乐于分享
好东西不私藏

中考数学10大常考压轴题(可下载打印)

中考数学10大常考压轴题(可下载打印)

资源下载见图片底部

资源介绍

电子版PDF文档

网盘下载链接详见页面底部

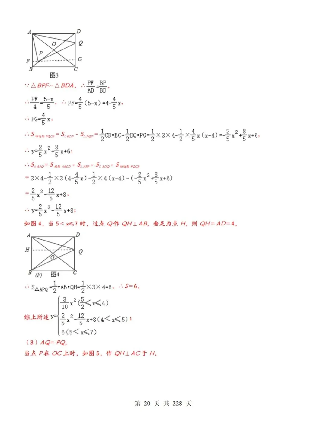
▼内容预览▼

      版面所限,此处仅展示部分内容
完整版电子版👇

获取完整电子版方式

👇

点击下方卡片关注
进入“瑶瑶妈妈爱学习”的后台
发送消息  资料下载 获取打印电子版方式

重要说明

版权声明:
本公众号分享的资源,均为免费公益性分享,仅供学习和教学使用,请勿用于商业用途。所有文件版权归原作者所有,如有侵权可以联系本人删除。本公众号尊重版权,有任何版权问题,可以直接在公众号留言,我看到后会回复。
本站文章均为手工撰写未经允许谢绝转载:夜雨聆风 » 中考数学10大常考压轴题(可下载打印)

猜你喜欢

  • 暂无文章