乐于分享
好东西不私藏

点绕任意点旋转坐标公式推导文档

点绕任意点旋转坐标公式推导文档

在单相机取料和单相机放料的应用场景中,需要经常使用到坐标旋转公式计算点绕某点旋转后的点坐标。下面将对坐标旋转公式进行简单的解析。

基础定义

  • • 旋转中心点坐标:
  • • 待旋转点原始坐标:
  • • 旋转角度:(逆时针为正,顺时针为负,单位:弧度)
  • • 旋转后目标点坐标:

核心前置知识

一般在机器视觉中,求取旋转后的点的坐标按照以下步骤进行:

  • • 先将笛卡尔坐标系原点和旋转中心点坐标进行对齐;
  • • 再按照旋转中心求取旋转指定角度后的点的坐标(旋转后点的坐标是以旋转中心为原点的坐标系中的点)
  • • 求取旋转后的坐标在平移转换到原来的坐标系中

坐标系平移规则

将点相对于旋转中心平移至坐标原点:

平移还原(从原点恢复至原坐标系):

点绕原点旋转公式

绕坐标原点旋转后的坐标公式来源:三角函数和角公式

完整推导过程

平移坐标系__将旋转中心移至原点

把旋转中心

临时变为原点,待旋转点转换为相对坐标:

执行原点旋转运算

代入原点旋转公式,计算相对坐标旋转后的结果:

还原坐标系——平移回原位置

将旋转后的坐标加回旋转中心,得到最终绝对坐标:

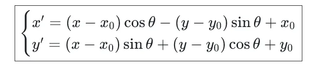
合并得到最终公式

将步骤2代入步骤3,整理后:

推导核心逻辑总结

绕任意点旋转 = 三步标准变换

  1. 1. 平移:把旋转中心移到原点,得到相对坐标
  2. 2. 旋转:使用原点旋转公式计算
  3. 3. 反平移:加回中心坐标,恢复原坐标系

注意

  1. 1. 角度单位:公式中为弧度,角度制需转换:

  2. 2. 适用场景:视觉标定、XYR平台旋转补偿、机器人取料姿态计算等。
线程同步加锁的几种方式,你还不知道?
你不知道的 自定义配置节(System.Configuration)
AutoMapper中的自定义值解析器!!!
本站文章均为手工撰写未经允许谢绝转载:夜雨聆风 » 点绕任意点旋转坐标公式推导文档

评论 抢沙发

7 + 6 =
  • 昵称 (必填)
  • 邮箱 (必填)
  • 网址
×
订阅图标按钮