点击蓝字 · 关注我们
若需下载
请拉到文章末尾
请大家多多关注
百度网盘总览

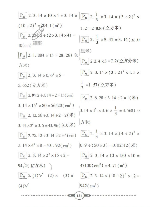
部分人教版及答案预览








部分北师大版及答案预览








部分苏教版及答案预览








部分冀教版及答案预览








(免责声明:“甜城小学数学乐教苑”旨在帮助更多的老师、家长和孩子,分享更多教育资讯,尊重原创并对原创者的文章表示肯定和感谢,相关文章均来自网络搜索,某些文章无法找到详细作者以明确出处请见谅。原作版权归原作者所有,如有侵权,请及时联系处理,我们将立即更正和删除相关内容。本公众号拥有对此声明的最终解释权。)

扫码关注我们
回复“0417Y”
获取提取码
即可下载
往期精彩推荐
▷【可下载】小学数学六年级下册知识点汇总(内含人教版、北师版、苏教版、青岛版,Word可编辑排版)
▷【可下载】小学数学五年级下册知识点汇总(内含人教版、北师版、苏教版、青岛版,Word可编辑排版)
▷【可下载】小学数学四年级下册知识点汇总(内含人教版、北师版、青岛版、苏教版,Word可编辑排版)
▷【可下载】小学数学三年级下册知识点汇总(内含人教版、北师版、青岛版、苏教版,Word可编辑排版)
排版:杨诗怡
初审:吴凤莲
终审:万 萍
好消息!好消息!视频号手把手教你
如何使用百度网盘下载“甜城小学数学乐教苑”的课程资源!

你们点点“分享”,给我充点儿电吧~
夜雨聆风