文档内容
常用药物的结构与作用
即刻题库 www.jike.vip
1 、 A1型题
地西泮经体内代谢,1位脱甲基,3位羟基化生成的活性代谢产物为
A : 去甲西泮
B : 劳拉西泮
C : 替马西泮
D : 氯硝西泮
E : 奥沙西泮
2 、 A1型题
艾司唑仑的化学结构式是
A :
B :
C :
D :
E :
3 、 A1型题
氯丙嗪的结构中不含有
A : 环上有氯取代
B : 二甲氨基
C : 吩噻嗪环
D : 二乙氨基
E : 丙胺4 、 A1型题
属于去甲肾上腺素重摄取抑制剂的抗抑郁药物是
A : 舒必利
B : 阿米替林
C : 舍曲林
D : 帕罗西汀
E : 氟西汀
5 、 A1型题
以下药物不属于三环类抗精神失常药的是
A : 氯米帕明
B : 阿米替林
C : 氯丙嗪
D : 奋乃静
E : 氟西汀
6 、 A1型题
根据化学结构氯丙嗪属于
A : 苯并二氮
类
B : 吩噻嗪类
C : 硫杂蒽类
D : 丁酰苯类
E : 酰胺类
7 、 A1型题
与奋乃静叙述不相符的是
A : 结构中含有吩噻嗪环
B : 用于抗精神病治疗
C : 含有三氟甲基吩噻嗪结构
D : 含有哌嗪乙醇结构
E : 结构中含有哌嗪环
8 、 A1型题
在日光照射下可发生严重的光毒性(过敏)反应的药物是
A : 氯丙嗪
B : 阿米替林
C : 氟吡啶醇
D : 氟西汀
E : 舍曲林9 、 A1型题
与哌替啶的化学结构不相符的是
A : 4-哌啶甲酸甲酯
B : 4-苯基哌啶
C : 4-哌啶甲酸乙酯
D : 药用其盐酸盐
E : 1-甲基哌啶
10 、 A1型题
吗啡结构中17位甲基被烯丙基取代后形成的具有阿片受体拮抗作用的药物是
A : 纳洛酮
B : 布桂嗪
C : 曲马多
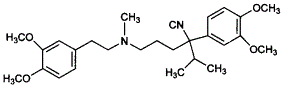
D : 右丙氧芬
E : 布洛芬
11 、 A1型题
芬太尼是强效镇痛药,其结构的特征是
A : 含有4-苯基哌啶结构
B : 含有4-苯胺基哌啶结构
C : 含有苯吗喃结构
D : 含有吗啡喃结构
E : 含有氨基酮结构
12 、 A1型题
吗啡及合成镇痛药均具镇痛活性,是因为
A : 具有相似的电性性质
B : 具有相同的药效构象
C : 具有相似的疏水性
D : 具有相似的构型
E : 具有相似的化学结构
13 、 A1型题
药物分子中含有两个手性碳原子的是
A : 吗啡
B : 美沙酮
C : 布桂嗪
D : 曲马多
E : 哌替啶14 、 A1型题
以左旋体供药用而右旋体无效的药物是
A : 哌替啶
B : 美沙酮
C : 芬太尼
D : 布桂嗪
E : 吗啡
15 、 A1型题
吲哚美辛的化学结构为
A :
B :
C :
D :
E :
16 、 A1型题
某男60岁,误服大量的对乙酰氨基酚,为防止肝坏死,可选用的解毒药物是
A : 谷氨酸
B : 甘氨酸
C : 缬氨酸
D : 乙酰半胱氨酸
E : 胱氨酸
17 、 A1型题
以吲哚美辛为代表的芳基烷酸类药物在临床的作用是
A : 抗炎、镇痛、解热
B : 利尿
C : 抗肿瘤
D : 抗过敏
E : 抗病毒18 、 A1型题
下列描述与吲哚美辛结构不符的是
A : 结构中含有吲哚环
B : 结构中含有羧基
C : 结构中含有对氯苯甲酰基
D : 结构中含有甲氧基
E : 结构中含有咪唑环
19 、 A1型题
属于选择性COX-2抑制剂的药物是
A : 双氯芬酸
B : 吡罗昔康
C : 安乃近
D : 塞来昔布
E : 甲芬那酸
20 、 A1型题
可待因具有成瘾性,其主要原因是
A : 具有吗啡的基本结构
B : 可待因本身具有成瘾性
C : 与吗啡具有相似疏水性
D : 代谢后产生吗啡
E : 与吗啡具有相同的构型
21 、 A1型题
溴己新为
A : 解热镇痛药
B : 镇静催眠药
C : 抗精神病药
D : 镇咳祛痰药
E : 降血压药
22 、 A1型题
氨茶碱的化学结构为
A :
B :
C :
D :
E :
23 、 A1型题
不属于β肾上腺素受体激动剂类的平喘药是
A : 丙酸氟替卡松
B : 沙美特罗
C : 福莫特罗
D : 班布特罗
E : 沙丁胺醇
24 、 A1型题
属于β肾上腺素受体激动药的是
A : 异丙托溴铵
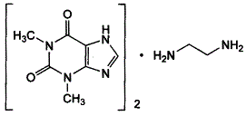
B : 扎鲁司特
C : 沙丁胺醇
D : 丙酸倍氯米松
E : 齐留通
25 、 A1型题
沙美特罗的化学结构为
A :
B :
C :
D :
E :
26 、 A1型题
祛痰药溴己新的活性代谢物是
A : 羧甲司坦
B : 氨溴索
C : 右美沙芬
D : 乙酰半胱氨酸
E : 苯丙哌林
27 、 A1型题
分子中含有硫醚结构的祛痰药是
A : 溴己新
B : 乙酰半胱氨酸
C : 羧甲司坦
D : 苯丙哌林
E : 氨溴索
28 、 A1型题
与异丙托溴铵不符的是
A : 分子中托品酸是消旋体
B : 为M胆碱受体拮抗剂
C : 具有莨菪碱的一般理化性质
D : 不易透过血脑屏障,中枢副作用低
E : 在酸碱条件下均比较稳定
29 、 A1型题
结构中含有喹啉环的药物是
A : 齐留通
B : 孟鲁司特
C : 扎鲁司特
D : 异丙托溴铵
E : 沙丁胺醇
30 、 A1型题
西咪替丁结构中含有
A : 呋喃环
B : 噻唑环
C : 噻吩环
D : 咪唑环
E : 吡啶环31 、 A1型题
含有硝基乙烯二胺结构片断的抗溃疡药物是
A : 法莫替丁
B : 奥美拉唑
C : 西咪替丁
D : 雷尼替丁
E : 罗沙替丁
32 、 A1型题
雷尼替丁的化学结构是
A :
B :
C :
D :
E :
33 、 A1型题
有关奥美拉唑的叙述不符的是
A : 结构中含有亚磺酰基
B : 在酸碱溶液中均稳定
C : 本身无活性,为前体药物
D : 为质子泵抑制剂
E : 经酸催化重排为活性物质
34 、 A1型题
地西泮化学结构中的母核是
A : 1,4-二氮杂卓环
B : 1,5-苯并二氮草环
C : 二苯并氮杂卓环
D : 1,4-苯并二氮
环
E : 苯并硫氮杂卓环35 、 A1型题
唑吡坦的主要临床用途是
A : 抗惊厥
B : 镇静催眠
C : 抗精神病
D : 抗抑郁
E : 抗癫痫
36 、 A1型题
佐匹克隆的化学结构是
A :
B :
C :
D :
E :
37 、 A1型题
苯巴比妥的化学结构为
A : 嘧啶二酮
B : 嘧啶三酮
C : 丁二酰亚胺
D : 乙内酰脲
E : 丁二酰脲
38 、 A1型题
下列药物不具有抗癫痫作用的是
A :
B :
C :
D :
E :
39 、 A1型题
结构中含有咪唑烷二酮的药物是
A : 奥卡西平
B : 苯巴比妥
C : 硫喷妥钠
D : 丙戊酸钠
E : 苯妥英钠
40 、 A1型题
镇痛药美沙酮的化学结构类型属于
A : 氨基酮类
B : 哌啶类
C : 生物碱类
D : 吗啡喃类
E : 苯吗喃类
41 、 A1型题
纳洛酮结构中17位氮原子上的取代基是
A : 丁烯基
B : 环丙基
C : 甲基
D : 烯丙基
E : 环丁基
42 、 A1型题
与吗啡叙述不符的是
A : 结构中有苯环
B : 为μ阿片受体激动剂
C : 结构中含有醇羟基
D : 结构中有5个手性碳原子
E : 结构中羰基43 、 A1型题
具有1,2-苯并噻嗪结构的药物是
A : 美洛昔康
B : 吲哚美辛
C : 萘普生
D : 芬布芬
E : 酮洛芬
44 、 A1型题
阿司匹林杂质中,能引起过敏反应的是
A : 水杨酸
B : 醋酸苯酯
C : 乙酰水杨酸酐
D : 水杨酸苯酯
E : 乙酰水杨酸苯酯
45 、 A1型题
可以抑制血小板凝聚,用于防治动脉血栓和心肌梗死的药物是
A : 吲哚美辛
B : 阿司匹林
C : 布洛芬
D : 塞来昔布
E : 吡罗昔康
46 、 A1型题
下列哪项与可待因的结构描述不符
A : 含N-甲基哌啶
B : 含呋喃环
C : 含酚羟基
D : 含醇羟基
E : 药用磷酸盐
47 、 A1型题
孟鲁司特为
A : β
受体激动剂
B : 磷酸二酯酶抑制剂
C : 白三烯受体激动剂D : M胆碱受体拮抗剂
E : 白三烯受体拮抗剂
48 、 A1型题
与茶碱描述不相符的是
A : 为黄嘌呤衍生物
B : 具有弱酸性
C : 结构中含有三个甲基
D : 可与乙二胺成盐
E : 结构中含有两个甲基
49 、 A1型题
与沙美特罗不相符的描述是
A : 属于β受体激动剂
B : 属于β受体拮抗剂
C : 具有苯丁氧己基结构
D : 不能缓解哮喘的急性发作
E : 为长效平喘药
50 、 A1型题
与可待因表述不符的是
A : 在肝脏被代谢,约8%转化成吗啡
B : 具成瘾性,作为麻醉药品管理
C : 吗啡的6-甲醚衍生物
D : 用作中枢性镇咳药
E : 吗啡的3-甲醚衍生物
51 、 A1型题
属于呋喃类H 受体拮抗剂的药物是
A : 西咪替丁
B : 法莫替丁
C : 奥美拉唑
D : 雷尼替丁
E : 罗沙替丁
52 、 A1型题
在1,4-苯二氮 类结构的1,2位上并入三唑环,生物活性明显增强,原因是
A : 药物对代谢的稳定性增加
B : 药物与受体的亲和力增加
C : 药物的极性增大D : 药物的亲水性增大
E : 药物对代谢的稳定性及对受体的亲和力均增大
53 、 A1型题
如下化学结构的药物是
A : 艾司唑仑
B : 佐匹克隆
C : 加巴喷丁
D : 奥卡西平
E : 卡马西平
54 、 A1型题
对COX-1和COX-2均有抑制作用的是
A : 美洛昔康
B : 塞来昔布
C : 吡罗昔康
D : 羟布宗
E : 舒林酸
55 、 A1型题
关于对乙酰氨基酚的说法,错误的是
A : 对乙酰氨基酚分子中含有酰胺键,正常贮存条件下易发生水解变质
B : 对乙酰氨基酚在体内代谢可产生乙酰亚胺醌,引起肾毒性和肝毒性
C : 大剂量服用对乙酰氨基酚引起中毒时,可用谷胱甘肽或乙酰半胱氨酸解毒
D : 对乙酰氨基酚在体内主要与葡萄糖醛酸或硫酸结合,从肾脏排泄
E : 可与阿司匹林合成前药
56 、 A1型题
佐匹克隆的化学结构是
A :
B :
C :
D :
E :
57 、 A1型题
下列药物不具有抗癫痫作用的是
A :
B :
C :
D :
E :
58 、 A1型题
溴己新的代谢产物已成为祛痰药物的是
A : N上去甲基的代谢产物
B : 氨基乙酰化的代谢产物
C : 苯环羟基化的溴己新代谢产物
D : N上去甲基,环己基4-位羟基化的代谢产物
E : 环己基4-位羟基化的代谢产物
59 、 A1型题
分子中含有巯基的祛痰药是
A : 溴已新
B : 羧甲司坦
C : 氨溴索
D : 苯丙哌林
E : 乙酰半胱氨酸60 、 A1型题
含有二苯甲酮结构的药物是
A : 氯贝丁酯
B : 非诺贝特
C : 普罗帕酮
D : 吉非罗齐
E : 桂利嗪
61 、 A1型题
阿托品是
A : 莨菪醇和消旋莨菪酸结合成的酯
B : 莨菪醇和莨菪酸结合成的酯
C : 山莨菪醇和莨菪酸结合成的酯
D : 东莨菪醇和樟柳酸结合成的酯
E : 东莨菪醇和莨菪酸结合成的酯
62 、 A1型题
解痉药654-2是指
A : 天然的山莨菪碱
B : 人工合成的山莨菪碱
C : 天然的东莨菪碱
D : 人工合成的东莨菪碱
E : 人工合成的丁溴东莨菪碱
63 、 A1型题
对山莨菪碱的描述错误的是
A : 结构中有手性碳原子
B : 合成品供药用,为其外消旋体,称654-2
C : 结构中6,7-位有一环氧基
D : 是山莨菪醇与左旋莨菪酸所成的酯
E : 山莨菪根中的一种生物碱,具左旋光性
64 、 A1型题
结构与β受体拮抗剂相似,但β受体拮抗作用较弱,临床用于心律失常的药物是
A : 普鲁卡因胺
B : 美西律
C : 利多卡因
D : 普罗帕酮
E : 奎尼丁65 、 A1型题
与普萘洛尔的叙述不相符的是
A : 结构中含有萘环
B : 结构中含有异丙氨基丙醇
C : 属于β受体拮抗剂
D : 属于心血管类药物
E : 属于α受体拮抗剂
66 、 A1型题
下列药物中,主要用于抗心律失常的是
A : 硝酸甘油
B : 甲基多巴
C : 美西律
D : 洛伐他汀
E : 硝苯地平
67 、 A1型题
与下列药物具有相同作用机制的药物是
A : 氯普噻吨
B : 吗氯贝胺
C : 阿米替林
D : 氟西汀
E : 奋乃静
68 、 A1型题
化学结构如下的药物是
A : 丙米嗪
B : 阿米替林
C : 氯米帕明
D : 赛庚啶
E : 氯丙嗪69 、 A1型题
具有下列结构的药物和以下哪种酸成盐用于临床
A : 马来酸
B : 磷酸
C : 酒石酸
D : 盐酸
E : 枸橼酸
70 、 A1型题
具有以下化学结构的药物与哪个药物的药理作用相似
A : 氯丙嗪
B : 卡马西平
C : 吲哚美辛
D : 美沙酮
E : 布洛芬
71 、 A1型题
在体内(-)-(R)-异构体可转化为(+)-(S)-异构体的药物是
A :
B :
C :
D :
E :
72 、 A1型题
仅有解热、镇痛作用,而不具有消炎、抗风湿作用的药物是
A : 萘普生
B : 芬布芬
C : 对乙酰氨基酚
D : 吡罗昔康
E : 阿司匹林
73 、 A1型题
具有如下化学结构的药物是
A : 芬布芬
B : 美洛昔康
C : 别嘌醇
D : 磺胺甲噁唑
E : 丙磺舒
74 、 A1型题
通过抑制黄嘌呤氧化酶减少尿酸生成的抗痛风药物是
A : 秋水仙碱
B : 丙磺舒
C : 别嘌醇
D : 苯溴马隆
E : 布洛芬
75 、 A1型题
具有如下结构的药物属于A : 镇静药
B : 祛痰药
C : 镇咳药
D : 镇痛药
E : 麻醉药
76 、 A1型题
通过稳定肥大细胞膜而预防各型哮喘发作的是
A : 沙丁胺醇
B : 扎鲁司特
C : 噻托溴铵
D : 齐留通
E : 色甘酸钠
77 、 A1型题
药用(-)-(S)-异构体的药物是
A : 兰索拉唑
B : 雷贝拉唑
C : 泮托拉唑
D : 埃索美拉唑
E : 奥美拉唑
78 、 A1型题
化学结构如下的药物是
A : H
受体拮抗剂
B : H
受体拮抗剂
C : 胃黏膜保护剂
D : 抗胆碱能的抑制胃酸药
E : 质子泵抑制剂79 、 A1型题
多潘立酮属于
A : 抗溃疡药
B : 抗过敏药
C : 胃动力药
D : 抗炎药
E : 抗肿瘤药
80 、 A1型题
化学结构如下的药物是
A : 东莨菪碱
B : 丁溴东莨菪碱
C : 樟柳碱
D : 莨菪碱
E : 山莨菪碱
81 、 A1型题
化学结构如下的药物是
A : 多潘立酮
B : 格拉司琼
C : 昂丹司琼
D : 莫沙必利
E : 西沙必利
82 、 A1型题抗癫痫药苯妥英钠属于
A : 巴比妥类
B : 丁二酰亚胺类
C : 苯并二氮
类
D : 乙内酰脲类
E : 二苯并氮
类
83 、 A1型题
苯巴比妥的化学结构为
A :
B :
C :
D :
E :
84 、 A1型题
下列药物中属于哌啶类合成镇痛药的是
A : 哌替啶
B : 布桂嗪
C : 右丙氧芬
D : 布洛芬
E : 曲马多
85 、 A1型题
芬太尼的化学结构是
A :
B :
C :
D :
E :
86 、 A1型题
氨茶碱的化学结构为
A :
B :
C :
D :
E :
87 、 A1型题
沙美特罗的化学结构为
A :
B :
C :
D :
E :
88 、 A1型题
溴己新分子中含有的基团是
A : 醇羟基
B : 酚羟基
C : 哌啶基
D : 环戊基
E : 3,5-二溴苯甲氨基
89 、 A1型题
雷尼替丁的化学结构是
A :
B :
C :
D :
E :
90 、 A1型题
奥美拉唑的化学结构中含有
A : 吲哚环
B : 苯并咪唑环
C : 嘧啶环
D : 胍基
E : 哌嗪环
91 、 A1型题
奥美拉唑的化学结构式是
A :
B :
C :
D :
E :
92 、 A1型题
中枢作用强的M胆碱受体拮抗剂药物是
A :
B :
C :
D :
E :
93 、 A1型题
与美西律不相符的叙述是
A : 结构与利多卡因相似
B : 含有苯氧基丙胺结构
C : 以醚键代替利多卡因结构中的酰胺键
D : 水溶液不稳定,易水解
E : 抗心律失常的作用机理是通过阻滞钠通道,提高颤动阈值
94 、 A1型题
血管紧张素转化酶(ACE)抑制剂卡托普利的化学结构是
A :
B :
C :
D :
E :
95 、 A1型题
维拉帕米的结构是
A :
B :
C :
D :
E :
96 、 A1型题
以下钙拮抗剂中,主要用于治疗脑血管疾病的药物是
A :
B :
C :
D :
E :
97 、 A1型题
对糖皮质激素结构与活性关系描述错误的是
A : 对21位羟基的酯化修饰,可改变药物的理化性质或稳定性
B : 在1-2位脱氢,可使抗炎作用增大,而钠潴留作用不变
C : 在9α位引入氟,抗炎作用增大,但盐代谢作用不变
D : 在6位引入氟,抗炎作用增大,钠潴留作用增加
E : 在16、17位的羟基与丙酮缩合为缩酮,增加疗效
98 、 A1型题
黄体酮的化学结构为
A :
B :
C :
D :
E :
99 、 A1型题
左炔诺孕酮的化学结构式是
A :
B :
C :
D :
E :
100 、 A1型题
氨苄西林或阿莫西林的注射溶液,不能和磷酸盐类药物配伍使用,是因为
A : 发生β-内酰胺开环,生成青霉酸
B : 发生β-内酰胺开环,生成青霉醛酸
C : 发生β-内酰胺开环,生成青霉醛
D : 发生β-内酰胺开环,生成2,5-吡嗪二酮
E : 发生β-内酰胺开环,生成聚合产物
101 、 A1型题
属于钾通道阻滞剂的抗心律失常药物是
A : 利多卡因
B : 胺碘酮
C : 普罗帕酮
D : 奎尼丁
E : 普萘洛尔
102 、 A1型题
不属于抗心律失常药物类型的是
A : 钠通道阻滞剂
B : ACE抑制剂
C : 钾通道阻滞剂
D : 钙通道阻滞剂
E : β受体拮抗剂
103 、 A1型题
不含有芳基醚结构的药物是
A : 普萘洛尔
B : 胺碘酮
C : 普罗帕酮
D : 美西律
E : 美托洛尔
104 、 A1型题
结构与利多卡因相似,以醚键代替利多卡因结构中的酰胺键的药物是
A : 普罗帕酮
B : 利多卡因
C : 普鲁卡因胺
D : 奎尼丁
E : 美西律105 、 A1型题
下列二氢吡啶类钙离子拮抗剂中2,6位取代基不同的药物是
A : 尼莫地平
B : 尼群地平
C : 氨氯地平
D : 硝苯地平
E : 硝苯吡啶
106 、 A1型题
血管紧张素转化酶(ACE)抑制剂卡托普利的化学结构是
A :
B :
C :
D :
E :
107 、 A1型题
维拉帕米的结构是
A :
B :
C :
D :
E :
108 、 A1型题
与依那普利不相符的叙述是
A : 为前药,体内水解代谢为依那普利拉而生效
B : 属于血管紧张素转化酶抑制剂
C : 结构中含有3个手性碳
D : 药用其马来酸盐
E : 结构中含有2个手性碳
109 、 A1型题
结构中含有L-脯氨酸的药物是
A : 贝那普利
B : 卡托普利
C : 氯沙坦
D : 普萘洛尔
E : 甲基多巴
110 、 A1型题
结构中不含咪唑环的血管紧张素Ⅱ受体拮抗剂是
A : 福辛普利
B : 氯沙坦
C : 赖诺普利
D : 缬沙坦
E : 厄贝沙坦
111 、 A1型题
含有磷酰结构的ACE抑制剂是
A : 依那普利
B : 卡托普利
C : 福辛普利
D : 赖诺普利
E : 缬沙坦
112 、 A1型题
第一个上市的血管紧张素Ⅱ受体拮抗剂是
A : 氯贝丁酯
B : 氯沙坦
C : 卡托普利
D : 氟伐他汀
E : 利血平113 、 A1型题
血管紧张素转化酶抑制剂可以
A : 抑制血管紧张素Ⅱ的生成
B : 抑制体内胆固醇的生物合成
C : 阻断肾上腺素受体
D : 抑制磷酸二酯酶,提高cAMP水平
E : 阻断钙离子通道
114 、 A1型题
厄贝沙坦属于
A : 磷酸二酯酶抑制剂
B : 钙通道阻滞剂
C : 肾上腺素α
受体拮抗剂
D : 羟甲戊二酰辅酶A还原酶抑制剂
E : 血管紧张素Ⅱ受体拮抗剂
115 、 A1型题
对光敏感,易发生光歧化反应的药物是
A : 硝苯地平
B : 肾上腺素
C : 氯丙嗪
D : 卡托普利
E : 利血平
116 、 A1型题
洛伐他汀的作用靶点是
A : 磷酸二酯酶
B : 单胺氧化酶
C : 羟甲戊二酰辅酶A还原酶
D : 血管紧张素转换酶
E : 酪氨酸激酶
117 、 A1型题
属于非卤代的苯氧戊酸衍生物的降血脂药物是
A : 氯贝丁酯
B : 非诺贝特
C : 辛伐他汀
D : 吉非罗齐
E : 福辛普利118 、 A1型题
以下药物属于全合成的HMG-CoA还原酶抑制剂是
A : 洛伐他汀
B : 辛伐他汀
C : 氟伐他汀
D : 依那普利
E : 福辛普利
119 、 A1型题
硝酸甘油为
A : 1,2,3-丙三醇三硝酸酯
B : 丙三醇硝酸单酯
C : 1,3-丙三醇二硝酸酯
D : 丙三醇硝酸酯
E : 1.2-丙三醇二硝酸酯
120 、 A1型题
硝酸异山梨酯在体内的活性代谢产物并作为抗心绞痛药物使用的是
A : 异山梨醇-2-硝酸酯
B : 硝酸异山梨酯
C : 硝酸甘油
D : 单硝酸异山梨酯(异山梨醇-5-硝酸酯)
E : 异山梨醇
121 、 A1型题
属于HMG-CoA还原酶抑制剂的药物是
A : 普萘洛尔
B : 氨力农
C : 氟伐他汀
D : 卡托普利
E : 乙胺嘧啶
122 、 A1型题
阿托伐他汀主要用于治疗
A : 高磷脂血症
B : 高甘油三酯血症
C : 室性心动过速
D : 高胆固醇血症
E : 慢性心力衰竭123 、 A1型题
羟甲戊二酰辅酶A还原酶抑制剂可以
A : 降低血中三酰甘油的含量
B : 促进胆固醇的排泄
C : 抑制体内cAMP的降解
D : 阻止内源性胆固醇的合成
E : 抑制血管紧张素I向血管紧张素Ⅱ的转化
124 、 A1型题
曲安奈德的结构类型是
A : 雌甾烷类
B : 雄甾烷类
C : 二苯乙烯类
D : 黄酮类
E : 孕甾烷类
125 、 A1型题
甾类药物按化学结构特点可分为
A : 雌激素类、雄激素类、孕激素类
B : 性激素类、肾上腺皮质激素类、蛋白同化激素类
C : 雌甾烷类、胆甾烷类、雄甾烷类
D : 雄激素类、蛋白同化激素类、肾上腺皮质激素类
E : 雌甾烷类、雄甾烷类、孕甾烷类
126 、 A1型题
与雌二醇的性质不符的是
A : 不能口服
B : 3位羟基酯化可延效
C : 3位羟基醚化可延效
D : 具旋光性,药用左旋体
E : 具弱酸性
127 、 A1型题
黄体酮的化学结构为
A :
B :
C :
D :
E :
128 、 A1型题
在睾酮的17α位引入甲基而得到甲睾酮,其主要目的是
A : 增强雄激素的作用
B : 降低雄激素的作用
C : 增强脂溶性,使作用时间延长
D : 增强蛋白同化的作用
E : 可以口服
129 、 A1型题
具有雄甾烷母核,17位有甲基取代的药物是
A : 苯丙酸诺龙
B : 地塞米松
C : 甲睾酮
D : 黄体酮
E : 达那唑
130 、 A1型题
化学结构中含有孕甾母核并含有乙炔基的药物是
A : 炔诺酮
B : 黄体酮
C : 达那唑
D : 米非司酮
E : 雌二醇
131 、 A1型题
苯丙酸诺龙的化学结构是
A :
B :
C :
D :
E :
132 、 A1型题
左炔诺孕酮的化学结构式是
A :
B :
C :
D :
E :
133 、 A1型题
在20位具有甲基酮结构的药物是
A : 苯丙酸诺龙
B : 米非司酮
C : 炔诺酮
D : 甲睾酮
E : 黄体酮
134 、 A1型题
属于胰岛素增敏剂的药物是
A : 格列本脲
B : 瑞格列奈
C : 二甲双胍
D : 阿卡波糖
E : 胰岛素135 、 A1型题
具有噻唑烷二酮结构的药物有
A : 吡格列酮
B : 格列美脲
C : 米格列醇
D : 瑞格列奈
E : 二甲双胍
136 、 A1型题
格列本脲临床用于治疗
A : 水肿
B : 高血压
C : 1型糖尿病
D : 2型糖尿病
E : 癫痫病
137 、 A1型题
属于α-葡萄糖苷酶抑制剂的是
A : 葡萄糖
B : 格列吡嗪
C : 吡格列酮
D : 阿卡波糖
E : 胰岛素
138 、 A1型题
具有促进钙、磷吸收的药物是
A : 维生素A
B : 阿法骨化醇
C : 葡萄糖酸钙
D : 阿仑膦酸钠
E : 雷洛昔芬
139 、 A1型题
有一位70岁男性老人患骨质疏松症,应首选的治疗药物是
A : 乳酸钙
B : 骨化三醇
C : 雷洛昔芬
D : 利塞膦酸钠
E : 维生素D
140 、 A1型题
属于大环内酯类抗生素的是
A : 克拉维酸
B : 罗红霉素
C : 阿米卡星
D : 头孢克洛
E : 盐酸林可霉素
141 、 A1型题
属于β-内酰胺酶抑制剂的药物是
A : 阿莫西林
B : 盐酸米诺环素
C : 克拉维酸
D : 阿米卡星
E : 头孢噻吩钠
142 、 A1型题
属于单环β-内酰胺类抗生素的药物是
A : 氨曲南
B : 磷霉素
C : 克拉维酸
D : 舒巴坦
E : 亚胺培南
143 、 A1型题
属于青霉烷砜类的抗生素是
A : 舒巴坦
B : 克拉维酸
C : 氨曲南
D : 头孢克肟
E : 亚胺培南
144 、 A1型题
在喹诺酮类抗菌药的构效关系中,该类药物必要的药效基团是
A : 5位的氨基
B : 6位氟原子取代
C : 7位无取代
D : 1位氮原子无取代
E : 3位上有羧基和4位是羰基145 、 A1型题
甲氧苄啶的作用机制为
A : 抑制β-内酰胺酶
B : 抑制二氢叶酸还原酶
C : 掺入DNA的合成
D : 抗代谢作用
E : 抑制二氢叶酸合成酶
146 、 A1型题
氧氟沙星的化学结构是
A :
B :
C :
D :
E :
147 、 A1型题
磺胺甲噁唑和甲氧苄啶的作用机制为
A : 两者都干扰细菌对叶酸的摄取
B : 前者作用于二氢叶酸合成酶,后者作用于二氢叶酸还原酶
C : 两者都作用于二氢叶酸合成酶
D : 前者作用于二氢叶酸还原酶,后者作用于二氢叶酸合成酶
E : 两者都作用于二氢叶酸还原酶
148 、 A1型题
喹诺酮类药物极易和钙、镁、铁、锌等形成螯合物使抗菌活性降低,是由于结构中含有
A : 6位氟原子
B : 7位哌嗪环
C : 3位羧基和4位羰基
D : N
-乙基
E : 5位氨基
149 、 A1型题
属于全合成的抗结核药是
A : 利福布汀
B : 吡嗪酰胺
C : 卷曲霉素
D : 链霉素
E : 利福喷汀
150 、 A1型题
氟康唑的化学结构类型属于
A : 吡唑类
B : 丙烯胺类
C : 四氮唑类
D : 三氮唑类
E : 咪唑类
151 、 A1型题
喹诺酮类药物影响儿童对钙离子吸收的结构因素是
A : 1位上的脂肪烃基
B : 6位的氟原子
C : 3位的羧基和4位的酮羰基
D : 7位的脂肪杂环
E : 1位氮原子
152 、 A1型题
下列有关喹诺酮抗菌药构效关系的描述错误的是
A : 吡啶酮酸环是抗菌作用必需的基本药效基团
B : 3位COOH和4位C=O为抗菌活性不可缺少的部分
C : 8位与1位以氧烷基成环,使活性下降
D : 6位引入氟原子可使抗菌活性增大
E : 7位引入五元或六元杂环,抗菌活性均增加
153 、 A1型题
下列哪个药物不是合成类抗结核药
A : 异烟肼
B : 吡嗪酰胺
C : 乙胺丁醇D : 利福喷汀
E : 对氨基水杨酸钠
154 、 A1型题
分子中含有2个手性中心,但只有3个光学异构体的药物是
A : 左氧氟沙星
B : 乙胺丁醇
C : 氯胺酮
D : 氯霉素
E : 麻黄碱
155 、 A1型题
具有旋光性,药用右旋体的是
A : 吡嗪酰胺
B : 乙胺丁醇
C : 异烟肼
D : 链霉素
E : 利福平
156 、 A1型题
抗结核药物异烟肼结构中含有未取代的酰肼基,体内易发生N-乙酰化生成无活性代谢产
物,根据此结构特点推测异烟肼的结构是
A :
B :
C :
D :
E :
157 、 A1型题
用于治疗甲型H7N9流感的首选药物是
A : 膦甲酸钠
B : 利巴韦林C : 奥司他韦
D : 沙奎那韦
E : 金刚乙胺
158 、 A1型题
不属于烷化剂类的抗肿瘤药物的结构类型是
A : 氮芥类
B : 乙撑亚胺类
C : 亚硝基脲类
D : 甲磺酸酯类
E : 硝基咪唑类
159 、 A1型题
烷化剂环磷酰胺的结构类型是
A : 氮芥类
B : 乙撑亚胺类
C : 甲磺酸酯类
D : 多元卤醇类
E : 亚硝基脲类
160 、 A1型题
属于嘌呤类抗代谢的抗肿瘤药物是
A : 米托蒽醌
B : 紫杉醇
C : 巯嘌呤
D : 甲氨蝶呤
E : 卡铂
161 、 A1型题
甲氨蝶呤中毒时可使用亚叶酸钙进行解救,其目的是提供
A : 二氢叶酸
B : 叶酸
C : 四氢叶酸
D : 谷氨酸
E : 蝶呤酸
162 、 A1型题
不属于植物药有效成分的抗肿瘤药是
A : 紫杉醇
B : 吉非替尼C : 长春碱
D : 秋水仙碱
E : 喜树碱
163 、 A1型题
属于酪氨酸激酶抑制剂的抗肿瘤药物是
A : 依托泊苷
B : 多西他赛
C : 氟他胺
D : 羟基喜树碱
E : 伊马替尼
164 、 A1型题
地尔硫 的母核结构为
A : 1,4-苯二氮
B : 1,5-苯并硫氮杂
C : 二苯并硫氮杂
D : 1,5-苯二氮
E : 1,4-苯并硫氮杂
165 、 A1型题
不含有脯氨酸结构的ACE抑制剂是
A : 依那普利
B : 赖诺普利
C : 缬沙坦
D : 贝那普利
E : 卡托普利
166 、 A1型题
下列结构药物主要用于A : 抗高血压
B : 降低血中甘油三酯含量
C : 降低血中胆固醇含量
D : 治疗心绞痛
E : 治疗心律不齐
167 、 A1型题
属于HMG-CoA还原酶抑制剂,有内酯结构,属于前药,水解开环后有3,5-二羟基羧酸
的是
A :
B :
C :
D :
E :
168 、 A1型题
具有下列化学结构的药物为
A : 醋酸曲安奈德
B : 醋酸泼尼松龙
C : 醋酸地塞米松
D : 醋酸氢化可的松E : 醋酸氟轻松
169 、 A1型题
具有下列化学结构的药物是
A : 头孢噻肟钠
B : 头孢哌酮钠
C : 头孢曲松钠
D : 头孢美唑钠
E : 头孢克肟钠
170 、 A1型题
具有以下化学结构的药物是
A : 伊曲康唑
B : 克霉唑
C : 酮康唑
D : 特比萘芬
E : 氟康唑
171 、 A1型题
化学结构如下的药物主要临床用途为
A : 治疗艾滋病
B : 治疗上呼吸道病毒感染
C : 治疗疱疹病毒性角膜炎D : 治疗深部真菌感染
E : 治疗滴虫性阴道炎
172 、 A1型题
具有以下结构的化合物,与哪个药物性质及作用机制相同
A : 顺铂
B : 卡莫司汀
C : 氟尿嘧啶
D : 多柔比星
E : 紫杉醇
173 、 A1型题
氧氟沙星的化学结构是
A :
B :
C :
D :
E :
174 、 A1型题
抗结核药物异烟肼结构中含有未取代的酰肼基,体内易发生N-乙酰化生成无活性代谢产
物,根据此结构特点推测异烟肼的结构是
A :
B :
C :
D :
E :
B :
C :
D :
E :
3 、 A1型题
氯丙嗪的结构中不含有
A : 环上有氯取代
B : 二甲氨基
C : 吩噻嗪环
D : 二乙氨基
E : 丙胺4 、 A1型题
属于去甲肾上腺素重摄取抑制剂的抗抑郁药物是
A : 舒必利
B : 阿米替林
C : 舍曲林
D : 帕罗西汀
E : 氟西汀
5 、 A1型题
以下药物不属于三环类抗精神失常药的是
A : 氯米帕明
B : 阿米替林
C : 氯丙嗪
D : 奋乃静
E : 氟西汀
6 、 A1型题
根据化学结构氯丙嗪属于
A : 苯并二氮
类
B : 吩噻嗪类
C : 硫杂蒽类
D : 丁酰苯类
E : 酰胺类
7 、 A1型题
与奋乃静叙述不相符的是
A : 结构中含有吩噻嗪环
B : 用于抗精神病治疗
C : 含有三氟甲基吩噻嗪结构
D : 含有哌嗪乙醇结构
E : 结构中含有哌嗪环
8 、 A1型题
在日光照射下可发生严重的光毒性(过敏)反应的药物是
A : 氯丙嗪
B : 阿米替林
C : 氟吡啶醇
D : 氟西汀
E : 舍曲林9 、 A1型题
与哌替啶的化学结构不相符的是
A : 4-哌啶甲酸甲酯
B : 4-苯基哌啶
C : 4-哌啶甲酸乙酯
D : 药用其盐酸盐
E : 1-甲基哌啶
10 、 A1型题
吗啡结构中17位甲基被烯丙基取代后形成的具有阿片受体拮抗作用的药物是
A : 纳洛酮
B : 布桂嗪
C : 曲马多
D : 右丙氧芬
E : 布洛芬
11 、 A1型题
芬太尼是强效镇痛药,其结构的特征是
A : 含有4-苯基哌啶结构
B : 含有4-苯胺基哌啶结构
C : 含有苯吗喃结构
D : 含有吗啡喃结构
E : 含有氨基酮结构
12 、 A1型题
吗啡及合成镇痛药均具镇痛活性,是因为
A : 具有相似的电性性质
B : 具有相同的药效构象
C : 具有相似的疏水性
D : 具有相似的构型
E : 具有相似的化学结构
13 、 A1型题
药物分子中含有两个手性碳原子的是
A : 吗啡
B : 美沙酮
C : 布桂嗪
D : 曲马多
E : 哌替啶14 、 A1型题
以左旋体供药用而右旋体无效的药物是
A : 哌替啶
B : 美沙酮
C : 芬太尼
D : 布桂嗪
E : 吗啡
15 、 A1型题
吲哚美辛的化学结构为
A :
B :
C :
D :
E :
16 、 A1型题
某男60岁,误服大量的对乙酰氨基酚,为防止肝坏死,可选用的解毒药物是
A : 谷氨酸
B : 甘氨酸
C : 缬氨酸
D : 乙酰半胱氨酸
E : 胱氨酸
17 、 A1型题
以吲哚美辛为代表的芳基烷酸类药物在临床的作用是
A : 抗炎、镇痛、解热
B : 利尿
C : 抗肿瘤
D : 抗过敏
E : 抗病毒18 、 A1型题
下列描述与吲哚美辛结构不符的是
A : 结构中含有吲哚环
B : 结构中含有羧基
C : 结构中含有对氯苯甲酰基
D : 结构中含有甲氧基
E : 结构中含有咪唑环
19 、 A1型题
属于选择性COX-2抑制剂的药物是
A : 双氯芬酸
B : 吡罗昔康
C : 安乃近
D : 塞来昔布
E : 甲芬那酸
20 、 A1型题
可待因具有成瘾性,其主要原因是
A : 具有吗啡的基本结构
B : 可待因本身具有成瘾性
C : 与吗啡具有相似疏水性
D : 代谢后产生吗啡
E : 与吗啡具有相同的构型
21 、 A1型题
溴己新为
A : 解热镇痛药
B : 镇静催眠药
C : 抗精神病药
D : 镇咳祛痰药
E : 降血压药
22 、 A1型题
氨茶碱的化学结构为
A :
B :
C :
D :
E :
23 、 A1型题
不属于β肾上腺素受体激动剂类的平喘药是
A : 丙酸氟替卡松
B : 沙美特罗
C : 福莫特罗
D : 班布特罗
E : 沙丁胺醇
24 、 A1型题
属于β肾上腺素受体激动药的是
A : 异丙托溴铵
B : 扎鲁司特
C : 沙丁胺醇
D : 丙酸倍氯米松
E : 齐留通
25 、 A1型题
沙美特罗的化学结构为
A :
B :
C :
D :
E :
26 、 A1型题
祛痰药溴己新的活性代谢物是
A : 羧甲司坦
B : 氨溴索
C : 右美沙芬
D : 乙酰半胱氨酸
E : 苯丙哌林
27 、 A1型题
分子中含有硫醚结构的祛痰药是
A : 溴己新
B : 乙酰半胱氨酸
C : 羧甲司坦
D : 苯丙哌林
E : 氨溴索
28 、 A1型题
与异丙托溴铵不符的是
A : 分子中托品酸是消旋体
B : 为M胆碱受体拮抗剂
C : 具有莨菪碱的一般理化性质
D : 不易透过血脑屏障,中枢副作用低
E : 在酸碱条件下均比较稳定
29 、 A1型题
结构中含有喹啉环的药物是
A : 齐留通
B : 孟鲁司特
C : 扎鲁司特
D : 异丙托溴铵
E : 沙丁胺醇
30 、 A1型题
西咪替丁结构中含有
A : 呋喃环
B : 噻唑环
C : 噻吩环
D : 咪唑环
E : 吡啶环31 、 A1型题
含有硝基乙烯二胺结构片断的抗溃疡药物是
A : 法莫替丁
B : 奥美拉唑
C : 西咪替丁
D : 雷尼替丁
E : 罗沙替丁
32 、 A1型题
雷尼替丁的化学结构是
A :
B :
C :
D :
E :
33 、 A1型题
有关奥美拉唑的叙述不符的是
A : 结构中含有亚磺酰基
B : 在酸碱溶液中均稳定
C : 本身无活性,为前体药物
D : 为质子泵抑制剂
E : 经酸催化重排为活性物质
34 、 A1型题
地西泮化学结构中的母核是
A : 1,4-二氮杂卓环
B : 1,5-苯并二氮草环
C : 二苯并氮杂卓环
D : 1,4-苯并二氮
环
E : 苯并硫氮杂卓环35 、 A1型题
唑吡坦的主要临床用途是
A : 抗惊厥
B : 镇静催眠
C : 抗精神病
D : 抗抑郁
E : 抗癫痫
36 、 A1型题
佐匹克隆的化学结构是
A :
B :
C :
D :
E :
37 、 A1型题
苯巴比妥的化学结构为
A : 嘧啶二酮
B : 嘧啶三酮
C : 丁二酰亚胺
D : 乙内酰脲
E : 丁二酰脲
38 、 A1型题
下列药物不具有抗癫痫作用的是
A :
B :
C :
D :
E :
39 、 A1型题
结构中含有咪唑烷二酮的药物是
A : 奥卡西平
B : 苯巴比妥
C : 硫喷妥钠
D : 丙戊酸钠
E : 苯妥英钠
40 、 A1型题
镇痛药美沙酮的化学结构类型属于
A : 氨基酮类
B : 哌啶类
C : 生物碱类
D : 吗啡喃类
E : 苯吗喃类
41 、 A1型题
纳洛酮结构中17位氮原子上的取代基是
A : 丁烯基
B : 环丙基
C : 甲基
D : 烯丙基
E : 环丁基
42 、 A1型题
与吗啡叙述不符的是
A : 结构中有苯环
B : 为μ阿片受体激动剂
C : 结构中含有醇羟基
D : 结构中有5个手性碳原子
E : 结构中羰基43 、 A1型题
具有1,2-苯并噻嗪结构的药物是
A : 美洛昔康
B : 吲哚美辛
C : 萘普生
D : 芬布芬
E : 酮洛芬
44 、 A1型题
阿司匹林杂质中,能引起过敏反应的是
A : 水杨酸
B : 醋酸苯酯
C : 乙酰水杨酸酐
D : 水杨酸苯酯
E : 乙酰水杨酸苯酯
45 、 A1型题
可以抑制血小板凝聚,用于防治动脉血栓和心肌梗死的药物是
A : 吲哚美辛
B : 阿司匹林
C : 布洛芬
D : 塞来昔布
E : 吡罗昔康
46 、 A1型题
下列哪项与可待因的结构描述不符
A : 含N-甲基哌啶
B : 含呋喃环
C : 含酚羟基
D : 含醇羟基
E : 药用磷酸盐
47 、 A1型题
孟鲁司特为
A : β
受体激动剂
B : 磷酸二酯酶抑制剂
C : 白三烯受体激动剂D : M胆碱受体拮抗剂
E : 白三烯受体拮抗剂
48 、 A1型题
与茶碱描述不相符的是
A : 为黄嘌呤衍生物
B : 具有弱酸性
C : 结构中含有三个甲基
D : 可与乙二胺成盐
E : 结构中含有两个甲基
49 、 A1型题
与沙美特罗不相符的描述是
A : 属于β受体激动剂
B : 属于β受体拮抗剂
C : 具有苯丁氧己基结构
D : 不能缓解哮喘的急性发作
E : 为长效平喘药
50 、 A1型题
与可待因表述不符的是
A : 在肝脏被代谢,约8%转化成吗啡
B : 具成瘾性,作为麻醉药品管理
C : 吗啡的6-甲醚衍生物
D : 用作中枢性镇咳药
E : 吗啡的3-甲醚衍生物
51 、 A1型题
属于呋喃类H 受体拮抗剂的药物是
A : 西咪替丁
B : 法莫替丁
C : 奥美拉唑
D : 雷尼替丁
E : 罗沙替丁
52 、 A1型题
在1,4-苯二氮 类结构的1,2位上并入三唑环,生物活性明显增强,原因是
A : 药物对代谢的稳定性增加
B : 药物与受体的亲和力增加
C : 药物的极性增大D : 药物的亲水性增大
E : 药物对代谢的稳定性及对受体的亲和力均增大
53 、 A1型题
如下化学结构的药物是
A : 艾司唑仑
B : 佐匹克隆
C : 加巴喷丁
D : 奥卡西平
E : 卡马西平
54 、 A1型题
对COX-1和COX-2均有抑制作用的是
A : 美洛昔康
B : 塞来昔布
C : 吡罗昔康
D : 羟布宗
E : 舒林酸
55 、 A1型题
关于对乙酰氨基酚的说法,错误的是
A : 对乙酰氨基酚分子中含有酰胺键,正常贮存条件下易发生水解变质
B : 对乙酰氨基酚在体内代谢可产生乙酰亚胺醌,引起肾毒性和肝毒性
C : 大剂量服用对乙酰氨基酚引起中毒时,可用谷胱甘肽或乙酰半胱氨酸解毒
D : 对乙酰氨基酚在体内主要与葡萄糖醛酸或硫酸结合,从肾脏排泄
E : 可与阿司匹林合成前药
56 、 A1型题
佐匹克隆的化学结构是
A :
B :
C :
D :
E :
57 、 A1型题
下列药物不具有抗癫痫作用的是
A :
B :
C :
D :
E :
58 、 A1型题
溴己新的代谢产物已成为祛痰药物的是
A : N上去甲基的代谢产物
B : 氨基乙酰化的代谢产物
C : 苯环羟基化的溴己新代谢产物
D : N上去甲基,环己基4-位羟基化的代谢产物
E : 环己基4-位羟基化的代谢产物
59 、 A1型题
分子中含有巯基的祛痰药是
A : 溴已新
B : 羧甲司坦
C : 氨溴索
D : 苯丙哌林
E : 乙酰半胱氨酸60 、 A1型题
含有二苯甲酮结构的药物是
A : 氯贝丁酯
B : 非诺贝特
C : 普罗帕酮
D : 吉非罗齐
E : 桂利嗪
61 、 A1型题
阿托品是
A : 莨菪醇和消旋莨菪酸结合成的酯
B : 莨菪醇和莨菪酸结合成的酯
C : 山莨菪醇和莨菪酸结合成的酯
D : 东莨菪醇和樟柳酸结合成的酯
E : 东莨菪醇和莨菪酸结合成的酯
62 、 A1型题
解痉药654-2是指
A : 天然的山莨菪碱
B : 人工合成的山莨菪碱
C : 天然的东莨菪碱
D : 人工合成的东莨菪碱
E : 人工合成的丁溴东莨菪碱
63 、 A1型题
对山莨菪碱的描述错误的是
A : 结构中有手性碳原子
B : 合成品供药用,为其外消旋体,称654-2
C : 结构中6,7-位有一环氧基
D : 是山莨菪醇与左旋莨菪酸所成的酯
E : 山莨菪根中的一种生物碱,具左旋光性
64 、 A1型题
结构与β受体拮抗剂相似,但β受体拮抗作用较弱,临床用于心律失常的药物是
A : 普鲁卡因胺
B : 美西律
C : 利多卡因
D : 普罗帕酮
E : 奎尼丁65 、 A1型题
与普萘洛尔的叙述不相符的是
A : 结构中含有萘环
B : 结构中含有异丙氨基丙醇
C : 属于β受体拮抗剂
D : 属于心血管类药物
E : 属于α受体拮抗剂
66 、 A1型题
下列药物中,主要用于抗心律失常的是
A : 硝酸甘油
B : 甲基多巴
C : 美西律
D : 洛伐他汀
E : 硝苯地平
67 、 A1型题
与下列药物具有相同作用机制的药物是
A : 氯普噻吨
B : 吗氯贝胺
C : 阿米替林
D : 氟西汀
E : 奋乃静
68 、 A1型题
化学结构如下的药物是
A : 丙米嗪
B : 阿米替林
C : 氯米帕明
D : 赛庚啶
E : 氯丙嗪69 、 A1型题
具有下列结构的药物和以下哪种酸成盐用于临床
A : 马来酸
B : 磷酸
C : 酒石酸
D : 盐酸
E : 枸橼酸
70 、 A1型题
具有以下化学结构的药物与哪个药物的药理作用相似
A : 氯丙嗪
B : 卡马西平
C : 吲哚美辛
D : 美沙酮
E : 布洛芬
71 、 A1型题
在体内(-)-(R)-异构体可转化为(+)-(S)-异构体的药物是
A :
B :
C :
D :
E :
72 、 A1型题
仅有解热、镇痛作用,而不具有消炎、抗风湿作用的药物是
A : 萘普生
B : 芬布芬
C : 对乙酰氨基酚
D : 吡罗昔康
E : 阿司匹林
73 、 A1型题
具有如下化学结构的药物是
A : 芬布芬
B : 美洛昔康
C : 别嘌醇
D : 磺胺甲噁唑
E : 丙磺舒
74 、 A1型题
通过抑制黄嘌呤氧化酶减少尿酸生成的抗痛风药物是
A : 秋水仙碱
B : 丙磺舒
C : 别嘌醇
D : 苯溴马隆
E : 布洛芬
75 、 A1型题
具有如下结构的药物属于A : 镇静药
B : 祛痰药
C : 镇咳药
D : 镇痛药
E : 麻醉药
76 、 A1型题
通过稳定肥大细胞膜而预防各型哮喘发作的是
A : 沙丁胺醇
B : 扎鲁司特
C : 噻托溴铵
D : 齐留通
E : 色甘酸钠
77 、 A1型题
药用(-)-(S)-异构体的药物是
A : 兰索拉唑
B : 雷贝拉唑
C : 泮托拉唑
D : 埃索美拉唑
E : 奥美拉唑
78 、 A1型题
化学结构如下的药物是
A : H
受体拮抗剂
B : H
受体拮抗剂
C : 胃黏膜保护剂
D : 抗胆碱能的抑制胃酸药
E : 质子泵抑制剂79 、 A1型题
多潘立酮属于
A : 抗溃疡药
B : 抗过敏药
C : 胃动力药
D : 抗炎药
E : 抗肿瘤药
80 、 A1型题
化学结构如下的药物是
A : 东莨菪碱
B : 丁溴东莨菪碱
C : 樟柳碱
D : 莨菪碱
E : 山莨菪碱
81 、 A1型题
化学结构如下的药物是
A : 多潘立酮
B : 格拉司琼
C : 昂丹司琼
D : 莫沙必利
E : 西沙必利
82 、 A1型题抗癫痫药苯妥英钠属于
A : 巴比妥类
B : 丁二酰亚胺类
C : 苯并二氮
类
D : 乙内酰脲类
E : 二苯并氮
类
83 、 A1型题
苯巴比妥的化学结构为
A :
B :
C :
D :
E :
84 、 A1型题
下列药物中属于哌啶类合成镇痛药的是
A : 哌替啶
B : 布桂嗪
C : 右丙氧芬
D : 布洛芬
E : 曲马多
85 、 A1型题
芬太尼的化学结构是
A :
B :
C :
D :
E :
86 、 A1型题
氨茶碱的化学结构为
A :
B :
C :
D :
E :
87 、 A1型题
沙美特罗的化学结构为
A :
B :
C :
D :
E :
88 、 A1型题
溴己新分子中含有的基团是
A : 醇羟基
B : 酚羟基
C : 哌啶基
D : 环戊基
E : 3,5-二溴苯甲氨基
89 、 A1型题
雷尼替丁的化学结构是
A :
B :
C :
D :
E :
90 、 A1型题
奥美拉唑的化学结构中含有
A : 吲哚环
B : 苯并咪唑环
C : 嘧啶环
D : 胍基
E : 哌嗪环
91 、 A1型题
奥美拉唑的化学结构式是
A :
B :
C :
D :
E :
92 、 A1型题
中枢作用强的M胆碱受体拮抗剂药物是
A :
B :
C :
D :
E :
93 、 A1型题
与美西律不相符的叙述是
A : 结构与利多卡因相似
B : 含有苯氧基丙胺结构
C : 以醚键代替利多卡因结构中的酰胺键
D : 水溶液不稳定,易水解
E : 抗心律失常的作用机理是通过阻滞钠通道,提高颤动阈值
94 、 A1型题
血管紧张素转化酶(ACE)抑制剂卡托普利的化学结构是
A :
B :
C :
D :
E :
95 、 A1型题
维拉帕米的结构是
A :
B :
C :
D :
E :
96 、 A1型题
以下钙拮抗剂中,主要用于治疗脑血管疾病的药物是
A :
B :
C :
D :
E :
97 、 A1型题
对糖皮质激素结构与活性关系描述错误的是
A : 对21位羟基的酯化修饰,可改变药物的理化性质或稳定性
B : 在1-2位脱氢,可使抗炎作用增大,而钠潴留作用不变
C : 在9α位引入氟,抗炎作用增大,但盐代谢作用不变
D : 在6位引入氟,抗炎作用增大,钠潴留作用增加
E : 在16、17位的羟基与丙酮缩合为缩酮,增加疗效
98 、 A1型题
黄体酮的化学结构为
A :
B :
C :
D :
E :
99 、 A1型题
左炔诺孕酮的化学结构式是
A :
B :
C :
D :
E :
100 、 A1型题
氨苄西林或阿莫西林的注射溶液,不能和磷酸盐类药物配伍使用,是因为
A : 发生β-内酰胺开环,生成青霉酸
B : 发生β-内酰胺开环,生成青霉醛酸
C : 发生β-内酰胺开环,生成青霉醛
D : 发生β-内酰胺开环,生成2,5-吡嗪二酮
E : 发生β-内酰胺开环,生成聚合产物
101 、 A1型题
属于钾通道阻滞剂的抗心律失常药物是
A : 利多卡因
B : 胺碘酮
C : 普罗帕酮
D : 奎尼丁
E : 普萘洛尔
102 、 A1型题
不属于抗心律失常药物类型的是
A : 钠通道阻滞剂
B : ACE抑制剂
C : 钾通道阻滞剂
D : 钙通道阻滞剂
E : β受体拮抗剂
103 、 A1型题
不含有芳基醚结构的药物是
A : 普萘洛尔
B : 胺碘酮
C : 普罗帕酮
D : 美西律
E : 美托洛尔
104 、 A1型题
结构与利多卡因相似,以醚键代替利多卡因结构中的酰胺键的药物是
A : 普罗帕酮
B : 利多卡因
C : 普鲁卡因胺
D : 奎尼丁
E : 美西律105 、 A1型题
下列二氢吡啶类钙离子拮抗剂中2,6位取代基不同的药物是
A : 尼莫地平
B : 尼群地平
C : 氨氯地平
D : 硝苯地平
E : 硝苯吡啶
106 、 A1型题
血管紧张素转化酶(ACE)抑制剂卡托普利的化学结构是
A :
B :
C :
D :
E :
107 、 A1型题
维拉帕米的结构是
A :
B :
C :
D :
E :
108 、 A1型题
与依那普利不相符的叙述是
A : 为前药,体内水解代谢为依那普利拉而生效
B : 属于血管紧张素转化酶抑制剂
C : 结构中含有3个手性碳
D : 药用其马来酸盐
E : 结构中含有2个手性碳
109 、 A1型题
结构中含有L-脯氨酸的药物是
A : 贝那普利
B : 卡托普利
C : 氯沙坦
D : 普萘洛尔
E : 甲基多巴
110 、 A1型题
结构中不含咪唑环的血管紧张素Ⅱ受体拮抗剂是
A : 福辛普利
B : 氯沙坦
C : 赖诺普利
D : 缬沙坦
E : 厄贝沙坦
111 、 A1型题
含有磷酰结构的ACE抑制剂是
A : 依那普利
B : 卡托普利
C : 福辛普利
D : 赖诺普利
E : 缬沙坦
112 、 A1型题
第一个上市的血管紧张素Ⅱ受体拮抗剂是
A : 氯贝丁酯
B : 氯沙坦
C : 卡托普利
D : 氟伐他汀
E : 利血平113 、 A1型题
血管紧张素转化酶抑制剂可以
A : 抑制血管紧张素Ⅱ的生成
B : 抑制体内胆固醇的生物合成
C : 阻断肾上腺素受体
D : 抑制磷酸二酯酶,提高cAMP水平
E : 阻断钙离子通道
114 、 A1型题
厄贝沙坦属于
A : 磷酸二酯酶抑制剂
B : 钙通道阻滞剂
C : 肾上腺素α
受体拮抗剂
D : 羟甲戊二酰辅酶A还原酶抑制剂
E : 血管紧张素Ⅱ受体拮抗剂
115 、 A1型题
对光敏感,易发生光歧化反应的药物是
A : 硝苯地平
B : 肾上腺素
C : 氯丙嗪
D : 卡托普利
E : 利血平
116 、 A1型题
洛伐他汀的作用靶点是
A : 磷酸二酯酶
B : 单胺氧化酶
C : 羟甲戊二酰辅酶A还原酶
D : 血管紧张素转换酶
E : 酪氨酸激酶
117 、 A1型题
属于非卤代的苯氧戊酸衍生物的降血脂药物是
A : 氯贝丁酯
B : 非诺贝特
C : 辛伐他汀
D : 吉非罗齐
E : 福辛普利118 、 A1型题
以下药物属于全合成的HMG-CoA还原酶抑制剂是
A : 洛伐他汀
B : 辛伐他汀
C : 氟伐他汀
D : 依那普利
E : 福辛普利
119 、 A1型题
硝酸甘油为
A : 1,2,3-丙三醇三硝酸酯
B : 丙三醇硝酸单酯
C : 1,3-丙三醇二硝酸酯
D : 丙三醇硝酸酯
E : 1.2-丙三醇二硝酸酯
120 、 A1型题
硝酸异山梨酯在体内的活性代谢产物并作为抗心绞痛药物使用的是
A : 异山梨醇-2-硝酸酯
B : 硝酸异山梨酯
C : 硝酸甘油
D : 单硝酸异山梨酯(异山梨醇-5-硝酸酯)
E : 异山梨醇
121 、 A1型题
属于HMG-CoA还原酶抑制剂的药物是
A : 普萘洛尔
B : 氨力农
C : 氟伐他汀
D : 卡托普利
E : 乙胺嘧啶
122 、 A1型题
阿托伐他汀主要用于治疗
A : 高磷脂血症
B : 高甘油三酯血症
C : 室性心动过速
D : 高胆固醇血症
E : 慢性心力衰竭123 、 A1型题
羟甲戊二酰辅酶A还原酶抑制剂可以
A : 降低血中三酰甘油的含量
B : 促进胆固醇的排泄
C : 抑制体内cAMP的降解
D : 阻止内源性胆固醇的合成
E : 抑制血管紧张素I向血管紧张素Ⅱ的转化
124 、 A1型题
曲安奈德的结构类型是
A : 雌甾烷类
B : 雄甾烷类
C : 二苯乙烯类
D : 黄酮类
E : 孕甾烷类
125 、 A1型题
甾类药物按化学结构特点可分为
A : 雌激素类、雄激素类、孕激素类
B : 性激素类、肾上腺皮质激素类、蛋白同化激素类
C : 雌甾烷类、胆甾烷类、雄甾烷类
D : 雄激素类、蛋白同化激素类、肾上腺皮质激素类
E : 雌甾烷类、雄甾烷类、孕甾烷类
126 、 A1型题
与雌二醇的性质不符的是
A : 不能口服
B : 3位羟基酯化可延效
C : 3位羟基醚化可延效
D : 具旋光性,药用左旋体
E : 具弱酸性
127 、 A1型题
黄体酮的化学结构为
A :
B :
C :
D :
E :
128 、 A1型题
在睾酮的17α位引入甲基而得到甲睾酮,其主要目的是
A : 增强雄激素的作用
B : 降低雄激素的作用
C : 增强脂溶性,使作用时间延长
D : 增强蛋白同化的作用
E : 可以口服
129 、 A1型题
具有雄甾烷母核,17位有甲基取代的药物是
A : 苯丙酸诺龙
B : 地塞米松
C : 甲睾酮
D : 黄体酮
E : 达那唑
130 、 A1型题
化学结构中含有孕甾母核并含有乙炔基的药物是
A : 炔诺酮
B : 黄体酮
C : 达那唑
D : 米非司酮
E : 雌二醇
131 、 A1型题
苯丙酸诺龙的化学结构是
A :
B :
C :
D :
E :
132 、 A1型题
左炔诺孕酮的化学结构式是
A :
B :
C :
D :
E :
133 、 A1型题
在20位具有甲基酮结构的药物是
A : 苯丙酸诺龙
B : 米非司酮
C : 炔诺酮
D : 甲睾酮
E : 黄体酮
134 、 A1型题
属于胰岛素增敏剂的药物是
A : 格列本脲
B : 瑞格列奈
C : 二甲双胍
D : 阿卡波糖
E : 胰岛素135 、 A1型题
具有噻唑烷二酮结构的药物有
A : 吡格列酮
B : 格列美脲
C : 米格列醇
D : 瑞格列奈
E : 二甲双胍
136 、 A1型题
格列本脲临床用于治疗
A : 水肿
B : 高血压
C : 1型糖尿病
D : 2型糖尿病
E : 癫痫病
137 、 A1型题
属于α-葡萄糖苷酶抑制剂的是
A : 葡萄糖
B : 格列吡嗪
C : 吡格列酮
D : 阿卡波糖
E : 胰岛素
138 、 A1型题
具有促进钙、磷吸收的药物是
A : 维生素A
B : 阿法骨化醇
C : 葡萄糖酸钙
D : 阿仑膦酸钠
E : 雷洛昔芬
139 、 A1型题
有一位70岁男性老人患骨质疏松症,应首选的治疗药物是
A : 乳酸钙
B : 骨化三醇
C : 雷洛昔芬
D : 利塞膦酸钠
E : 维生素D
140 、 A1型题
属于大环内酯类抗生素的是
A : 克拉维酸
B : 罗红霉素
C : 阿米卡星
D : 头孢克洛
E : 盐酸林可霉素
141 、 A1型题
属于β-内酰胺酶抑制剂的药物是
A : 阿莫西林
B : 盐酸米诺环素
C : 克拉维酸
D : 阿米卡星
E : 头孢噻吩钠
142 、 A1型题
属于单环β-内酰胺类抗生素的药物是
A : 氨曲南
B : 磷霉素
C : 克拉维酸
D : 舒巴坦
E : 亚胺培南
143 、 A1型题
属于青霉烷砜类的抗生素是
A : 舒巴坦
B : 克拉维酸
C : 氨曲南
D : 头孢克肟
E : 亚胺培南
144 、 A1型题
在喹诺酮类抗菌药的构效关系中,该类药物必要的药效基团是
A : 5位的氨基
B : 6位氟原子取代
C : 7位无取代
D : 1位氮原子无取代
E : 3位上有羧基和4位是羰基145 、 A1型题
甲氧苄啶的作用机制为
A : 抑制β-内酰胺酶
B : 抑制二氢叶酸还原酶
C : 掺入DNA的合成
D : 抗代谢作用
E : 抑制二氢叶酸合成酶
146 、 A1型题
氧氟沙星的化学结构是
A :
B :
C :
D :
E :
147 、 A1型题
磺胺甲噁唑和甲氧苄啶的作用机制为
A : 两者都干扰细菌对叶酸的摄取
B : 前者作用于二氢叶酸合成酶,后者作用于二氢叶酸还原酶
C : 两者都作用于二氢叶酸合成酶
D : 前者作用于二氢叶酸还原酶,后者作用于二氢叶酸合成酶
E : 两者都作用于二氢叶酸还原酶
148 、 A1型题
喹诺酮类药物极易和钙、镁、铁、锌等形成螯合物使抗菌活性降低,是由于结构中含有
A : 6位氟原子
B : 7位哌嗪环
C : 3位羧基和4位羰基
D : N
-乙基
E : 5位氨基
149 、 A1型题
属于全合成的抗结核药是
A : 利福布汀
B : 吡嗪酰胺
C : 卷曲霉素
D : 链霉素
E : 利福喷汀
150 、 A1型题
氟康唑的化学结构类型属于
A : 吡唑类
B : 丙烯胺类
C : 四氮唑类
D : 三氮唑类
E : 咪唑类
151 、 A1型题
喹诺酮类药物影响儿童对钙离子吸收的结构因素是
A : 1位上的脂肪烃基
B : 6位的氟原子
C : 3位的羧基和4位的酮羰基
D : 7位的脂肪杂环
E : 1位氮原子
152 、 A1型题
下列有关喹诺酮抗菌药构效关系的描述错误的是
A : 吡啶酮酸环是抗菌作用必需的基本药效基团
B : 3位COOH和4位C=O为抗菌活性不可缺少的部分
C : 8位与1位以氧烷基成环,使活性下降
D : 6位引入氟原子可使抗菌活性增大
E : 7位引入五元或六元杂环,抗菌活性均增加
153 、 A1型题
下列哪个药物不是合成类抗结核药
A : 异烟肼
B : 吡嗪酰胺
C : 乙胺丁醇D : 利福喷汀
E : 对氨基水杨酸钠
154 、 A1型题
分子中含有2个手性中心,但只有3个光学异构体的药物是
A : 左氧氟沙星
B : 乙胺丁醇
C : 氯胺酮
D : 氯霉素
E : 麻黄碱
155 、 A1型题
具有旋光性,药用右旋体的是
A : 吡嗪酰胺
B : 乙胺丁醇
C : 异烟肼
D : 链霉素
E : 利福平
156 、 A1型题
抗结核药物异烟肼结构中含有未取代的酰肼基,体内易发生N-乙酰化生成无活性代谢产
物,根据此结构特点推测异烟肼的结构是
A :
B :
C :
D :
E :
157 、 A1型题
用于治疗甲型H7N9流感的首选药物是
A : 膦甲酸钠
B : 利巴韦林C : 奥司他韦
D : 沙奎那韦
E : 金刚乙胺
158 、 A1型题
不属于烷化剂类的抗肿瘤药物的结构类型是
A : 氮芥类
B : 乙撑亚胺类
C : 亚硝基脲类
D : 甲磺酸酯类
E : 硝基咪唑类
159 、 A1型题
烷化剂环磷酰胺的结构类型是
A : 氮芥类
B : 乙撑亚胺类
C : 甲磺酸酯类
D : 多元卤醇类
E : 亚硝基脲类
160 、 A1型题
属于嘌呤类抗代谢的抗肿瘤药物是
A : 米托蒽醌
B : 紫杉醇
C : 巯嘌呤
D : 甲氨蝶呤
E : 卡铂
161 、 A1型题
甲氨蝶呤中毒时可使用亚叶酸钙进行解救,其目的是提供
A : 二氢叶酸
B : 叶酸
C : 四氢叶酸
D : 谷氨酸
E : 蝶呤酸
162 、 A1型题
不属于植物药有效成分的抗肿瘤药是
A : 紫杉醇
B : 吉非替尼C : 长春碱
D : 秋水仙碱
E : 喜树碱
163 、 A1型题
属于酪氨酸激酶抑制剂的抗肿瘤药物是
A : 依托泊苷
B : 多西他赛
C : 氟他胺
D : 羟基喜树碱
E : 伊马替尼
164 、 A1型题
地尔硫 的母核结构为
A : 1,4-苯二氮
B : 1,5-苯并硫氮杂
C : 二苯并硫氮杂
D : 1,5-苯二氮
E : 1,4-苯并硫氮杂
165 、 A1型题
不含有脯氨酸结构的ACE抑制剂是
A : 依那普利
B : 赖诺普利
C : 缬沙坦
D : 贝那普利
E : 卡托普利
166 、 A1型题
下列结构药物主要用于A : 抗高血压
B : 降低血中甘油三酯含量
C : 降低血中胆固醇含量
D : 治疗心绞痛
E : 治疗心律不齐
167 、 A1型题
属于HMG-CoA还原酶抑制剂,有内酯结构,属于前药,水解开环后有3,5-二羟基羧酸
的是
A :
B :
C :
D :
E :
168 、 A1型题
具有下列化学结构的药物为
A : 醋酸曲安奈德
B : 醋酸泼尼松龙
C : 醋酸地塞米松
D : 醋酸氢化可的松E : 醋酸氟轻松
169 、 A1型题
具有下列化学结构的药物是
A : 头孢噻肟钠
B : 头孢哌酮钠
C : 头孢曲松钠
D : 头孢美唑钠
E : 头孢克肟钠
170 、 A1型题
具有以下化学结构的药物是
A : 伊曲康唑
B : 克霉唑
C : 酮康唑
D : 特比萘芬
E : 氟康唑
171 、 A1型题
化学结构如下的药物主要临床用途为
A : 治疗艾滋病
B : 治疗上呼吸道病毒感染
C : 治疗疱疹病毒性角膜炎D : 治疗深部真菌感染
E : 治疗滴虫性阴道炎
172 、 A1型题
具有以下结构的化合物,与哪个药物性质及作用机制相同
A : 顺铂
B : 卡莫司汀
C : 氟尿嘧啶
D : 多柔比星
E : 紫杉醇
173 、 A1型题
氧氟沙星的化学结构是
A :
B :
C :
D :
E :
174 、 A1型题
抗结核药物异烟肼结构中含有未取代的酰肼基,体内易发生N-乙酰化生成无活性代谢产
物,根据此结构特点推测异烟肼的结构是
A :
B :
C :
D :
E :