文章简介


标题:Loading-unloading responses of non-persistent flawed granite subjected to cyclicdisturbances
JCR分区:Q1
影响因子:10.2
原文链接:
https://doi.org/10.1016/j.jrmge.2025.08.049
录用日期:2025-8-21
1
研究背景
深部岩体受构造运动作用广泛发育软弱结构面,其离散分布特征加剧了岩体的固有非均质性与各向异性,同时弱化了岩体的力学性能。非贯通裂隙的空间分布特征对裂隙岩体在荷载扰动下的结构响应起决定性作用,系统性影响岩体的力学特性与破裂行为。隧道开挖等地下工程施工产生的振动波,会对围岩及开挖断面施加多种形式的低频循环荷载。复杂力学边界条件下,应力集中与波传播的耦合作用使含裂隙岩体呈现出复杂的应力路径、模糊的损伤机制与多变的破坏特征。因此,明晰含非贯通裂隙岩体的损伤演化过程,探究其破裂机制与能量演化特征,是评价动静组合荷载扰动下深部地下工程安全性与稳定性的重要基础。
本研究结合深部隧道围岩的应力状态,设计三种循环扰动荷载形式(纯循环荷载I型、循环荷载-围压分级卸荷II型、分级递增循环荷载III型),采用改进的三轴加载系统,探究含非贯通裂隙花岗岩的力学行为与破坏机制;基于热力学原理,分析含裂隙岩体的全程能量演化规律与能量释放特征;运用最大切向应力准则建立张开裂隙的断裂力学模型,阐明裂纹起裂行为对围压与裂隙倾角的内在响应机制,并分析被动围压作用下岩体的局部成核破坏机制;基于研究成果,提出深部地下工程的防灾减灾方法。
2
研究过程
试验所用花岗岩试样取自中国双江口水电站地下厂房,为减小试验偏差,所有试样均取自同一岩块,保证试样矿物成分一致。扫描电镜(SEM)结果显示,花岗岩内部离散分布着微裂纹与微孔。本研究采用线切割技术在完整岩样中预制长度30mm、宽度0.4mm的非贯通裂隙,研究选取 60° 裂隙倾角作为基础试验工况之一。试验在电液伺服液压材料试验机(MTS795)上完成,该设备最大轴向加载能力2750kN,最大围压120MPa,最大疲劳荷载2500kN,加卸载过程中应变率调节范围为10⁻⁶~10⁻¹s⁻¹,疲劳加载频率范围为0~70Hz。

含单裂隙预制花岗岩试样及微观结构特征:(a)含单裂隙预制试样;(b)X射线衍射(XRD)测试结果;(c)花岗岩扫描电镜(SEM)图像
如下图所示,不同类型的循环扰动荷载试验分为三个阶段进行,阶段I(OA 段)与阶段II(BC 段)为常规三轴试验加载路径,阶段III(CN 段)为扰动荷载加载路径。阶段I通过应力控制系统将围压以0.05MPa/s的速率升至40MPa;阶段II通过位移控制系统以0.002mm/s 速率施加轴压,直至轴压达到平均峰值应力的85%(下图C点)。阶段 III 为不同类型扰动荷载的加载阶段,加载路径存在差异。

加卸载路径示意图:(a)纯循环扰动荷载;(b)循环荷载-围压分级卸荷扰动;(c)分级递增循环扰动荷载
通过对比分析轴向与径向应力-应变曲线,将花岗岩试样的力学变形阶段划分为三个阶段:轴向变形阶段(仅发生轴向变形)、裂纹发展阶段(微裂纹快速萌生)、滑移型破裂阶段(微裂纹贯通并伴随应力下降)。
I型扰动荷载下,含裂隙岩体在预加载阶段的偏应力-轴向应变曲线呈线性增长趋势,无明显径向变形,表明该阶段岩样仅发生轴向变形,预制张开裂隙受压缩作用,试样处于轴向变形阶段。下图b为II型扰动荷载下含裂隙花岗岩试样的偏应力-应变曲线,表明围压对岩石力学性能影响显著,即使在低围压条件下,试样仍表现出明显的延性特征。如下图c所示,III型扰动荷载下,裂纹逐渐贯通直至形成贯穿性破坏,引发应力骤降与岩体瞬时结构破坏。
应力-应变关系能够反映三轴加载下岩样的力学性能与本构行为。如下图d所示,II 型扰动荷载下含裂隙岩样的应变小于 I 型扰动荷载工况,表明相同循环荷载下,围压分级卸荷会弱化含裂隙岩体的力学性能。相同围压条件下,分级递增循环荷载使岩样的应力水平显著提高,且峰值应力对应的应变更小,表明分级递增循环荷载能提高岩体的损伤累积效率。

偏应力-应变曲线:(a)I型扰动荷载;(b)II型扰动荷载;(c)III型扰动荷载;(d)应力-应变特征值统计图
为全面分析不同扰动荷载下含裂隙岩体的变形特征,绘制应变-时间曲线。与常规岩石体积应变-时间曲线不同,本研究中t=0s对应加载阶段II中H点的应力状态,此时σ₁=σ₂=σ₃=40MPa,因此应变-时间曲线未呈现出三轴加载初期岩体内微裂纹闭合与体积压缩的阶段,加载初期体积应变不为负值。
本研究通过体积应变特征值揭示了三轴扰动荷载下含裂隙岩体轴向与径向应变的内在关系,该特征反映了含裂隙岩体在外部荷载作用下的被动协同变形规律。观察发现,II型扰动荷载下,体积应变达到特征值的时间最长。体积应变降至零点标志着岩体脱离剪胀阶段,且损伤累积进入后期阶段。III 型扰动荷载下岩体最快达到体积应变零点,表明其损伤累积效率显著高于I型扰动荷载;相反,II型扰动荷载下岩体达到体积应变零点所需的循环次数与时间最多,表明围压条件对含裂隙岩体的损伤累积效率影响显著,低围压会大幅降低岩体的损伤累积效率。此外,由于II型扰动荷载下岩样的应力水平更低,其最终损伤程度小于其他扰动荷载工况。
当体积应变为负值时,岩样体积发生收缩。I型与III型扰动荷载下,含裂隙岩样在失稳破坏前即刻发生体积收缩;而II型扰动荷载下,岩样的体积应变仅在失稳破坏临近时骤降至负值,表明II型扰动荷载下含裂隙岩体的破裂机制与破坏路径与其他加载工况存在本质差异。

不同扰动荷载下的应变-时间曲线:(a)I型扰动荷载;(b)II型扰动荷载;(c)III型扰动荷载
裂纹起裂角是决定含裂隙岩体最终破坏模式的关键因素,稳定力学条件下,裂纹起裂角决定了宏观裂纹的扩展路径。下图a为含预制张开裂隙岩样的加载过程示意图,图b为张开裂隙面的荷载分布细节。图c为轴向变形阶段含裂隙岩样的位移变形。

试样应力与破裂分析示意图:(a)加载方式;(b)裂隙面应力分布;(c)破裂行为
下图a纯循环荷载与下图b分级递增循环荷载工况下,试样的破坏形态相似:预加载阶段,反翼裂纹从裂隙尖端持续扩展至试样端部;当偏应力达到150MPa时,预制张开裂隙被压密闭合,随后共面裂纹贯通形成贯穿性破坏,同时径向应变增大。纯循环荷载下共面裂纹的扩展方向呈直线型,而分级递增循环荷载下共面裂纹的扩展方向具有变异性,表明荷载扰动幅值对共面裂纹的扩展行为影响显著。
深部岩土工程受复杂构造应力场的显著影响,剪切型反翼开裂是施工扰动下岩体的基础破裂模式,共面开裂与翼开裂并非独立发生,而是作为应力释放的互补路径。I型与III型扰动荷载下,试样沿张开裂隙形成轴对称的近似V型损伤区,破坏模式以剪切破坏为主;而II型扰动荷载下,试样的破坏模式表现为剪-拉复合破坏。

不同扰动荷载下试验试样的最终破坏模式:(a)I型扰动荷载;(b)II型扰动荷载;(c)III型扰动荷载
含裂隙岩体的破坏始于裂隙尖端的微裂纹萌生,经裂纹贯通形成局部损伤,最终导致结构失稳。从能量演化角度分析,岩石三轴动静扰动荷载试验的本质是能量持续积聚并伴随微量耗散,直至能量完全耗散与释放的过程。
与单调荷载下能量持续积聚的相对简单过程不同,循环扰动荷载下岩体的能量积聚效率显著低于单调荷载工况。下图为单循环加载路径示意图,其中ABC为应变加载路径,能量密度可通过应力-应变曲线的积分计算获得。

单循环加载路径示意图
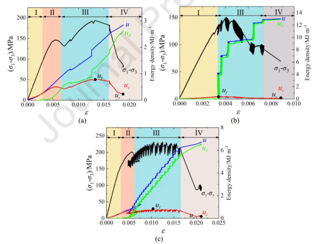
利用三轴试验记录的应力-应变数据计算试验过程中的能量演化规律,结果如下图所示。根据不同扰动荷载下岩体的能量积聚与耗散过程,将能量演化划分为四个阶段:阶段I弹性应变能积聚阶段、阶段II能量微量耗散阶段、阶段III能量快速耗散阶段、阶段IV弹性应变能释放阶段。

不同扰动荷载下试验试样的能量演化过程:(a)I型扰动荷载;(b)II型扰动荷载;(c)III型扰动荷载
加载初期,弹性应变能的积聚取决于岩石材料的储能特性;达到峰值后,弹性应变能的变化受损伤累积与破裂演化的控制。作为反映岩体损伤演化的特征参数,扰动阶段弹性应变能的释放速率越快,岩体的破坏进程越迅速。
下图为试验过程中弹性应变能密度、弹性应变能密度演化速率与弹性能占比随时间的变化规律。

不同扰动荷载下试验试样的能量释放特征:(a)I型扰动荷载;(b)II型扰动荷载;(c)III型扰动荷载
下图为不同扰动荷载下弹性应变能密度的特征值,可见围压卸荷效应使含裂隙岩样的峰值弹性应变能密度始终处于较低水平。

不同扰动荷载下弹性能密度特征值
当裂隙倾角β=30°时,求得不同围压下的裂纹起裂角,其分布规律如下图所示。裂隙倾角一定时,裂纹起裂角与围压之间存在较强的非线性函数关系,裂纹起裂角随围压的增大逐渐增大。

裂纹起裂角与围压的关系
如下图所示,加载初期,附加被动围压较小,裂纹在特定范围内萌生;随着荷载的逐步增大,试样变形加剧,附加被动围压显著增大。

被动围压下含裂隙岩体的破裂行为
由下图可知,围压与裂隙倾角均会显著影响裂纹起裂角;考虑岩石的非均质性,围压增大引发的裂纹起裂角变化相对较小,但刚性边界条件下,被动围压会使含裂隙岩体内的微裂纹分布更为复杂,同时伴随破坏路径的变异性;裂隙倾角β对裂纹起裂角的影响则更为直观。

裂纹起裂角与裂隙倾角β的关系
本研究揭示了施工扰动荷载下含裂隙岩体的破裂机制,并进一步分析了非贯通裂隙的扩展路径,为深部地下工程的防灾减灾提供了理论基础。下图b为不同掌子面分步开挖过程中,III型扰动荷载下裂隙A的破裂面分布规律,对于可能导致围岩发生滑移破裂的破裂面,需采取加固措施。垂直于结构面布置锚杆,可优化正应力的施加效果,进而提高破裂面的抗剪强度;针对性的锚杆布置方式能促进围岩的应力协同重分布,有效降低剪切滑移破坏的发生概率,同时提升岩体的整体稳定性。
下图c为II型扰动荷载下裂隙B的破裂行为,富水条件下,不利地质体在施工扰动作用下易发育宏观破裂面,进而引发突水突泥灾害。基于探测结果,可及时采取超前注浆措施固结碎裂岩块,形成注浆帷幕,有效阻断地下水渗流路径。此外,开挖区与围岩之间形成的贯穿性破裂面可能引发洞室内岩崩灾害,为保障施工安全,需在潜在破裂面处采取超前支护措施。
综上,含裂隙岩体的力学响应特征研究成果可直接应用于地下洞室的开挖与加固方案设计,大幅提升深部地下工程防灾减灾的及时性与可靠性。

非贯通裂隙岩体破裂行为的工程应用:(a)非贯通裂隙分布示意图;(b)裂隙A的加固处理措施;(c)裂隙B的加固处理措施
3
核心结论
3.1
相同循环荷载条件下,围压分级卸荷会显著劣化含裂隙岩样的力学性能,其峰值应力仅为恒围压条件下的77.5%;相反,分级递增循环荷载能大幅提升含裂隙岩样的承载能力,峰值应力较恒循环扰动荷载条件下提高19.3%。
3.2
三轴扰动荷载下,含裂隙岩样的裂纹扩展路径具有可预测性,剪切型反翼裂纹是基础破裂模式;共面裂纹与翼裂纹不会独立萌生,而是与其他类型裂纹协同发育,作为应力释放的补充路径;值得注意的是,翼裂纹仅在围压卸荷条件下萌生。
3.3
40MPa恒围压条件下,扰动荷载类型对岩体破坏模式无显著影响,含裂隙花岗岩试样沿张开裂隙形成近似V型破坏区,破坏模式以剪切破坏为主;而围压卸荷会使含裂隙花岗岩试样呈现复杂的剪-拉复合破坏模式。
3.4
围压对含裂隙花岗岩试样的储能特性影响显著,围压分级卸荷条件下,试样的峰值弹性应变能密度降至恒围压条件下的约50%;此外,分级递增扰动荷载能有效加剧含裂隙岩样的损伤程度。
3.5
裂纹起裂角随围压呈非线性增大,随裂隙倾角β的增大逐渐减小;被动围压作用下,次生裂纹的贯通与扩展区域逐步向内收缩,导致花岗岩沿原生裂隙发生局部成核破坏。
免责声明:素材来源于网络,仅供学术交流。由于小编水平有限,文献解读如有疏漏、错误之处还请各位读者批评指正。
夜雨聆风