文档
办公文件
生活文档
学习资料
当前位置:
首页
>
文档
>高中作文摘抄《争做新时代的“斜杠”青年》#作文#摘抄#抖音图文来了_中小学精品资料(高清可打印)_初中大全集高清资料整理版
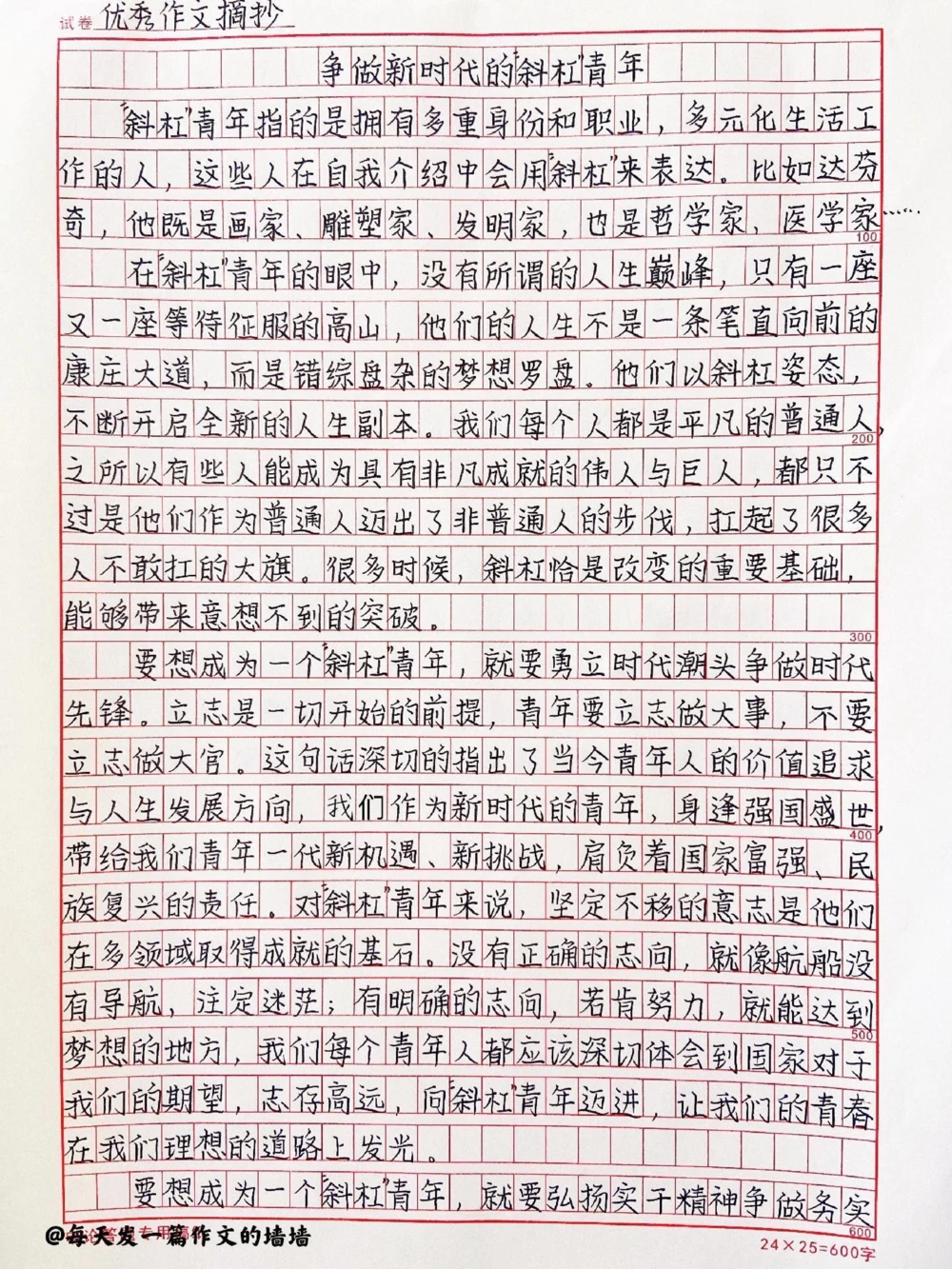
高中作文摘抄《争做新时代的“斜杠”青年》#作文#摘抄#抖音图文来了_中小学精品资料(高清可打印)_初中大全集高清资料整理版
2026-03-07 17:53:14
2026-01-23 05:14:35
文档预览
文档信息
文档格式
pdf
文档大小
1.838 MB
文档页数
2 页
上传时间
2026-01-23 05:14:35
下载文档
本文档来自网络内容,如有侵犯您的权益请联系我们删除,联系邮箱:wyl860211@qq.com。
上一篇
高中优质作文摘抄《不屈平凡,萤火也比月光》不屈于平凡,萤火也有萤火的美丽,也堪比月光!#作文#高中#抖音图文来了_中小学精品资料(高清可打印)_初中大全集高清资料整理版
下一篇
高中全部重点单词大合集,这才是高中生该看的#英语#每天学习一点点_中小学精品资料(高清可打印)_初中大全集高清资料整理版
最新文档
2023年北京市延庆区中考一模地理试卷(1)_北京初中期末题_C605-京七八九_B京地理七八九_地理_北京八下地理
2024高三开学考地理答案_A1502026各地模拟卷(超值!)_9月_240903山东省德州市2025届高三上学期开学考_山东省德州市2025届高三上学期开学考地理试题(含答案)
2023年北京市东城区广渠门中学中考道德与法治模拟试卷(3月份)教师版(1)_北京初中期末题_C605-京七八九_B京市道德与法治七八九_道法_北京9下道法(含中考模拟)_北京道法9下模拟卷
2023年北京市东城区广渠门中学中考道德与法治模拟试卷(3月份)(1)_北京初中期末题_C605-京七八九_B京市道德与法治七八九_道法_北京9下道法(含中考模拟)_北京道法9下模拟卷
2023年北京市东城区九年级二模考试英语试题答案(1)_北京初中期末题_C605-京七八九_英语9上下_北京-9年级下册-英语_北京9下英语(含中考模拟)_北京英语9下模拟卷
2023年北京市东城区九年级二模考试英语试题(1)_北京初中期末题_C605-京七八九_英语9上下_北京-9年级下册-英语_北京9下英语(含中考模拟)_北京英语9下模拟卷
2023年北京市东城区中考模拟生物试卷(1)_北京初中期末题_C605-京七八九_B京生物七八九_北京八下生物
2023年北京市东城区中考一模语文试卷(1)_北京初中期末题_C605-京七八九_B语文七八九_北京9下语文_2022-2023
2023年北京三十五中中考道德与法治模拟试卷(3月份)教师版(1)_北京初中期末题_C605-京七八九_B京市道德与法治七八九_道法_北京9下道法(含中考模拟)_北京道法9下模拟卷
2023年北京三十五中中考道德与法治模拟试卷(3月份)(1)_北京初中期末题_C605-京七八九_B京市道德与法治七八九_道法_北京9下道法(含中考模拟)_北京道法9下模拟卷
热门文档
2023北京西城初一(上)期末英语(教师版)(1)_北京初中期末题_C605-京七八九_B京英语七八九_北京7上英语_2022-2023_2023北京西城初一(上)期末英语(教师版)
2023北京西城初一(上)期末英语(教师版)(1)_北京初中期末题_C605-京七八九_B京英语七八九_北京7上英语_2022-2023_2023北京西城初一(上)期末英语(教师版)
2023北京海淀初一(上)期末英语(教师版)(1)_北京初中期末题_C605-京七八九_B京英语七八九_北京7上英语_2022-2023_2023北京海淀初一(上)期末英语(教师版)
2023北京海淀初一(上)期末英语(教师版)(1)_北京初中期末题_C605-京七八九_B京英语七八九_北京7上英语_2022-2023_2023北京海淀初一(上)期末英语(教师版)
2023北京朝阳初一(上)期末英语(教师版)(1)_北京初中期末题_C605-京七八九_B京英语七八九_北京7上英语_2022-2023_2023北京朝阳初一(上)期末英语(教师版)
2023北京朝阳初一(上)期末英语(教师版)(1)_北京初中期末题_C605-京七八九_B京英语七八九_北京7上英语_2022-2023_2023北京朝阳初一(上)期末英语(教师版)
2023北京昌平初二(上)期末英语(教师版)(1)_北京初中期末题_C605-京七八九_B京英语七八九_北京8上英语_2022-2023_2023北京昌平初二(上)期末英语(教师版)
2023北京昌平初二(上)期末英语(教师版)(1)_北京初中期末题_C605-京七八九_B京英语七八九_北京8上英语_2022-2023_2023北京昌平初二(上)期末英语(教师版)
2023北京延庆初二(上)期末英语(教师版)(1)_北京初中期末题_C605-京七八九_B京英语七八九_北京8上英语_2022-2023_2023北京延庆初二(上)期末英语(教师版)
2023北京延庆初二(上)期末英语(教师版)(1)_北京初中期末题_C605-京七八九_B京英语七八九_北京8上英语_2022-2023_2023北京延庆初二(上)期末英语(教师版)
随机文档
2023北京二中初二(上)期末英语(教师版)(1)_北京初中期末题_C605-京七八九_B京英语七八九_北京8上英语_2022-2023_2023北京二中初二(上)期末英语(教师版)
2023北京二中初二(上)期末英语(教师版)(1)_北京初中期末题_C605-京七八九_B京英语七八九_北京8上英语_2022-2023_2023北京二中初二(上)期末英语(教师版)
2023北京东城初一(上)期末英语(教师版)(1)_北京初中期末题_C605-京七八九_B京英语七八九_北京7上英语_2022-2023_2023北京东城初一(上)期末英语(教师版)
2023北京东城初一(上)期末英语(教师版)(1)_北京初中期末题_C605-京七八九_B京英语七八九_北京7上英语_2022-2023_2023北京东城初一(上)期末英语(教师版)
2023–2024学年七年级下学期期末考前打靶卷02(中图版·北京)(解析版)(1)_北京初中期末题_C605-京七八九_B京地理七八九_地理_北京7下地理_2022-2024_北京地理7下期末
2023–2024学年七年级下学期期末考前打靶卷02(中图版·北京)(原卷版)(1)_北京初中期末题_C605-京七八九_B京地理七八九_地理_北京7下地理_2022-2024_北京地理7下期末
2023–2024学年七年级下学期期末考前打靶卷01(中图版·北京)(解析版)(1)_北京初中期末题_C605-京七八九_B京地理七八九_地理_北京7下地理_2022-2024_北京地理7下期末
2024年高考物理试卷(湖南)(第7-10题,第15题)(解析版)_A1502026各地模拟卷(超值!)_赠送:2008-2024全套高考真题_高考物理真题_新·Word版2008-2024·高考物理真题
2023–2024学年七年级下学期期末考前打靶卷01(中图版·北京)(原卷版)(1)_北京初中期末题_C605-京七八九_B京地理七八九_地理_北京7下地理_2022-2024_北京地理7下期末
2023-2024学年度第二学期初三年级语文练习2_答案(1)_北京初中期末题_C605-京七八九_B语文七八九_北京9下语文_2023-2024_北京市海淀区人大附中西山学校2023-2024学年九年级下学期第二次语文练习卷