当前位置:首页>文档>2025年高考物理试卷(海南卷)(1-6,14-18题)(解析卷)_物理历年高考真题_新·PDF版2008-2025·高考物理真题_物理(按年份分类)2008-2025_2025·高考物理真题

2025年高考物理试卷(海南卷)(1-6,14-18题)(解析卷)_物理历年高考真题_新·PDF版2008-2025·高考物理真题_物理(按年份分类)2008-2025_2025·高考物理真题

  • 2026-03-21 20:03:43 2026-01-31 06:05:59

文档预览

2025年高考物理试卷(海南卷)(1-6,14-18题)(解析卷)_物理历年高考真题_新·PDF版2008-2025·高考物理真题_物理(按年份分类)2008-2025_2025·高考物理真题
2025年高考物理试卷(海南卷)(1-6,14-18题)(解析卷)_物理历年高考真题_新·PDF版2008-2025·高考物理真题_物理(按年份分类)2008-2025_2025·高考物理真题
2025年高考物理试卷(海南卷)(1-6,14-18题)(解析卷)_物理历年高考真题_新·PDF版2008-2025·高考物理真题_物理(按年份分类)2008-2025_2025·高考物理真题
2025年高考物理试卷(海南卷)(1-6,14-18题)(解析卷)_物理历年高考真题_新·PDF版2008-2025·高考物理真题_物理(按年份分类)2008-2025_2025·高考物理真题
2025年高考物理试卷(海南卷)(1-6,14-18题)(解析卷)_物理历年高考真题_新·PDF版2008-2025·高考物理真题_物理(按年份分类)2008-2025_2025·高考物理真题
2025年高考物理试卷(海南卷)(1-6,14-18题)(解析卷)_物理历年高考真题_新·PDF版2008-2025·高考物理真题_物理(按年份分类)2008-2025_2025·高考物理真题
2025年高考物理试卷(海南卷)(1-6,14-18题)(解析卷)_物理历年高考真题_新·PDF版2008-2025·高考物理真题_物理(按年份分类)2008-2025_2025·高考物理真题
2025年高考物理试卷(海南卷)(1-6,14-18题)(解析卷)_物理历年高考真题_新·PDF版2008-2025·高考物理真题_物理(按年份分类)2008-2025_2025·高考物理真题
2025年高考物理试卷(海南卷)(1-6,14-18题)(解析卷)_物理历年高考真题_新·PDF版2008-2025·高考物理真题_物理(按年份分类)2008-2025_2025·高考物理真题
2025年高考物理试卷(海南卷)(1-6,14-18题)(解析卷)_物理历年高考真题_新·PDF版2008-2025·高考物理真题_物理(按年份分类)2008-2025_2025·高考物理真题
2025年高考物理试卷(海南卷)(1-6,14-18题)(解析卷)_物理历年高考真题_新·PDF版2008-2025·高考物理真题_物理(按年份分类)2008-2025_2025·高考物理真题
2025年高考物理试卷(海南卷)(1-6,14-18题)(解析卷)_物理历年高考真题_新·PDF版2008-2025·高考物理真题_物理(按年份分类)2008-2025_2025·高考物理真题
2025年高考物理试卷(海南卷)(1-6,14-18题)(解析卷)_物理历年高考真题_新·PDF版2008-2025·高考物理真题_物理(按年份分类)2008-2025_2025·高考物理真题
2025年高考物理试卷(海南卷)(1-6,14-18题)(解析卷)_物理历年高考真题_新·PDF版2008-2025·高考物理真题_物理(按年份分类)2008-2025_2025·高考物理真题
2025年高考物理试卷(海南卷)(1-6,14-18题)(解析卷)_物理历年高考真题_新·PDF版2008-2025·高考物理真题_物理(按年份分类)2008-2025_2025·高考物理真题
2025年高考物理试卷(海南卷)(1-6,14-18题)(解析卷)_物理历年高考真题_新·PDF版2008-2025·高考物理真题_物理(按年份分类)2008-2025_2025·高考物理真题

文档信息

文档格式
pdf
文档大小
0.475 MB
文档页数
12 页
上传时间
2026-01-31 06:05:59

文档内容

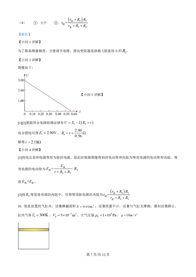
235U+X® 144Ba+ 89Kr+31n 1. 核反应方程中 92 56 36 0 ,则X是( ) A 4He B. 1H C. 1n D. 0e . 2 1 0 -1 【答案】C 【解析】 【详解】根据质量数守恒和核电荷数守恒可知X是1n。 0 故选C。 2. 带正电的金属球靠近不带电验电器金属小球a,则关于验电器金属小球a和金属箔b,下列说法正确的 是( ) A. a、b都带正电 B. a、b都带负电 C. a带负电、b带正电 D. a带正电、b带负电 【答案】C 【解析】 【详解】由图可知,验电器本来不带电,由于同种电荷相互排斥,异种电荷相互吸引,正金属球靠近不带 电验电器金属小球a,使得金属球a带负电荷,从而导致金属箔b带上正电荷。 故选C。 3. 如图所示是某汽车通过ETC过程的v-t图像,下面说法正确的是( ) A. 0~t 内,汽车做匀减速直线运动 1 B. t ~t 内,汽车静止 1 2 C. 0~t 1 和t 2 : t 3 内,汽车加速度方向相同 第1页/共12页 学科网(北京)股份有限公司D. 0~t 1 和t 2 : t 3 内,汽车速度方向相反 【答案】A 【解析】 【详解】A.由图可知v-t图像的斜率表示加速度,0~t 时间内加速度为负且恒定,速度为正,加速度 1 方向与速度方向相反,故0~t 时,汽车做匀减速直线运动,故A正确; 1 B.t ~t 内,汽车做匀速直线运动,故B错误; 1 2 C.0~t 1 内加速度为负,t 2 : t 3 内加速度为正,故0~t 1 和t 2 : t 3 内,汽车加速度方向相反,故C错误; D.0~t 1 和t 2 : t 3 内,汽车速度方向相同,均为正,故D错误。 故选A。 4. 载人飞船的火箭成功发射升空,载人飞船进入预定轨道后,与空间站完成自主快速交会对接,然后绕地 球做匀速圆周运动。已知空间站轨道高度低于地球同步卫星轨道,则下面说法正确的是( ) A. 火箭加速升空失重 B. 宇航员在空间站受到的万有引力小于在地表受到万有引力 C. 空间站绕地球做匀速圆周运动的角速度小于地球自转角速度 D. 空间站绕地球做匀速圆周运动的加速度小于地球同步卫星的加速度 【答案】B 【解析】 【详解】A.火箭加速升空过程,加速度方向竖直向上,则处于超重状态,故A错误; GMm B.根据F = ,宇航员与地球的质量不变,宇航员在空间站离地心更远,则受到的万有引力小于在 R2 地表受到万有引力,故B正确; GMm GM C.根据 =mw2R可得w= ,可知空间站绕地球做匀速圆周运动的角速度大于同步卫星的角 R2 R3 速度,即大于地球自转角速度,故C错误; GMm GM D.根据 =ma可得a = ,可知空间站绕地球做匀速圆周运动的加速度大于地球同步卫星的加 R2 R2 速度,故D错误。 故选B 。 5. 如图所示,实线何虚线分别是沿着x轴正方向传播的一列简谐横波在t = 0时刻和t =0.5s的波形图,已 知波的周期T >0.5s,则下列关于该列波说法正确的是( ) 第2页/共12页 学科网(北京)股份有限公司A. 波长为5cm B. 波速为10cm/s C. 周期为1s D. t = 0时刻,质点M 向下振动 【答案】D 【解析】 【详解】A.由图可知波长为10cm,故A错误; 3 BC.t = 0时刻到t =0.5s的过程中,Dt =nT + T,n=0,1,2... 4 2 已知波的周期T >0.5s,则n只能取0,则T = s 3 l 波速为v= =15cm/s,故BC错误; T D.简谐横波沿着x轴正方向传播,根据同侧法可知t = 0时刻,质点M 向下振动,故D正确。 故选 D。 6. 某静电场电势j在x轴上分布如图所示,图线关于j轴对称,M 、P、N 是x轴上的三点, OM =ON ;有一电子从M 点静止释放,仅受x方向的电场力作用,则下列说法正确的是( ) A. P点电场强度方向沿x负方向 B. M 点的电场强度小于N 点的电场强度 C. 电子在P点的动能小于在N 点的动能 D. 电子在M 点的电势能大于在P点的电势能 【答案】D 【解析】 【详解】A.由图可知在x正半轴沿+x方向电势降低,则电场强度方向沿x正方向,故A错误; B.j-x图像斜率表示电场强度,,由图可知M 点的电场强度大小等于N 点的电场强度,方向相反,故 B错误; C.电子在电势低处电势能大,故电子在P点的电势能小于在N 点的电势能,根据能量守恒可知,电子在 第3页/共12页 学科网(北京)股份有限公司P点的动能大于在N 点的动能,故C错误; D.电子在电势低处电势能大,故电子在M 点的电势能大于在P点的电势能,故D正确。 故选D 。 7. 小组用如图所示单摆测量当地重力加速度 (1)用游标卡尺测得小球直径d =20mm,刻度尺测得摆线长l =79cm,则单摆摆长L=_____cm(保 留四位有效数字); (2)拉动小球,使摆线伸直且与竖直方向的夹角为q(q<5°),无初速度的释放小球,小球经过_____ 点(选填:“最高”或“最低”)时,开始计时,记录小球做了30次全振动用时t =54.00s,则单摆周期 T =_____s,由此可得当地重力加速度g = _____m/s2(p2 »10)。 【答案】(1)80.00 (2) ①. 最低 ②. 1.8 ③. 9.88 【解析】 【小问1详解】 d 单摆的摆长为L=l+ =80.00cm 2 【小问2详解】 [1]为减小实验计时误差,需小球经过最低点时开始计时; t 54 [2]单摆周期T = = s=1.8s n 30 L [3]根据单摆周期公式T =2p g 4π2L 可得g = T2 代入数值得g =9.88m/s2 8. 测量某半圆形玻璃砖的折射率,操作步骤如下 I.在白纸上画一条直线,半圆形玻璃砖放白纸上,玻璃砖直径与直线重合,描出直径两端点A和B,取走 玻璃砖,用刻度尺求圆心O点,过O点作AB垂线CO,放回玻璃砖,将光屏垂直AB贴近玻璃砖A点放 第4页/共12页 学科网(北京)股份有限公司置。 II.沿玻璃砖由C向B缓慢移动激光笔,使得入射光线平行纸面且始终沿着半径方向射向圆心O,从玻璃 砖射出的激光在AB下方的光屏上恰好消失,记下激光入射点D,取走玻璃砖,过D点作CO的垂线 DE。 (1)步骤II中,当激光从D点入射到O点在AB面下方光屏上恰好消失时是光的_____。 A. 色散现象 B. 衍射现象 C. 全反射现象 (2)用刻度尺测得OB=4.00cm、DE =2.50cm,则玻璃砖的折射率n =_____。 【答案】(1)C (2)1.6 【解析】 【小问1详解】 当激光从D点入射到O点在AB面下方光屏上恰好消失时,此时光线在AB面发生全反射,故是光的全反 射现象。 故选C。 【小问2详解】 DE DE 5 根据前面分析可知此时入射角等于临界角,即ÐDOE =C,故可得sinC = = = OD OB 8 1 根据sinC = n 可得玻璃砖的折射率n=1.6 9. 图是“测量电源的电动势和内阻”的实验电路。 有如下器材 电源E (约为3V,内阻未知) 1 第5页/共12页 学科网(北京)股份有限公司电压表V(0~3V,R 约为3kΩ) V 电流表A(0~6A,R 约为1Ω) A 定值电阻R =3W 0 滑动变阻器R(0-50Ω) 1 滑动变阻器R (0-500Ω) 2 开关S 导线若干 (1)为了提高测量精度,电路图中滑动变阻器应选_____。 (2)闭合开关S,多次调节滑动变阻器,记录U、I,如下表 1.00 1.30 1.70 2.00 2.50 0.38 0.32 0.24 0.18 0.08 根据表中数据作出U-I图像_____。 (3)由U-I图像可求出电动势E =_____V,内阻r=_____Ω(均保留三位有效数字) 1 。 (4)考虑电压表分流引起的误差,则E _____E ;(填“大于”、 “等于”或“小于”);r 与真实值 测 真 测 r 之间的关系式为_____(用R ,R ,r ,r 表示 真 V 0 测 真 【答案】(1)R 1 (2) (3) ①. 2.90 ②. 2.18 第6页/共12页 学科网(北京)股份有限公司  r +R R (4) ①. 小于 ②. r = 真 0 V 测 r +R +R 真 0 V 【解析】 【小问1详解】 为了提高测量精度,方便调节电路,滑动变阻器选择最大阻值较小的R; 1 【小问2详解】 图像如下: 【小问3详解】 [1][2]根据闭合电路欧姆定律有U = E -IR +r 1 0 2.90 结合图线可得E =2.90V,R +r = W 1 0 0.56 解得r =2.18W 【小问4详解】 [1]将电压表和电源等效为新的电源,故此时根据图像得到的电动势和内阻为等效电源的电动势和内阻,等 E 效电源的电动势为E = 真 ×R 测 r+R +R V 0 V 故E