和地球的圈层结构_9.2025地理总复习_赠品通用版(老高考)复习资料_一轮复习_2023年高考地理一轮复习讲义+课件(全国版)_赠补充习题_第二章行星地球
第3讲地球的宇宙环境和地球的圈层结构_9.2025地理总复习_赠品通用版(老高考)复习资料_一轮复习_2023年高考地理一轮复习讲义+课件(全国版)_赠补充习题_第二章行星地球
第3讲地球的宇宙环境和地球的圈层结构_9.2025地理总复习_赠品通用版(老高考)复习资料_一轮复习_2023年高考地理一轮复习讲义+课件(全国版)_赠补充习题_第二章行星地球
第3讲地球的宇宙环境和地球的圈层结构_9.2025地理总复习_赠品通用版(老高考)复习资料_一轮复习_2023年高考地理一轮复习讲义+课件(全国版)_赠补充习题_第二章行星地球
第3讲地球的宇宙环境和地球的圈层结构_9.2025地理总复习_赠品通用版(老高考)复习资料_一轮复习_2023年高考地理一轮复习讲义+课件(全国版)_赠补充习题_第二章行星地球
第3讲地球的宇宙环境和地球的圈层结构_9.2025地理总复习_赠品通用版(老高考)复习资料_一轮复习_2023年高考地理一轮复习讲义+课件(全国版)_赠补充习题_第二章行星地球
第3讲地球的宇宙环境和地球的圈层结构_9.2025地理总复习_赠品通用版(老高考)复习资料_一轮复习_2023年高考地理一轮复习讲义+课件(全国版)_赠补充习题_第二章行星地球
第3讲地球的宇宙环境和地球的圈层结构_9.2025地理总复习_赠品通用版(老高考)复习资料_一轮复习_2023年高考地理一轮复习讲义+课件(全国版)_赠补充习题_第二章行星地球
第3讲地球的宇宙环境和地球的圈层结构_9.2025地理总复习_赠品通用版(老高考)复习资料_一轮复习_2023年高考地理一轮复习讲义+课件(全国版)_赠补充习题_第二章行星地球
第3讲地球的宇宙环境和地球的圈层结构_9.2025地理总复习_赠品通用版(老高考)复习资料_一轮复习_2023年高考地理一轮复习讲义+课件(全国版)_赠补充习题_第二章行星地球
第3讲地球的宇宙环境和地球的圈层结构_9.2025地理总复习_赠品通用版(老高考)复习资料_一轮复习_2023年高考地理一轮复习讲义+课件(全国版)_赠补充习题_第二章行星地球
第3讲地球的宇宙环境和地球的圈层结构_9.2025地理总复习_赠品通用版(老高考)复习资料_一轮复习_2023年高考地理一轮复习讲义+课件(全国版)_赠补充习题_第二章行星地球
第3讲地球的宇宙环境和地球的圈层结构_9.2025地理总复习_赠品通用版(老高考)复习资料_一轮复习_2023年高考地理一轮复习讲义+课件(全国版)_赠补充习题_第二章行星地球
第3讲地球的宇宙环境和地球的圈层结构_9.2025地理总复习_赠品通用版(老高考)复习资料_一轮复习_2023年高考地理一轮复习讲义+课件(全国版)_赠补充习题_第二章行星地球
第3讲地球的宇宙环境和地球的圈层结构_9.2025地理总复习_赠品通用版(老高考)复习资料_一轮复习_2023年高考地理一轮复习讲义+课件(全国版)_赠补充习题_第二章行星地球
第3讲地球的宇宙环境和地球的圈层结构_9.2025地理总复习_赠品通用版(老高考)复习资料_一轮复习_2023年高考地理一轮复习讲义+课件(全国版)_赠补充习题_第二章行星地球
第3讲地球的宇宙环境和地球的圈层结构_9.2025地理总复习_赠品通用版(老高考)复习资料_一轮复习_2023年高考地理一轮复习讲义+课件(全国版)_赠补充习题_第二章行星地球
第3讲地球的宇宙环境和地球的圈层结构_9.2025地理总复习_赠品通用版(老高考)复习资料_一轮复习_2023年高考地理一轮复习讲义+课件(全国版)_赠补充习题_第二章行星地球
第3讲地球的宇宙环境和地球的圈层结构_9.2025地理总复习_赠品通用版(老高考)复习资料_一轮复习_2023年高考地理一轮复习讲义+课件(全国版)_赠补充习题_第二章行星地球
第3讲地球的宇宙环境和地球的圈层结构_9.2025地理总复习_赠品通用版(老高考)复习资料_一轮复习_2023年高考地理一轮复习讲义+课件(全国版)_赠补充习题_第二章行星地球
第3讲地球的宇宙环境和地球的圈层结构_9.2025地理总复习_赠品通用版(老高考)复习资料_一轮复习_2023年高考地理一轮复习讲义+课件(全国版)_赠补充习题_第二章行星地球

文档信息

文档格式
docx
文档大小
3.701 MB
文档页数
29 页
上传时间
2026-03-13 13:44:39

文档内容

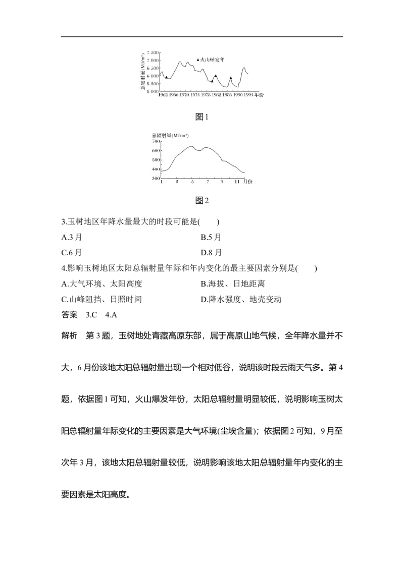
第二章 行星地球 研析考情 解密高考 全国高考 命题情 设 问 特 涉分 考点 题型 难度 考情报告 题 境 征 昼夜长 旅游途 [命题分析] 近 2018卷 选择 最 优 选 4分 短的变 中 中的选 几年全国卷中, Ⅰ,10 题 择 化 座 考查了地球运动 特征、时间计算 2018卷 时间计 选择 经纬网 地理计 4分 中 和昼夜长短的变 Ⅱ,6 算 题 图 算 化三个考点。均 昼夜长 汽车轮 并列关 以选择题形式出 2017卷 选择 4分 短的变 中 胎测试 系、推 现,以中等难度 Ⅱ,5 题 化 场 理判断 为主。 地球运 [命题特点] 多 2017卷 动特征 选择 四地季 推理判 以具体生活中常 4分 中 Ⅲ,10 与自转 题 节特征 断 见的自然现象、 意义 区域经纬网图为 素材。 地球运 2017卷 动特征 选择 季节特 推理判 [核心素养] 高 4分 易 Ⅲ,11 与自转 题 征 断 考对地球运动的 意义 地理意义的考查 基于学生可观察 的地理现象或曾 经纬网 2015卷 时间计 选择 最优选 经进行过的地理 4分 中 图、跨 Ⅱ,8 算 题 择 实践来展开,注 国企业 重对学生地理实 践力的培养。 第 3 讲 地球的宇宙环境和地球的圈层结 构 【高考内容要求】 1.地球所处的宇宙环境。2.地球是太阳系中一颗既普通又特殊的行星。3.太阳对地球的影响。4.地球的圈层结构及各圈层的主要特点。 核心素养解读 知识体系导引 1.区域认知:利用天体系统层次图示,认识天体间的位 置关系。利用地球内部示意图认识地球内部圈层结构。 2.综合思维:利用材料分析地球存在生命的自身条件和 外部条件。结合图示掌握地球内部圈层的特点。 3.地理实践力:观察晴朗夜晚的星空,简单识别不同天 体。 4.人地协调观:通过对地球宇宙环境的学习,树立科学 的人生价值观。 考点一 地球的宇宙环境 1.地球在宇宙中的位置 读天体系统层次示意图,回答下列问题。 (1)宇宙的物质性——天体。 ①类型:恒星、星云、行星、流星体、彗星、卫星、星际物质等。 ②最基本的天体:恒星和星云。 (2)宇宙的运动性和层次性。 ①运动性:天体相互吸引、相互绕转,形成天体系统。 ②层次性:目前所知的天体系统分为四级,具体如下图所示: A总星系 2.地球是太阳系中一颗既普通又特殊的行星 读太阳系示意图,回答问题。 (1)地球是太阳系中一颗普通行星。①太阳系的组成 中心天体 太阳 类地行星 A水星、B金星、C地球、D火星 八大 巨行星 E木星、F土星 行星 远日行星 G天王星、H海王星 小行星带 位于火星轨道和木星轨道之间 彗星 太阳系中最著名的是哈雷彗星 ②地球在太阳系中的普通性:运动特征相同,八大行星绕日公转具有 共 面性 、 近圆性和同向性的特征;结构特征相似,地球与水星、金星、火星同为类地行 星。 (2)地球的特殊性——存在生命。 ①外部条件——“安全”和“稳定” ②自身条件——三个“适中” 自身条件主要指适宜的温度条件、适合生物生存的大气条件和液态水的存在。 【知识链接】 航天基地的选址条件 (1)发射基地选址的条件 气象条件 晴天多、阴雨天少,风速小,湿度低,有利于发射和跟踪监测 纬度因素 纬度低,自转线速度大,可以节省燃料和成本 地势因素 地势越高,地球自转线速度越大 地形因素 地形平坦开阔,有利于跟踪监测 大陆内部气象条件好,隐蔽性强,人烟稀少,安全性强(如酒泉、西 海陆位置 昌、太原);海上人类活动少,安全性强(如文昌) 交通条件 交通便利,有利于大型航天装备的运输出于国防安全考虑,有的建在山区、沙漠地区,有的建在地广人稀 安全因素 处 (2)航天器发射时间、方向的选择 在一天中一般选择在晴朗无云的夜晚,主要是便于定位和跟踪监测 我国发射时间主要选择在北半球冬季,一是便于航天测控网对飞船的 时间 监控、管理、回收;二是我国有多艘“远望号”监测船在南半球纬度 较高的海域,选择北半球冬季是为了避开南半球恶劣的海况 一般与地球运动方向一致,向东发射可充分利用地球自转线速度,节 方向 约能源 (3)回收基地选址的条件 ①地形平坦,视野开阔,便于搜救。 ②人烟稀少,有利于疏散人群,保证安全。 ③气候干旱,多晴朗天气,能见度高。 ④地质条件好。 [技法点拨] 生命存在条件题目的分析思路 此类题目的解答可以通过知识的迁移、参照地球生命存在的条件而降低难度, 提高答题的准确性。具体思路如下: [解题探究] 【例】 (2017·上海卷)“椰林婆娑送天舟”。选择海南文昌作为我国又一个卫 星发射基地的重要影响因素是( ) A.纬度 B.地貌 C.水文 D.气候 [解题能力培养] [我的答案] ________答案 A 综合思维 卫星发射基地选址条件。 区域认知 海南文昌地理位置及天气特征。 角度1 生命存在的条件 1.读图,回答(1)~(2)题。 (1)图中的天体M可能是( ) A.月球或水星 B.水星或金星 C.金星或木星 D.火星或土星 (2)与地球相比,天体M没有生命存在的根本原因是( ) ①没有适合生物呼吸的大气和水 ②没有坚硬的地表 ③距日较近,表面温度 较高 ④体积和质量很小 A.①② B.③④ C.①③ D.②④ 答案 (1)B (2)C 解析 第(1)题,由绕日公转轨道示意图知,M轨道位于地球绕日公转轨道之内, M应该是水星或金星。第(2)题,行星表面是否坚硬不是存在生命的必要条件, 可排除②;金星的体积和质量与地球相比,并不是很小,可排除④。 角度2 航天基地建设 2.(浙江卷)下图是世界某区域略图。读图,完成下题。简述①地建设航天发射基地的有利条件和不利因素。(6分) 答案 有利条件:纬度低、海运便利、地形平坦开阔、人口稀少等。 不利因素:天气多变。 解析 低纬度地区建设航天发射基地在发射时可以充分借助地球自转动力,节 省燃料;同时沿海交通便利、地势平坦、人口稀少;再加上面临大海,可大大 降低发射带来的风险。但①地常年受赤道低气压带控制,终年高温多雨,天气 复杂多变,不利于航天发射。 考点二 太阳对地球的影响 一、太阳辐射与地球 1.太阳辐射概述 (1)概念:太阳以电磁波的形式向宇宙空间放射的能量。分为紫外光、可见光、 红外光三部分。 (2)能量分布:太阳辐射能主要集中在波长较短的可见光波段。 2.影响太阳辐射的因素3.太阳辐射的分布规律 (1)世界年太阳辐射总量的分布 世界年太阳辐射总量分布图 单位:千卡/(厘米2·年)(1卡=4.186 8焦耳) ①不同纬度:由低纬度向高纬度递减。 ②相同纬度:由沿海向内陆递增;夏季强于冬季。 (2)我国年太阳辐射总量的分布状况 ①总体特征 我国年太阳辐射总量的分布,从总体上讲,是从东部沿海向西部内陆递增。年 太阳辐射总量的高值中心在青藏高原,低值中心在四川盆地。具体如下图所示:②特例 青藏高原成为高值中心的原因:纬度低,正午太阳高度大;海拔高,空气稀薄, 大气对太阳辐射削弱作用弱;大气中的尘埃含量少,晴天多,日照时间长。 四川盆地成为低值中心的原因:盆地地形,水汽不易散发,空气中水汽多;阴 天、雾天多,对太阳辐射削弱作用强。 太阳辐射强的地方,热量一定丰富吗? 提示 太阳辐射强的地方,热量不一定丰富,如青藏高原,由于海拔高,空气 稀薄,水汽、尘埃少,晴天多,太阳辐射强,光照充足;但由于空气稀薄,大 气吸收的地面长波辐射很少,大气的保温作用弱,成为我国夏季气温最低的地 区。 二、太阳活动影响地球 1.太阳大气层及太阳活动 ①太阳大气层的结构:A光球层,B色球层,C日冕层。 ②太阳活动的主要类型:A层的黑子,B层的耀斑,其周期约为11 年,它们都是太阳活动的重要标志。 2.太阳活动对地球的影响 太阳活动 对地球的影响 类型 活动特征 活动层次 ①温度比周围低而显现暗黑 斑点 ①太阳黑子和耀斑增多 黑子 光球层 ②太阳活动的重要标志 时,发射的电磁波扰动地 球的电离层,影响无线电 ③周期约为11年 短波通信 ①突然增大、增亮的斑块 ②太阳大气抛出的高能带 ②时间短(几分钟到几十分 电粒子会扰乱地球磁场, 钟) 产生“磁暴”现象 耀斑 色球层 ③释放巨大能量 ③与许多自然灾害的发生 有关,如地震、水旱灾害 ④太阳活动的重要标志 等 ⑤周期约为11年 ④太阳风形成的带电粒子 流在极地地区形成绚丽多 ①温度极高 彩的极光 ②带电粒子高速运动 太阳风 日冕层 ③脱离太阳引力飞向宇宙空 间形成的带电粒子流 是不是在地球上的任何地方、任何时候都能观察到极光? 提示 不是。极光是一种大气发光现象,主要出现在高纬度地区的夜晚,当地 出现极夜现象时是观测极光的最佳时机。 [技法点拨] 等太阳辐射量线图的判读(常考的25类图像之三)(1)读图名 明确本图为中国多年平均太阳辐射总量空间分布图,单位是(亿焦耳/米2)。 (2)看整体趋势 多年平均太阳辐射总量变化趋势由东南向西北先递增后递减。 (3)看等值线的走向 不同等值线走向略有不同。 (4)看极值 Q地是极小值地区,P地是极大值地区。 解题秘诀:正确描述太阳辐射的分布规律 描述太阳辐射分布规律时,要注意时、空两个方面:从时间上一般分析其冬、 夏季的差异;从空间上一般描述其“从……向……递减(或递增)”“哪个地区 多,哪个地区少”,如我国年太阳辐射总量:时间上,大部分地区夏半年多于 冬半年;空间上,大致从东南向西北递增。 [解题探究] 【例】 (山东卷)日照时数指太阳在某地实际照射的时间。图们江是中国与朝 鲜的界河。下图为图们江流域日照时数年内变化柱状图。完成(1)~(2)题。(1)该流域日照时数在7月出现低谷的影响因素是( ) A.云量 B.海拔 C.下垫面 D.正午太阳高度 (2)日照百分率为一个时段内某地日照时数与理论上最大的日照时数的比值(%)。 该流域3月份的日照百分率约为( ) A.53% B.62% C.70% D.78% [解题能力培养] 第1步 从文字材料中获取信息 第2步 从图示材料中获取信息 [我的答案] (1)________ (2)________ 答案 (1)A (2)B 图们江流域位于季风区内,7月阴雨天气多。结合图文计算日照 综合思维 百分率。 区域认知 图们江流域气候条件的分析。 角度1 太阳辐射的分布及影响因素1.阅读图文材料,完成下列问题。 太阳辐射能是地球大气运动的主要动力,太阳直接为地球提供了光热资源。受 诸多因素的影响,到达不同地区的太阳辐射的多少各有不同。辽宁省是我国太 阳辐射能开发利用较早的省份之一,近年来,辽宁省许多大型企业加大对太阳 能资源开发和光伏发电的投资力度,并取得了良好的效益。下图为辽宁省年太 阳辐射总量空间分布图。 (1)分别指出辽宁省东部和西部地区太阳辐射总量的分布特点。 (2)说明甲地区太阳辐射总量较低的主要原因。 答案 (1)东部地区:太阳辐射总量由东北向西南逐渐增加。西部地区:太阳辐 射总量由东南向西北逐渐增加。 (2)位于东南季风迎风坡,多地形雨,大气对太阳辐射削弱作用强,导致太阳辐 射总量低。 角度2 太阳活动对地球的影响 2.(2021·广州调研)磁纬度是地球磁场坐标的要素之一,磁极点的磁纬度为90°。 距磁极点约30°以内的范围常出现极光,这个区域称为极光区。下图示意地球磁纬度分布。据此完成(1)~(2)题。 (1)图中便于游客观测极光的最佳地点是( ) A.甲 B.乙 C.丙 D.丁 (2)“极光之都”费尔班克斯(64°50′N,147°43′W)最适宜观测极光的月份是( ) A.3月 B.6月 C.9月 D.12月 答案 (1)B (2)D 解析 第(1)题,据材料信息“距磁极点约30°以内的范围常出现极光”可知, 磁纬度大于60°的地区常出现极光。读图可知,丙、丁两地磁纬度小于60°,不 在极光区,排除C、D两项;乙地位于加拿大东部地区,甲地位于格陵兰岛, 乙地基础设施完善,便于观测极光,B项正确,A项错误。第(2)题,该地位于 北半球高纬度,12月昼短夜长,便于观测极光。 考点三 地球的圈层结构 1.地球的内部圈层(1)划分依据:地震波传播速度的变化。 (2)两类地震波: 类型 传播速度 能通过的介质 共性 A表示横波 较慢 固体 传播速度都随所通过 物质的性质而变化 B表示纵波 较快 固体、液体和气体 (3)两个不连续界面: ①C界面——莫霍界面,纵波和横波传播速度都明显增加。 ②D界面——古登堡界面,横波完全消失,纵波传播速度突然下降。 (4)三大圈层: 圈层 地壳 地幔 地核 图中 C界面以上部 C、D两界面之间的部 D 界面以下部分,内部分为E 范围 分 分 外核和F内核 (5)岩石圈的构成:包括地壳和上地幔顶部(软流层以上)两部分。 2.地球的外部圈层 读地球外部圈层示意图,回答地球外部圈层的特点。 (1)A生物圈:地球表层生物及其生存环境的总称,占有大气圈的底部、水圈的 全部和岩石圈的上部。 (2)B大气圈:由气体和悬浮物组成的复杂系统,它的主要成分是氮和氧。 (3)C水圈:由地球表层水体构成的连续但不规则的圈层。 [技法点拨] 依据地震波在地球内部传播速度的变化,地球固体表面以下可划分为地壳、地幔、地核三个圈层。具体分析如下图表所示: 提示 软流层又称软流圈,位于上地幔上部、岩石圈之下,一般认为是岩浆的 主要发源地。 [解题探究]【例】 (2019·海南卷)2019年2月19日,我国在塔里木盆地顺北油气田完成某 钻井钻探,钻井深8 588米,创亚洲陆上钻井最深纪录。据此完成下题。 该钻井( ) A.未穿透地壳 B.深达莫霍面 C.已穿透岩石圈 D.即将穿透地幔 [解题能力培养] [我的答案] ________ 答案 A 角度1 地球内部圈层分析 1.(2018·浙江6月学考)下图为地震波在地球内部传播速度和地球内部结构(①~ ④为地球内部圈层)示意图。据此完成(1)~(2)题。 (1)①~④表示的地球内部圈层,对应正确的是( ) A.①—地壳 B.②—岩石圈 C.③—地幔 D.④—软流层(2)下列对地球内部各圈层特点的描述,正确的是( ) A.①—横波传播速度最大 B.②—内部物质组成均匀 C.③—呈液态或熔融状态 D.④—由硅酸盐矿物组成 答案 (1)A (2)C 解析 第(1)题,根据示意图可判断,①为地壳,②为地幔, ③为外核,④为 内核。岩石圈的范围是软流层之上的部分,即包括上地幔顶部和地壳;软流层 位于上地幔,距地表大约80~400千米深处。第(2)题,根据图中信息,横波从 上到下传播过程中速度在增加,在到达古登堡面时消失,因此在①层时不是速 度最大;②层地震波从上到下速度在变化,说明内部物质组成不均匀;横波传 到③层时消失,说明该层是液态或熔融状态;④是由高温的铁和镍组成的。 角度2 地球外部圈层判断 2.(2021·武昌区调研)读“秀丽的黄果树瀑布景观图”,完成(1)~(2)题。 (1)该图景观体现出的地球外部圈层的个数是( ) A.2个 B.3个 C.4个 D.5个 (2)该景观的形成过程,充分说明了( ) A.图中各圈层都是连续而不规则的 B.图中的各圈层之间是相互联系、相互影响的C.图中的各圈层是独立发展变化的 D.图中各圈层的内部物质运动的能量都来自太阳辐射能 答案 (1)C (2)B 解析 第(1)题,该景观为黄果树瀑布图,瀑布属于水圈,图中瀑布周围有茂密 的植被和大量的岩石,还有清新的空气,因此图示景观体现了大气圈、水圈、 生物圈和岩石圈。故选C。第(2)题,地球外部圈层中只有水圈是连续而不规则 的圈层,A错;黄果树瀑布景观的形成过程充分说明了图中各圈层之间是相互 联系相互影响的,B对;生物圈是大气圈、水圈和岩石圈相互影响、相互渗透 的结果,C错;地球内部物质运动的能量主要来自地球内能,D错。 综合训练 (2021·郑州外国语学校高三月考)据媒体报道,在距离地球约 4.2光年的某恒星 (比邻星)的宜居带内运行的一颗行星(比邻星b)可能拥有广阔的海洋,这增加了 其支持生命存在的可能性。下表为地球与比邻星b相关信息比较表。据此完成1 ~2题。 质量(以 地 与中心恒 温度、 空气、 公转 中心恒星 球为参 星距离 光照 水 周期 表面温度 照) 1.5亿 6 000 K 地球 1 适宜 可观 365天 千米 左右 比邻 1.3 700万 适宜 可观 11.2 小于星b 千米 天 3 000K 1.下列关于比邻星b支持生命存在的条件的推测,最全面的是( ) A.适当的质量,离中心恒星适中的距离 B.适中的公转周期,中心恒星适当的表面温度 C.适宜的温度,充足的空气和液态水 D.适当的质量,适中的公转周期 2.关于比邻星的描述,合理的是( ) A.比邻星正在不断地进行核聚变反应 B.比邻星的最主要成分是氦 C.比邻星是一颗较大的行星 D.比邻星的主体辐射波长比太阳短 答案 1.C 2.A 解析 第1题,行星上存在生命的条件:安全的宇宙环境;行星表面适宜的温 度;有适合生物呼吸的大气;有液态水。由比较表可知,比邻星b具有适宜的 温度、充足的空气和水,故其可能支持生命存在。第2题,稳定的恒星最主要 的成分为氢,核聚变是恒星的主要能量来源,A项正确、B项错误;材料信息 已经表明比邻星为恒星,C项错误;物体的主体辐射波长与物体的温度呈负相 关,由材料信息可知比邻星的表面温度比太阳的表面温度低,所以主体辐射波 长应比太阳长,D项错误。 (2021·皖南八校摸底)玉树地处青藏高原东部,地形以山地、高原为主。图 1、 图2分别示意玉树地区太阳总辐射量的年际变化和年内变化。据此完成3~4题。图1 图2 3.玉树地区年降水量最大的时段可能是( ) A.3月 B.5月 C.6月 D.8月 4.影响玉树地区太阳总辐射量年际和年内变化的最主要因素分别是( ) A.大气环境、太阳高度 B.海拔、日地距离 C.山峰阻挡、日照时间 D.降水强度、地壳变动 答案 3.C 4.A 解析 第3题,玉树地处青藏高原东部,属于高原山地气候,全年降水量并不 大,6月份该地太阳总辐射量出现一个相对低谷,说明该时段云雨天气多。第 4 题,依据图1可知,火山爆发年份,太阳总辐射量明显较低,说明影响玉树太 阳总辐射量年际变化的主要因素是大气环境(尘埃含量);依据图2可知,9月至 次年3月,该地太阳总辐射量较低,说明影响该地太阳总辐射量年内变化的主 要因素是太阳高度。(2021·湖北三校联考)下图中黑色区域示意某类太阳活动。据此完成5~7题。 5.图中太阳活动类型及其分布位置分别是( ) A.耀斑 色球层 B.太阳黑子 光球层 C.日珥 日冕层 D.太阳黑子 色球层 6.图中该类太阳活动( ) A.周期一定为11年 B.为太阳内部核裂变反应 C.与耀斑活动同步 D.区域温度高于周围地区 7.在太阳活动的高峰期,地球上( ) A.无线电短波通信畅通 B.低纬地区出现极光现象 C.山脉雪线明显下移 D.海上航行方向可能受到干扰 答案 5.B 6.C 7.D 解析 第5题,图示黑色区域示意的太阳活动是出现在太阳光球层中的太阳黑 子,它是太阳光球表面突然变暗的部分;耀斑是出现在色球层中突然发亮的部 分。第6题,太阳黑子是太阳活动的主要标志,其活动周期约为11年,不是一 定为11年;太阳黑子发生时,在色球层相应处爆发耀斑,耀斑与太阳黑子活动 是同步的;太阳黑子是太阳外部活动的一种现象,不是太阳内部核反应;太阳 黑子出现的区域较周边地区温度低。第7题,在太阳活动的高峰期,太阳会向外大量抛射高能带电粒子,这些高能带电粒子若闯入地球大气层,会干扰电离 层,无线电短波通信可能中断;极地地区出现极光现象;干扰地球磁场,产生 磁暴,海上航行方向可能受到干扰;山脉雪线的变化是受气温影响的,与太阳 活动无关。 8.(2021·太原调研)阅读下列材料,回答相关问题。 材料一 年日照时数是指太阳直接辐射地面时间的一年累计值,以小时为单位。 下图是我国某区域年日照时数分布图。 材料二 天舟一号货运飞船于2017年4月20日在海南文昌航天发射中心成功 发射升空。8月1日,天舟一号货运飞船成功在轨释放一颗立方星。 2017年6月15日,我国在酒泉卫星发射中心采用长征四号乙运载火箭,成功发 射首颗X射线空间天文卫星“慧眼”。 (1)请描述图示区域年日照时数的分布规律。 (2)说出图中甲、乙两区域年日照时数的范围。简要分析造成两地年日照时数差 异的原因。 (3)对比分析海南文昌和甘肃酒泉两大航天发射中心的突出优势。答案 (1)大致由东南向西北递增。 (2)3 600小时<甲<3 800小时。甲位于我国柴达木盆地中,该处海拔较高,空气 稀薄;且深居内陆,周围为山地环绕,降水量较少,晴天多,日照时间长。2 400小时<乙<2 600小时。乙位于祁连山东南段,夏季受来自太平洋的东南季风 的影响,降水较多,晴天偏少,日照时间较短。 (3)文昌:纬度低,自转线速度大,利于航天器发射,节省燃料;海上运输方便, 可以运输大型火箭;四面环海,发射安全。 酒泉:地形平坦开阔;降水稀少,多晴天;铁路交通便利;地广人稀,有利于 保障发射安全。 解析 第(1)题,由图可知,年日照时数等值线大致由东南向西北数值依次增大。 第(2)题,根据等值线数值的递变规律,可知甲、乙两区域年日照时数的范围。 其影响因素包括了纬度因素、地势高低和天气状况等。第(3)题,选择文昌和甘 肃酒泉作为航天发射基地的突出优势,可从纬度因素、交通条件、安全因素等 方面分析。 (2019·浙江4月选考)月球表面既无大气,又无液态水。我国“嫦娥四号”是人 类首次成功着陆于月球背向地球一面的航天器。图 1为地月系示意图,图 2示 意某时刻月球远离地球的一端看到的太阳系中的明亮天体。完成1~2题。1.图2时刻,月球可能位于轨道上的位置是( ) A.① B.② C.③ D.④ 2.“嫦娥四号”在月面上可观察到( ) A.地球遮住银河系的光芒 B.流星拖着亮线飞过头顶 C.太阳在月面上西升东落 D.水星金星太阳同在星空 答案 1.B 2.D 解析 第1题,金星位于地球公转轨道内侧,在日落后一段时间的天空西端地 平线上或日出前一段时间的天空东端地平线上能观测到。图2金星位于天空西 端的地平线上,应该是日落后一段时间观测到的情形。随着月球公转,月球在 ②位置时正远离天空西端,因而可判断月球在②位置时地球上刚日落,B正确。 第2题,“嫦娥四号”位于月球背向地球的一面,在月面上不能观察到地球, 更不会观察到地球遮住银河系光芒的情形,A错;地球上的流星现象是流星体 闯入地球大气层时与大气摩擦燃烧形成的光迹,月球上没有大气,流星闯入月 球上空不会形成光迹,也就不会出现流星现象,B错;月球自转和公转都是自 西向东,太阳在月面上也是东升西落,C错;水星、金星位于地球公转轨道内 侧,“嫦娥四号”面向太阳方向时可以观察到水星、金星和太阳同在星空,D正确。 3.(2018·北京卷)2018年4月,川藏铁路成都至雅安段开始铺轨。读下图,回答 下题。 与成都相比,拉萨( ) A.日出早,白昼长 B.正午太阳高度角小 C.海拔高,日照强 D.大气逆辐射强 答案 C 解析 由图中经纬度信息可知,拉萨位于成都西侧,且两地纬度差异较小,因 此拉萨的日出较成都晚;成都纬度高于拉萨,当太阳直射北半球时,成都昼长 长于拉萨,当太阳直射南半球时,拉萨昼长长于成都;北回归线以北地区,纬 度越低,正午太阳高度角越大,故拉萨的正午太阳高度角大于成都;由图中高 程可知,拉萨的海拔明显高于成都,拉萨海拔高,空气稀薄,大气逆辐射弱, 晴天多,日照强。综上可知,选项C正确。 (全国卷Ⅰ)太阳能光热电站(下图)通过数以十万计的反光板聚焦太阳能,给高塔 顶端的锅炉加热,产生蒸汽,驱动发电机发电。据此完成4~5题。4.我国下列地区中,资源条件最适宜建太阳能光热电站的是( ) A.柴达木盆地 B.黄土高原 C.山东半岛 D.东南丘陵 5.太阳能光热电站可能会( ) A.提升地表温度 B.干扰飞机电子导航 C.误伤途经飞鸟 D.提高作物产量 答案 4.A 5.C 解析 第4题,本题主要考查我国太阳能资源分布。柴达木盆地位于青藏高原, 地势高,空气稀薄,光照强烈,太阳能资源丰富,故从资源条件看最适宜建太 阳能光热电站。第5题,考查人类工程建设对地理环境的影响。依据题意,太 阳能光热电站由众多反光板构成,而众多反光板聚焦太阳能使锅炉加热产生蒸 汽,有可能对途经此处的飞鸟造成伤害,故 C正确。反光板可使到达地面的太 阳辐射减少,则会降低地表温度,可能降低作物产量,故 A、D两项错误;飞 机飞行高度一般远高于高塔高度,故该电站的建设不会干扰飞机电子导航,故 B不正确。 (全国卷)云量是以一日内云遮蔽天空的百分比来表示。下图示意我国某地区多年平均云量日均值分布。读图完成6~7题。 6.据图中信息判断( ) A.甲地多年平均日照时数小于乙地 B.甲地多年平均气温日较差大于乙地 C.乙地多年平均相对湿度小于丙地 D.丙地云量空间变化大于丁地 7.影响乙地等值线向北弯曲的最主要因素是( ) A.地形 B.季风 C.纬度位置 D.海陆位置 答案 6.B 7.A 解析 第6题,读图可知,甲地数值在 50~52之间,乙地在64~66之间,即 乙地平均云量大于甲地,故甲地多年平均日照时数大于乙地,甲地多年平均气 温日较差大于乙地;丙地数值在46~48之间,则乙地多年平均相对湿度大于丙 地;丁地等值线较丙地密集,故云量空间变化应大于丙地。故 B正确。第7题, 乙地等值线向较低处弯曲,表明乙地多年平均云量日均值比两侧大。该处为雅 鲁藏布江谷地,为西南季风的通道,因而云雨量比两侧多,故其影响因素主要 是地形。(2020·北京卷)下图为我国某地立秋至处暑期间天气晴好条件下辐射量日变化示 意图。读图,完成8~9题。 8. 代表太阳辐射变化的曲线是( ) A.① B.② C.③ D.④ 9.该地最可能位于( ) A.珠江三角洲 B.河西走廊 C.松嫩平原 D.钓鱼岛 答案 8.C 9.B 解析 第8题,立秋至处暑期间,太阳直射北半球,我国昼长夜短,早于当地 时间6点日出,晚于当地时间18点日落。在日出前和日落后,太阳辐射量应为 0,而不是大于0或小于0,随着日出,太阳辐射逐渐增大,到正午时刻达到最 大,之后太阳辐射减小,读图可知,①②③④曲线中,只有曲线③满足该条件, 故选C。第9题,太阳辐射应在当地12点前后达到最大值,根据上题分析可知, ③表示太阳辐射的变化曲线,该曲线达到最大值时,北京时间约在13~14点, 所以当地的经度大约位于90°E~105°E,A、C、D错(注意珠江三角洲的经度大约位于110°E~120°E之间),B正确,故选B。 10.(2019·北京卷)莫霍面深度不一。下图为长江中下游某区域莫霍面的等深线分 布图。读图,回答下题。 据图可推断( ) A.①地地壳厚度最薄 B.②地金属矿产丰富 C.③地地幔深度最浅 D.④地地下水埋藏深 答案 B 解析 莫霍面是地壳和地幔的分界线,莫霍面以上到地表为地壳。莫霍面深度 越小,地壳越薄,图中①地莫霍面深度为38.5~39.0千米,不是最小的,故地 壳厚度不是最薄的。②地位于河流附近,且该处河流大致沿莫霍面等深线发育, 说明②地可能位于莫霍面断裂带上,金属矿产丰富。③地莫霍面深度为37.5~ 38.0千米,不是最小的,地幔深度不是最浅的。④地位于河流附近,地下水埋 藏浅。