合成必备的38个有机反应机理
近期培训
近期培训
Arndt-Eister 反应
酰氯与重氮甲烷反应,然后在氧化银催化下与水共热得到酸。

反应机理
重氮甲烷与酰氯反应首先形成重氮酮(1),(1)在氧化银催化下与水共热,得到酰基卡宾(2),(2)发生重排得烯酮(3),(3)与水反应生成酸,若与醇或氨(胺)反应,则得酯或酰胺。

反应实例

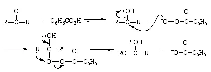
Baeyer-Villiger 反应
反应机理
过酸先与羰基进行亲核加成,然后酮羰基上的一个烃基带着一对电子迁移到-O-O-基团中与羰基碳原子直接相连的氧原子上,同时发生O-O键异裂。因此,这是一个重排反应

具有光学活性的3—苯基丁酮和过酸反应,重排产物手性碳原子的枸型保持不变,说明反应属于分子内重排:

不对称的酮氧化时,在重排步骤中,两个基团均可迁移,但是还是有一定的选择性,按迁移能力其顺序为:

醛氧化的机理与此相似,但迁移的是氢负离子,得到羧酸。

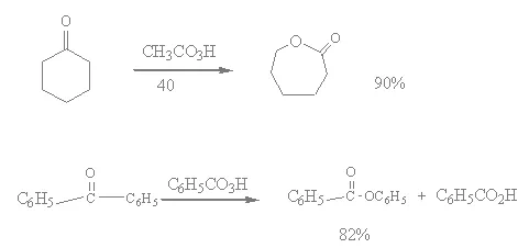
反应实例

酮类化合物用过酸如过氧乙酸、过氧苯甲酸、间氯过氧苯甲酸或三氟过氧乙酸等氧化,可在羰基旁边插入一个氧原子生成相应的酯,其中三氟过氧乙酸是最好的氧化剂。这类氧化剂的特点是反应速率快,反应温度一般在10~40℃之间,产率高。

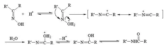
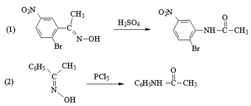
Beckmann 重排反应
肟在酸如硫酸、多聚磷酸以及能产生强酸的五氯化磷、三氯化磷、苯磺酰氯、亚硫酰氯等作用下发生重排,生成相应的取代酰胺,如环己酮肟在硫酸作用下重排生成己内酰胺:

反应机理
在酸作用下,肟首先发生质子化,然后脱去一分子水,同时与羟基处于反位的基团迁移到缺电子的氮原子上,所形成的碳正离子与水反应得到酰胺。

迁移基团如果是手性碳原子,则在迁移前后其构型不变,例如:

反应实例

Birch 还原
芳香化合物用碱金属(钠、钾或锂)在液氨与醇(乙醇、异丙醇或仲丁醇)的混合液中还原,苯环可被还原成非共轭的1,4-环己二烯化合物。

反应机理
首先是钠和液氨作用生成溶剂化点子,然后苯得到一个电子生成自由基负离子(Ⅰ),这是苯环的л电子体系中有7个电子,加到苯环上那个电子处在苯环分子轨道的反键轨道上,自由基负离子仍是个环状共轭体系,(Ⅰ)表示的是部分共振式。(Ⅰ)不稳定而被质子化,随即从乙醇中夺取一个质子生成环己二烯自由基(Ⅱ)。(Ⅱ)在取得一个溶剂化电子转变成环己二烯负离子(Ⅲ),(Ⅲ)是一个强碱,迅速再从乙醇中夺取一个电子生成1,4-环己二烯。

环己二烯负离子(Ⅲ)在共轭链的中间碳原子上质子化比末端碳原子上质子快,原因尚不清楚。

反应实例
取代的苯也能发生还原,并且通过得到单一的还原产物。
Bouveault—Blanc 还原
脂肪族羧酸酯可用金属钠和醇还原得一级醇。α,β-不饱和羧酸酯还原得相应的饱和醇。芳香酸酯也可进行本反应,但收率较低。本法在氢化锂铝还原酯的方法发现以前,广泛地被使用,非共轭的双键可不受影响。

反应机理
首先酯从金属钠获得一个电子还原为自由基负离子,然后从醇中夺取一个质子转变为自由基,再从钠得一个电子生成负离子,消除烷氧基成为醛,醛再经过相同的步骤还原成钠,再酸化得到相应的醇。

反应实例

醛酮也可以用本法还原,得到相应的醇:


Cannizzaro 反应
凡α位碳原子上无活泼氢的醛类和浓NaOH或KOH水或醇溶液作用时,不发生醇醛缩合或树脂化作用而起歧化反应生成与醛相当的酸(成盐)及醇的混合物。此反应的特征是醛自身同时发生氧化及还原作用,一分子被氧化成酸的盐,另一分子被还原成醇:

脂肪醛中,只有甲醛和与羰基相连的是一个叔碳原子的醛类,才会发生此反应,其他醛类与强碱液,作用发生醇醛缩合或进一步变成树脂状物质。

具有α-活泼氢原子的醛和甲醛首先发生羟醛缩合反应,得到无α-活泼氢原子的β-羟基醛,然后再与甲醛进行交叉Cannizzaro反应,如乙醛和甲醛反应得到季戊四醇:

反应机理
醛首先和氢氧根负离子进行亲核加成得到负离子,然后碳上的氢带着一对电子以氢负离子的形式转移到另一分子的羰基不能碳原子上。

反应实例

Claisen酯缩合反应
含有α-氢的酯在醇钠等碱性缩合剂作用下发生缩合作用,失去一分子醇得到β-酮酸酯。如2分子乙酸乙酯在金属钠和少量乙醇作用下发生缩合得到乙酰乙酸乙酯。

二元羧酸酯的分子内酯缩合见Dieckmann缩合反应。
反应机理
乙酸乙酯的α-氢酸性很弱(pKa-24.5),而乙醇钠又是一个相对较弱的碱(乙醇的pKa~15.9),因此,乙酸乙酯与乙醇钠作用所形成的负离子在平衡体系是很少的。但由于最后产物乙酰乙酸乙酯是一个比较强的酸,能与乙醇钠作用形成稳定的负离子,从而使平衡朝产物方向移动。所以,尽管反应体系中的乙酸乙酯负离子浓度很低,但一形成后,就不断地反应,结果反应还是可以顺利完成。

常用的碱性缩合剂除乙醇钠外,还有叔丁醇钾、叔丁醇钠、氢化钾、氢化钠、三苯甲基钠、二异丙氨基锂(LDA)和Grignard试剂等。
反应实例
如果酯的α-碳上只有一个氢原子,由于酸性太弱,用乙醇钠难于形成负离子,需要用较强的碱才能把酯变为负离子。如异丁酸乙酯在三苯甲基钠作用下,可以进行缩合,而在乙醇钠作用下则不能发生反应:

两种不同的酯也能发生酯缩合,理论上可得到四种不同的产物,称为混合酯缩合,在制备上没有太大意义。如果其中一个酯分子中既无α-氢原子,而且烷氧羰基又比较活泼时,则仅生成一种缩合产物。如苯甲酸酯、甲酸酯、草酸酯、碳酸酯等。与其它含α-氢原子的酯反应时,都只生成一种缩合产物。

实际上这个反应不限于酯类自身的缩合,酯与含活泼亚甲基的化合物都可以发生这样的缩合反应,这个反应可以用下列通式表示:

Claisen—Schmidt 反应
一个无α-氢原子的醛与一个带有α-氢原子的脂肪族醛或酮在稀氢氧化钠水溶液或醇溶液存在下发生缩合反应,并失水得到α,β–不饱和醛或酮:

反应机理

反应实例

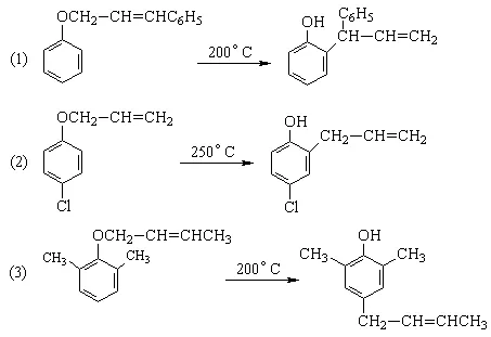
Claisen 重排
烯丙基芳基醚在高温(200°C)下可以重排,生成烯丙基酚。

当烯丙基芳基醚的两个邻位未被取代基占满时,重排主要得到邻位产物,两个邻位均被取代基占据时,重排得到对位产物。对位、邻位均被占满时不发生此类重排反应。

交叉反应实验证明:Claisen重排是分子内的重排。采用 g-碳14C标记的烯丙基醚进行重排,重排后 g-碳原子与苯环相连,碳碳双键发生位移。两个邻位都被取代的芳基烯丙基酚,重排后则仍是a-碳原子与苯环相连。
反应机理
Claisen重排是个协同反应,中间经过一个环状过渡态,所以芳环上取代基的电子效应对重排无影响。

从烯丙基芳基醚重排为邻烯丙基酚经过一次[3,3]s迁移和一次由酮式到烯醇式的互变异构;两个邻位都被取代基占据的烯丙基芳基酚重排时先经过一次[3,3]s 迁移到邻位(Claisen重排),由于邻位已被取代基占据,无法发生互变异构,接着又发生一次[3,3]s 迁移(Cope重排)到对位,然后经互变异构得到对位烯丙基酚。

取代的烯丙基芳基醚重排时,无论原来的烯丙基双键是Z-构型还是E-构型,重排后的新双键的构型都是E-型(反式),这是因为重排反应所经过的六员环状过渡态具有稳定椅式构象的缘故。

反应实例

Claisen重排具有普遍性,在醚类化合物中,如果存在烯丙氧基与碳碳相连的结构,就有可能发生Claisen 重排。
Clemmensen 还原
醛类或酮类分子中的羰基被锌汞齐和浓盐酸还原为亚甲基

此法只适用于对酸稳定的化合物。对酸不稳定而对碱稳定的化合物可用Wolff-Kishner-黄鸣龙反应还原。
反应机理
本反应的反应机理较复杂,目前尚不很清楚。
反应实例
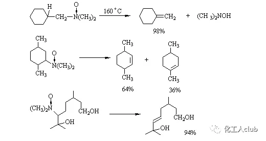
Cope 消除反应
叔胺的N-氧化物(氧化叔胺)热解时生成烯烃和N,N-二取代羟胺,产率很高。

实际上只需将叔胺与氧化剂放在一起,不需分离出氧化叔胺即可继续进行反应,例如在干燥的二甲亚砜或四氢呋喃中这个反应可在室温进行。此反应条件温和、副反应少,反应过程中不发生重排,可用来制备许多烯烃。当氧化叔胺的一个烃基上二个β位有氢原子存在时,消除得到的烯烃是混合物,但是 Hofmann产物为主;如得到的烯烃有顺反异构时,一般以 E-型为主。例如:

反应机理
这个反应是E2顺式消除反应,反应过程中形成一个平面的五员环过度态,氧化叔胺的氧作为进攻的碱:

要产生这样的环状结构,氨基和β-氢原子必须处于同一侧,并且在形成五员环过度态时,α,β-碳原子上的原子基团呈重叠型,这样的过度态需要较高的活化能,形成后也很不稳定,易于进行消除反应。
反应实例

Cope 重排
1,5-二烯类化合物受热时发生类似于 O-烯丙基重排为 C-烯丙基的重排反应(Claisen 重排)反应称为Cope重排。这个反应30多年来引起人们的广泛注意。1,5-二烯在150—200℃单独加热短时间就容易发生重排,并且产率非常好。


Cope重排属于周环反应,它和其它周环反应的特点一样,具有高度的立体选择性。例如:内消旋-3,4-二甲基-1,5-己二烯重排后,得到的产物几乎全部是(Z, E)-2,6辛二烯:

反应机理
Cope重排是[3,3]s-迁移反应,反应过程是经过一个环状过渡态进行的协同反应:

在立体化学上,表现为经过椅式环状过渡态:

反应实例



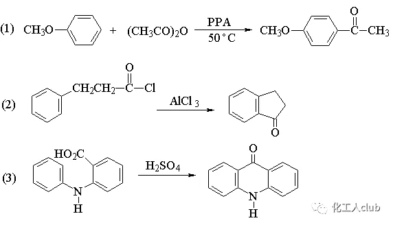
Friedel-Crafts 烷基化反应
芳烃与卤代烃、醇类或烯类化合物在Lewis催化剂(如AlCl3,FeCl3, H2SO4, H3PO4, BF3, HF等)存在下,发生芳环的烷基化反应。

卤代烃反应的活泼性顺序为:RF > RCl > RBr > RI ; 当烃基超过3个碳原子时,反应过程中易发生重排。
反应机理
首先是卤代烃、醇或烯烃与催化剂如三氯化铝作用形成碳正离子:

所形成的碳正离子可能发生重排,得到较稳定的碳正离子:

碳正离子作为亲电试剂进攻芳环形成中间体s-络合物,然后失去一个质子得到发生亲电取代产物:

反应实例

Friedel-Crafts 酰基化反应
芳烃与酰基化试剂如酰卤、酸酐、羧酸、烯酮等在Lewis酸(通常用无水三氯化铝)催化下发生酰基化反应,得到芳香酮:

这是制备芳香酮类最重要的方法之一,在酰基化中不发生烃基的重排。
反应机理

反应实例

Gattermann-Koch 反应
芳香烃与等分子的一氧化碳及氯化氢气体在加压和催化剂(三氯化铝及氯化亚铜)存在下反应,生成芳香醛:

反应机理

反应实例

Hell-Volhard-Zelinski 反应
羧酸在催化量的三卤化磷或红磷作用下,能与卤素发生a-卤代反应生成a-卤代酸:

本反应也可以用酰卤作催化剂。
反应机理

反应实例

Hinsberg 反应
伯胺、仲胺分别与对甲苯磺酰氯作用生成相应的对甲苯磺酰胺沉淀,其中伯胺生成的沉淀能溶于碱(如氢氧化钠)溶液,仲胺生成的沉淀则不溶,叔胺与对甲苯磺酰氯不反应。此反应可用于伯仲叔胺的分离与鉴定。

Hofmann 烷基化
卤代烷与氨或胺发生烷基化反应,生成脂肪族胺类:

由于生成的伯胺亲核性通常比氨强,能继续与卤代烃反应,因此本反应不可避免地产生仲胺、叔胺和季铵盐,最后得到的往往是多种产物的混合物。

用大过量的氨可避免多取代反应的发生,从而可得到良好产率的伯胺。
反应机理
反应为典型的亲核取代反应(SN1或SN2)
反应实例

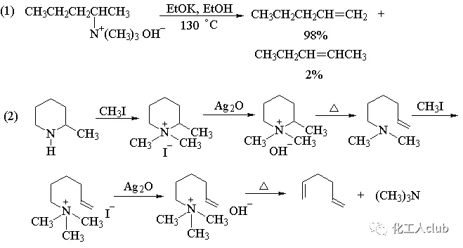
Hofmann 消除反应
季铵碱在加热条件下(100–200°C)发生热分解,当季铵碱的四个烃基都是甲基时,热分解得到甲醇和三甲胺:

如果季铵碱的四个烃基不同,则热分解时总是得到含取代基最少的烯烃和叔胺:

反应实例

Koble 反应
脂肪酸钠盐或钾盐的浓溶液电解时发生脱羧,同时两个烃基相互偶联生成烃类:

如果使用两种不同脂肪酸的盐进行电解,则得到混合物:

反应机理

反应实例

Leuckart 反应
醛或酮在高温下与甲酸铵反应得伯胺:

除甲酸铵外,反应也可以用取代的甲酸铵或甲酰铵。
反应机理
反应中甲酸铵一方面提供氨,另一方面又作为还原剂。

反应实例

Michael 加成反应
一个亲电的共轭体系和一个亲核的碳负离子进行共轭加成,称为Micheal加成:

反应机理

反应实例

Paal-Knorr 反应
1,4-二羰基化合物在无水的酸性条件下脱水,生成呋喃及其衍生物。1,4-二羰基化合物与氨或硫化物反应,可得吡咯、噻吩及其衍生物。

反应机理

反应实例

Reppe 合成法
烯烃或炔烃、CO与一个亲核试剂如H2O, ROH, RNH2,RSH,RCOOH等在均相催化剂作用下形成羰基酸及其衍生物。

许多过渡金属如Ni,Co,Fe,Rh,Ru,Pd等的盐和络合物均可作催化剂。反应过程首先形成酰基金属,然后和水、醇、胺等发生溶剂解反应形成酸、酯、酰胺:

illiamson 合成法
卤代烃与醇钠在无水条件下反应生成醚:

如果使用酚类反应,则可以在氢氧化钠水溶液中进行:

卤代烃一般选用较为活泼的伯卤代烃(一级卤代烃)、仲卤代烃(二级卤代烃)以及烯丙型、苄基型卤代烃,也可用硫酸酯或磺酸酯。本法既可以合成对称醚,也可以合成不对称醚。
反应机理
反应一般是按SN2机理进行的:

反应实例

Wacker 反应
乙烯在水溶液中,在氯化铜及氯化钯的催化下,用空气氧化得到乙醛:

反应机理

Favorskii 重排
a-卤代酮在氢氧化钠水溶液中加热重排生成含相同碳原子数的羧酸;如为环状a-卤代酮,则导致环缩小。

如用醇钠的醇溶液,则得羧酸酯:

此法可用于合成张力较大的四元环。
反应机理

反应实例

Fries 重排
酚酯在Lewis酸存在下加热,可发生酰基重排反应,生成邻羟基和对羟基芳酮的混合物。重排可以在硝基苯、硝基甲烷等溶剂中进行,也可以不用溶剂直接加热进行。

邻、对位产物的比例取决于酚酯的结构、反应条件和催化剂等。例如,用多聚磷酸催化时主要生成对位重排产物,而用四氯化钛催化时则主要生成邻位重排产物。反应温度对邻、对位产物比例的影响比较大,一般来讲,较低温度(如室温)下重排有利于形成对位异构产物(动力学控制),较高温度下重排有利于形成邻位异构产物(热力学控制)。

反应机理

反应实例

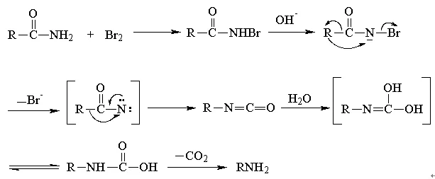
Hofmann重排(降解)
酰胺用溴(或氯)在碱性条件下处理转变为少一个碳原子的伯胺:

反应机理

反应实例

Knoevenagel反应
含活泼亚甲基的化合物与醛或酮在弱碱性催化剂(氨、伯胺、仲胺、吡啶等有机碱)存在下缩合得到a,b-不饱和化合物。
反应机理

反应实例

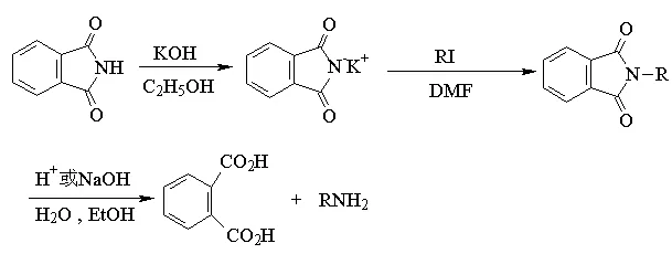
Gabriel 合成法
邻苯二甲酰亚胺与氢氧化钾的乙醇溶液作用转变为邻苯二甲酰亚胺盐,此盐和卤代烷反应生成N-烷基邻苯二甲酰亚胺,然后在酸性或碱性条件下水解得到一级胺和邻苯二甲酸,这是制备纯净的一级胺的一种方法。

有些情况下水解很困难,可以用肼解来代替:

反应机理
邻苯二甲酰亚胺盐和卤代烷的反应是亲核取代反应,取代反应产物的水解过程与酰胺的水解相似。

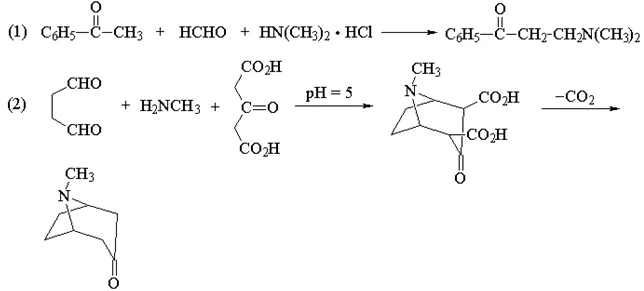
Mannich反应
含有a-活泼氢的醛、酮与甲醛及胺(伯胺、仲胺或氨)反应,结果一个a-活泼氢被胺甲基取代,此反应又称为胺甲基化反应,所得产物称为Mannich碱。

反应机理

反应实例

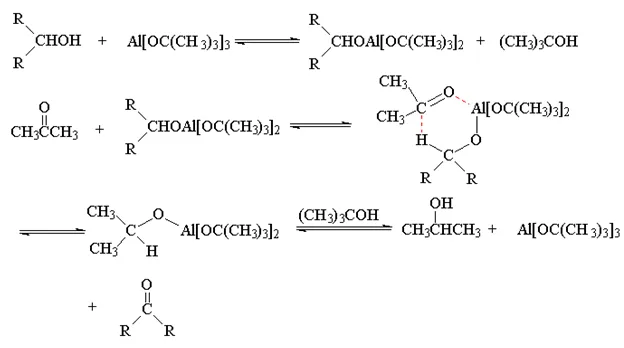
Oppenauer 氧化
仲醇在叔丁醇铝或异丙醇铝和丙酮作用下,氧化成为相应的酮,而丙酮则还原为异丙醇。这个反应相当于Meerwein-Ponndorf反应的逆向反应。
反应机理
反应实例

Pinacol-PinacoloneRearrangement 重排
当片呐醇类在稀H2SO4存在下加热脱水时发生特殊的分子内部的重排反应生成片呐酮。如用盐酸、草酸、I2/CH3COOH、CH3COOH等脱水-转位剂以代替H2SO4可得相同的结局:

反应机理
反应的关键是生成碳正离子:

反应实例

Reformatsky反应
醛或酮与a-卤代酸酯和锌在惰性溶剂中反应,经水解后得到b-羟基酸酯。

反应机理
首先是a-卤代酸酯和锌反应生成中间体有机锌试剂,然后有机锌试剂与醛酮的羰基进行加成,再水解:

反应实例

Reimer-Tiemann反应
酚与氯仿在碱性溶液中加热生成邻位及对位羟基苯甲酸。含有羟基的喹啉、吡咯、茚等杂环化合物也能进行此反应。

常用的碱溶液是氢氧化钠、碳酸钾、碳酸钠水溶液,产物一般以邻位为主,少量为对位产物。如果两个邻位都被占据则进入对位。不能在水中起反应的化合物可吡啶中进行,此时只得邻位产物。
反应机理
首先氯仿在碱溶液中形成二氯卡宾,它是一个缺电子的亲电试剂,与酚的负离子(Ⅱ)发生亲电取代形成中间体(Ⅲ),(Ⅲ)从溶剂或反应体系中获得一个质子,同时羰基的α-氢离开形成(Ⅳ)或(Ⅴ),(Ⅴ)经水解得到醛。

反应实例

酚羟基的邻位或对位有取代基时,常有副产物2,2-或4,4-二取代的环己二烯酮产生。例如:

Sandmeyer反应
重氮盐用氯化亚铜或溴化亚铜处理,得到氯代或溴代芳烃:

这个反应也可以用新制的铜粉和HCl或HBr来实现(Gattermann反应)。
反应机理

反应实例

Wittig反应
Wittig试剂与醛、酮的羰基发生亲核加成反应,形成烯烃:

反应机理

反应实例

Wagner-Meerwein 重排
当醇羟基的b-碳原子是个仲碳原子(二级碳原子)或叔碳原子(三级碳原子)时,在酸催化脱水反应中,常常会发生重排反应,得到重排产物:

反应机理

反应实例

来源:网络
编辑:医化club
夜雨聆风