技术文章 | 绿色建筑设计软件暖通负荷模拟计算(中篇)

3
负荷的计算方法
3.4 室内热源散热引起的冷负荷
1、室内热源散热的构成:
· 工艺设备散热
· 照明散热
· 人体散热
2、室内热源散热的类型:
· 显热:因温差造成,以对流形式散出的称为瞬时冷负荷。
以辐射形式散出的成为先被围护结构或家具表面所吸收,然后再缓慢散出,形成滞后冷负荷,要采用冷负荷系数。
· 潜热:因水分凝结放热,为瞬时冷负荷。
一、设备散热形成的冷负荷
按下式计算:


1、电动设备
当工艺设备和电动机都在室内时:

当工艺设备在室内,而电动机不在室内:

当工艺设备不在室内,而只有电动机在室内时:



2、电热设备散热量
对无保温密闭罩,按下式计算

n4—考虑排风带走热量的系数,一般取0.5,其他符号同前。
3、电子设备
计算公式同(2-17)其中n2根据使用情况而定,计算时取1.0,一般仪表取0.5-0.9。
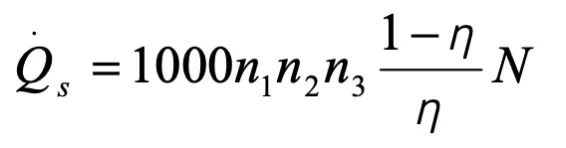
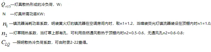
二、照明设备形成的冷负荷
特点:电压一定时,室内照明散热量不随时间变化,是稳定散热量,但以对流与辐射两种方式散热,仍采用冷负荷系数。
白炽灯:

黄火灯:

式中:

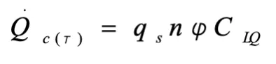
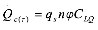
三、人体散热形成的冷负荷
1、影响人体散热因素:
性别、年龄、衣着、活动强度及周围环境条件(温、湿度等)。
2、特点:
潜热量和对流热形成瞬时冷负荷,辐射形成滞后冷负荷,采用冷负荷系数进行计算。
3、计算基础:
为设计计算方便,以成年男子散热量为计算基础,对不同功能建筑物中各类人员进行修正,引入群集系数,表2-12给出数据。

4、人体显热散热引起的冷负荷计算式为:


注:人员密集的场所(影院、剧院、会堂等)由于人体对围护结构和室内物品的辐射换热量相应减少,可取
=1.0。
5、人体显热散热引起的冷负荷计算式为:

–不同室温和劳动性质成年男子显热散热量,见表2-13
–群集系数,见表2-12


6、人体潜热散热引起的冷负荷计算式为:





3.5 湿负荷
1、湿源:人体散湿,敝开水池(横)表面散湿,地面积水,洗涤洗浴,工艺过程等。
2、湿负荷:为维持室内确定的空气含湿量需去除的湿量。
人体散湿量
人体散湿量按下式计算:




式中:


3.6 新风负荷
1、通风换气的作用:
保障良好的室内空气品质。
2、室外新鲜空气(简称新风)的处理:
夏季:室外空气焓值和温度比室内空气高,消耗冷量。
冬季:气温低,含湿量少,消耗热量和加湿量。
3、新风能量消耗比重:
空调新风能耗约占总能耗25%-30%,高级宾馆和办公建筑可高达40%耗能可观。
4、新风量确定原则:
满足空气品质前提下,尽量选较小的必要新风量。
夏季空调新风冷负荷按下式计算:

式中:


式中:



3.7 空调室内冷负荷与制冷系统的冷负荷

1. 得热量与冷负荷是两个概念不同而又有关联的量:
房间得热量:指某一时刻由室内和室外热源进入房间的总和。
冷负荷:维持室内温度恒定,在某一时刻应从房间除去的热量。
差别所在:瞬间得热量中,以对流方式传递的显热和潜热热量直接放热给空气,构成瞬时冷负荷。
辐射方式传热量,是为围护结构和物体吸收并贮存,然后放出。
瞬时得热量≠瞬时冷负荷;只有当得热量中不存在辐射方式热量或结构和物体无蓄热能时才相等。
2、室内冷负荷包括:
①由于室内外温差和太阳辐射,通过围护结构使入室内的热量形成的冷负荷。
②人体散热,散温形成的冷负荷。
③灯光照明散热形成的冷负荷。
④其它设备散热形成的冷负荷。
上述空调室内负荷是确定空调送风处理过程,系统设定和设备密度的依据之一。
3、新风冷负荷:处理新风的冷负荷
一个制冷系统通常为一幢建筑物或多幢建筑物的许多个房间的空调系统服务,制冷系统的总装机冷量并不是所有各空调房间最大冷负荷的叠加。因为各空调房间的朝向、工作时间并不一致,他们出现最大冷负荷的时刻也不会一致,简单地将各大房间最大冷负荷叠加势必造成制冷系统装机冷量过大。
应对制冷系统所服务的空调房间的冷负荷逐时值进行叠加,以其中出现的最大冷负荷作为制冷系统选择设备的依据。——整个大楼的总冷负荷。
单个房间的空调设备冷量以该房间的最大冷负荷做为房间设备的选择依据。——各个房间的冷负荷。
制冷系统冷负荷QJ(机器负荷)的确定
确定空调用制冷系统的负荷时,应考虑空调系统所服务房间的同时使用系数,制冷装置及冷水系统的冷量损失,制冷设备运行一段时间后冷量产出减少,传热效率降低等因素的影响。
QJ=KτKfKηKbQO
①同时使用系数Kτ,视建筑物的使用性质、功能、规模、等级及经营管理等因素而定,取值在0.6~1.0之间。
②冷量损失附加系数Kf,与空调系统的规模、设备类型、管道长短有关。用冷水间接冷却空气的系统,取值为1.10~1.15;直接蒸发式表冷器系统,取值为1.05~1.10。
③效率降低修正系数Kη,一般可取1.05~1.10,或者采用设备生产厂家提供的数值。如果厂家给出的设备制冷量已经考虑了 冷量产出减少及传热效率降低的影响,则应取Kη=1.00。
④事故备用量修正系数Kb的取值与空调用制冷机组的安装台数有关,采用冷水机组作冷源的中央空调系统,通常都应选用两台以上机组。假若有某台机组在高峰负荷期间出现故障而停机时,设计的备用量应满足其他机组能维持空调系统所需冷负荷是75%左右。于是,在设2台、3台或4台以上机组的情况下,备用量修正系数Kb可分别取值为1.40、1.12和1.00。
注:现“设计规范”规定,选择制冷机时台数不宜过多,且一般不考虑备用。在不考虑备用时,取Kb=1.00,并应选择两台同冷量的机组分担所需制冷系统负荷。
· END ·
网址:https://www.yjk.cn/
服务热线:400-021-0116
技术支持邮箱:support@yjk.cn

夜雨聆风