乐于分享
好东西不私藏

软件设计师-2019年下半年综合知识真题解析【上篇】

软件设计师-2019年下半年综合知识真题解析【上篇】
【第 1 题】(题型:选择题)
题目:在 CPU 内外常需设置多级高速缓存 (Cache), 主要目的是 (1) 。
A. 扩大主存的存储容量
B. 提高 CPU 访问主存数据或指令的效率
C. 扩大存储系统的存量
D. 提高 CPU 访问内外存储器的速度
【答案】B
Cache 是位于 CPU 和主存之间的高速缓冲存储器,容量小但速度远高于主存。其核心原理是利用程序的局部性原理,将 CPU 近期可能频繁访问的数据和指令暂存到 Cache 中,让 CPU 优先从 Cache 获取数据,避免频繁访问速度较慢的主存,从而提高 CPU 访问主存数据或指令的效率。
A、C 选项错误:Cache 不负责扩大存储容量,只是主存的高速缓存;
D 选项错误:Cache 仅优化 CPU 与主存之间的访问,不涉及外存储器。
【第 2 题】(题型:选择题)
题目:某系统的可靠性结构框图如下图所示,假设部件 1、2、3 的可靠度分别为 0.90、0.80、 0.80 (部件 2、3 为冗余系统) 若要求该系统的可靠度不小于 0.85, 则进行系统设计时,部件 4 的可靠度至少应为 (2)。
A. 0.85/(0.9*(1-0.20.2))
B. 0.85/(0.9(0.8+0.8-0.80.8))
C. 0.85/(0.9(1-0.80.8))
D. 0.85/(0.9(0.8*0.8))
【答案】A
【解析】
首先计算系统的可靠度:
部件 2 和 3 是冗余系统(并联结构),其可靠度为:1 - (1-0.8)*(1-0.8) = 1 - 0.2*0.2 = 0.96
部件 1、并联系统、部件 4 为串联结构,总可靠度公式为:R总 = R1 * R23 * R4
已知 R 总≥0.85,R1=0.9,R23=0.96,代入得:0.85 ≤ 0.9 * 0.96 * R4
求解 R4:R4 ≥ 0.85/(0.9*0.96) = 0.85/(0.9*(1-0.2*0.2)),对应选项 A。
【第 3 题】(题型:选择题)
题目:计算机运行过程中,进行中断处理时需保存现场,其目的是 (3) 。
A. 防止丢失中断处理程序的数据
B. 防止对其他程序的数据造成破坏
C. 能正确返回到被中断的程序继续执行
D. 能为中断处理程序提供所需的数据
【答案】C
【解析】
中断是指 CPU 暂停当前程序执行,转而去处理紧急事件(如硬件故障、外部请求)的过程。保存现场是指将当前程序的程序计数器、寄存器状态等关键信息存储到栈中,当中断处理完成后,CPU 可以通过恢复这些现场信息,准确回到被中断的程序断点处继续执行,保证程序执行的连续性。
A、B、D 选项均不是保存现场的核心目的,中断处理程序的数据保护、其他程序数据保护由操作系统的内存管理和中断机制共同保障。
【第 4-5 题】(题型:选择题)
题目:内存按字节编址,地址从 A0000H 到 CFFFFH 的内存,共有 (4) 字节,若用存储容量为 64K×8bit 的存储器芯片构成该内存空间,至少需要 (5) 片。
(4) A.80KB  B.96KB  C.160KB  D.192KB
(5) A.2  B.3  C.5  D.8
【答案】(4) D;(5) B
【解析】
第 (4) 问计算:
内存地址范围是 A0000H 到 CFFFFH,总字节数为:CFFFFH - A0000H + 1 = 30000H
将十六进制 30000H 转换为十进制:3*16^4 = 3*65536 = 196608字节,即196608/1024 = 192KB,对应选项 D。
第 (5) 问计算:
每片芯片容量为 64K×8bit,即 64KB(8bit=1 字节)
总容量 192KB,所需芯片数为:192KB / 64KB = 3片,对应选项 B。
【第 6 题】(题型:选择题)
题目:执行指令时,将每一条指令都分解为取指、分析和执行三步,已知取指时间 t 取指 = 5△t, 分析时间 t 分析 = 2△t, 执行时间 t 执行 = 3△t 如果按照 [执行] k, [分析] k+1, [取指] k+2 重叠的流水线方式执行指令,从头到尾执行完 500 条指令需 (6) △t。
A.2500  B.2505  C.2510  D.2515
【答案】B
【解析】
流水线执行时间计算公式为:第一条指令执行时间 + (指令数-1)*流水线周期
第一条指令的执行时间为三步时间之和:5+2+3=10△t
流水线周期是流水线中耗时最长的步骤,即取指的 5△t
总执行时间为:10 + (500-1)*5 = 10 + 499*5 = 10+2495=2505△t,对应选项 B。
【第 7 题】(题型:选择题)
题目:下列协议中,与电子邮箱服务的安全性无关的是_ (7) 。
A.SSL  B.HTTPS  C.MIME  D.PGP
【答案】C
【解析】
SSL(安全套接层):用于在传输层对数据加密,可保障邮箱数据传输安全;
HTTPS:HTTP+SSL,用于网页版邮箱的安全访问;
MIME(多用途互联网邮件扩展):仅用于定义邮件的内容格式(如支持附件、多媒体),不涉及安全加密;
PGP(Pretty Good Privacy):用于邮件内容的端到端加密,保障邮件内容安全。
【第 8 题】(题型:选择题)
题目:下列算法中,不属于公开密钥加密算法的是_(8) 。
A.ECC  B.DSA  C.RSA  D.DES
【答案】D
【解析】
公开密钥加密算法(非对称加密)使用一对公钥和私钥,而对称加密算法使用同一密钥加密和解密:
ECC(椭圆曲线加密)、DSA(数字签名算法)、RSA 均为非对称加密算法;
DES(数据加密标准)是对称加密算法,不属于公开密钥加密算法。
【第 9 题】(题型:选择题)
题目:Kerberos 系统中可通过在报文中加入_(9) 来防止重放攻击。
A. 会话密钥   B. 时间戳   C. 用户 ID   D. 私有密钥
【答案】B
【解析】
重放攻击是指攻击者捕获合法报文后,重复发送该报文以冒充合法用户的攻击方式。Kerberos 系统通过在报文中加入时间戳和生存期,验证报文的时效性,若报文的时间戳超出有效范围则拒绝处理,从而防止重放攻击。
会话密钥、用户 ID、私有密钥均无法直接防止重放攻击,时间戳是 Kerberos 中针对重放攻击的核心防御手段。
【第 10-11 题】(题型:选择题)
题目:某电子商务网站向 CA 申请了数字证书,用户可以通过使用 (10) 验证 (11) 的真伪来确定该网站的合法性。
(10) A.CA 的公钥 B.CA 的签名 C. 网站的公钥 D. 网站的私钥
(11) A.CA 的公钥 B.CA 的签名 C. 网站的公钥 D. 网站的私钥
【答案】(10) A;(11) B
【解析】
数字证书的验证流程:
CA(证书颁发机构)用自己的私钥对网站的公钥和相关信息进行签名,生成数字证书;
用户通过 CA 的公钥(可从公开渠道获取)验证证书中 CA 签名的真伪;
验证通过后,即可确认证书中网站公钥的合法性,进而与网站进行安全通信。
【第 12 题】(题型:选择题)
题目:李某受非任职单位委托,利用该单位实验室,实验材料和技术资料开发了一项软件产品,对该软件的权利归属,表达正确的是 (12) 。
A. 该软件属于委托单位
B. 若该单位与李某对软件的归属有特别的约定,则遵从约定;无约定的,原则上归属于李某
C. 取决于该软件是否属于单位分派给李某的
D. 无论李某与该单位有无特别约定,该软件属于李某
【答案】B
【解析】
根据《计算机软件保护条例》,接受他人委托开发的软件,其著作权的归属由委托人与受托人签订书面合同约定;无书面合同或者合同未作明确约定的,其著作权由受托人享有。本题中李某与单位属于委托开发关系,因此优先遵从约定,无约定则归受托人李某。
【第 13 题】(题型:选择题)
题目:李工是某软件公司的软件设计师,每当软件开发完成均按公司规定申请软件著作权,该软件的著作权_(13) 。
A. 应由李工享有
B. 应由公司和李工共同享有
C. 应由公司享有
D. 除署名权以外,著作权的其他权利由李工享有
【答案】C
【解析】
根据《计算机软件保护条例》,公民在单位任职期间所开发的软件,若用于执行本职工作,或利用单位的物质技术条件开发并由单位承担责任的,属于职务软件,其著作权由单位享有。本题中李工是公司员工,按公司规定开发软件,属于职务作品,著作权由公司享有。
【第 14 题】(题型:选择题)
题目:某考试系统的部分功能描述如下,审核考生报名表,通过审核的考生登录系统,系统自动为其生成一套试题;考试中心提供标准答案;阅卷老师阅卷,提交考生成绩;考生查看自己的成绩。若用数据流图对该系统进行建模,则 (14) 不是外部实体。
A. 考生  B. 考试中心  C. 阅卷老师  D. 试题
【答案】D
【解析】
外部实体是指系统之外与系统进行交互的人、组织或其他系统:
考生、考试中心、阅卷老师均为与系统交互的外部实体;
试题是系统生成的输出数据,属于系统内部的数据对象,不是外部实体。
【第 15 题】(题型:选择题)
题目:以下关于软件设计原则的叙述中,不正确的是 (15) 。
A. 系统需要划分多个模块,模块的规模越小越好
B. 考虑信息隐藏,模块内部的数据不能让其他模块直接访问
C. 模块独立性要好,尽可能高内聚和低耦合
D. 采用过程抽象和数据抽象设计
【答案】A
【解析】
软件设计的核心原则包括:
信息隐藏:模块内部的数据和实现细节对其他模块不可见,选项 B 正确;
高内聚低耦合:提高模块独立性,选项 C 正确;
抽象原则:通过过程抽象和数据抽象简化设计,选项 D 正确;
模块规模适中:并非越小越好,过小的模块会导致模块数量过多,增加模块间的耦合度,降低系统可维护性,选项 A 错误。
【第 16 题】(题型:选择题)
题目:某模块中各个处理元素都密切相关于同一功能且必须顺序执行,前一处理元素的输出就是下一处理元素的输入,则该模块的内聚类型为 (16) 内聚。
A. 过程   B. 时间   C. 顺序   D. 逻辑
【答案】C
【解析】
内聚类型的定义:
过程内聚:模块内的处理元素相关且按特定顺序执行,但不一定有输入输出关系;
时间内聚:模块内的处理元素在同一时间执行(如初始化模块);
顺序内聚:模块内的处理元素顺序执行,且前一个的输出是后一个的输入,符合题目描述;
逻辑内聚:模块内的处理元素逻辑上相关,但功能不明确。
【第 17-18 题】(题型:选择题)
题目:下图是一个软件项目的活动图,其中顶点表示项目里程碑,连接顶点的边表示包含的活动。边上的权重表示活动的持续时间 (天), 则里程碑 (17) 不在关键路径上。在其他活动都按时完成的情况下,活动 BE 最多可以晚 (18) 天开始而不影响工期。
(17) A.B  B.C  C.D  D.J
(18) A.0  B.1  C.2  D.3
【答案】(17) B;(18) C
【解析】
本题考查软件项目管理的基础知识。
活动图是描述一个项目中各个工作任务相互依赖关系的一种模型,项目的很多重要特性可以通过分析活动图得到,如估算项目完成时间,计算关键路径和关键活动等。
根据上图计算出关键路径为ABFJL和 ADGIJL,其长度为22天。里程碑C不在关键路径上。活动 BE 不在关键路径上,最早开始时间为第4天,最晚开始时间为第6天,因此该活动的松弛时间为6-4=2天。
【第 19 题】(题型:选择题)
题目:以下关于软件风险的叙述中,不正确的是 (19) 。
A. 风险是可能发生的事件
B. 如果发生风险,风险的本质、范围和时间可能会影响风险所产生的后果
C. 如果风险可以预测,可以避免其发生
D. 可以对风险进行控制
【答案】C
【解析】
软件风险是指可能对软件项目产生负面影响的潜在事件:
风险具有可能性,是可能发生的事件,选项 A 正确;
风险的影响程度取决于其本质、范围和时间,选项 B 正确;
风险可以预测,但只能通过风险控制措施降低其发生概率或影响程度,无法完全避免,选项 C 错误;
风险可以通过风险识别、分析、应对等过程进行控制,选项 D 正确。
【第 20-21 题】(题型:选择题)
题目:将编译器的工作过程划分为词法分析,语法分析,语义分析,中间代码生成,代码优化 和目标代码生成时,语法分析阶段的输入是 (20) 。若程序中的括号不配对,则会在 (21) 阶段检查出错误。
(20) A. 记号流 B. 字符流 C. 源程序 D. 分析树
(21) A. 词法分析 B. 语法分析 C. 语义分析 D. 目标代码生成
【答案】(20) A;(21) B
【解
第 (20) 问:编译器各阶段的输入输出
词法分析的输入是源程序的字符流,输出是记号流(如关键字、标识符、运算符等);
语法分析的输入是词法分析生成的记号流,输出是分析树或语法树。
第 (21) 问:错误检查阶段
词法分析仅检查字符级的错误(如非法字符);
语法分析检查程序的语法结构是否符合语言规范,括号不配对属于语法结构错误,在语法分析阶段检查;
语义分析检查语义是否合法(如变量未定义)。
【第 22 题】(题型:选择题)
题目:表达式 (a-b)(c+d) 的后缀式 (逆波兰式) 是 (22)。
A.abcd-+ B.ab-C+d* C.abc-d* D.ab-cd+*
【答案】D
【解析】
后缀式(逆波兰式)的规则是将运算符写在操作数之后:
先处理括号内的a-b,后缀式为ab-;
再处理括号内的c+d,后缀式为cd+;
最后处理乘法运算,将两个后缀式与运算符结合,得到ab-cd+*。
【第 23-25 题】(题型:选择题)
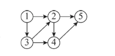
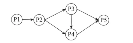
题目:进程 P1、P2、P3、P4 和 P5 的前趋图如下所示:
若用 PV 操作控制这 5 个进程的同步与互斥的程序如下,那么程序中的空①和空②处应分别为 (23) ; 空③和空④处应分别为 (24) ; 空⑤和空⑥处应分别为_(25) 。
(23) A.V (S1) 和 P (S2) P (S3) B.P (S1) 和 V (S1) V (S2)
C.V (S1) 和 V (S2) V (S3) D.P (S1) 和 V (S1) P (S2)
(24) A.V (S4) V (S5) 和 P (S3) B.V (S3) V (S4) 和 V (S5)
C.P (S4) P (S5) 和 V (S5) D.P (S4) P (S5) 和 V (S4)
(25) A.P (S6) 和 P (S5) V (S6) B.V (S5) 和 V (S5) V (S6)
C.P (S6) 和 P (S5) P (S6) D.V (S6) 和 P (S5) P (S6)
【答案】(23) C;(24) A;(25) D
解析
根据前驱图,P1进程运行完需要利用V操作V(S1)通知 P2 进程,所以空①应填V(S1)。P2 进程运行完需要利用V操作V(S2)、V(S3)分别通知 P3、P4 进程,所以空②应填V(S2)V(S3)。
根据前驱图,P3 进程运行完需要利用V操作V(S4)、V(S5)分别通知 P4、P5进程,故空③应为填写V(S4)V(S5)。P4需要等待 P2 和 P5进程的通知,需要执行2个P操作,由于P4进程的程序中执行前有1个P操作P(S4),故空④应为填写P(S3)。
根据前驱图,P4进程执行完需要通知P5进程,故 P4进程应该执行1个V操作,即空⑤应填V(S6)。P5进程运行前需要等待P3和P4进程的通知,需要执行2个P操作,故空⑥应填写P(S5)和P(S6)。
【第 26 题】(题型:选择题)
题目:以下关于 I/O 软件的叙述中,正确的是 (26) 。
A.I/O 软件开放了 I/O 操作实现的细节,方便用户使用 I/O 设备
B.I/O 软件隐藏了 I/O 操作实现的细节,向用户提供的是物理接口
C.I/O 软件隐藏了 I/O 操作实现的细节,方便用户使用 I/O 设备
D.I/O 软件开放了 I/O 操作实现的细节,用户可以使用逻辑地址访问 I/O 设备
【答案】C
【解析】
I/O 软件的核心设计目标是设备独立性,即隐藏 I/O 设备的硬件细节,向用户和上层软件提供统一的逻辑接口,方便用户使用 I/O 设备,无需关心设备的物理实现细节。因此 I/O 软件是隐藏实现细节,提供逻辑接口,选项 C 正确。
【第 27 题】(题型:选择题)
题目:在磁盘调度管理中通常 (27) 。
A. 先进行旋转调度,再进行移臂调度
B. 在访问不同柱面的信息时,只需要进行旋转调度
C. 先进行移臂调度,再进行旋转调度
D. 在访问同一磁盘的信息时,只需要进行移臂调度
【答案】C
【解析】
磁盘调度的顺序:
移臂调度:将磁头移动到目标柱面,这是磁盘访问的主要耗时部分;
旋转调度:等待目标扇区旋转到磁头下方。
因此磁盘调度通常先进行移臂调度,再进行旋转调度,选项 C 正确。
【第 28 题】(题型:选择题)
题目:假设磁盘臂位于 15 号柱面上,进程的请求序列如下表表示,如果采用最短移臂调度算法,那么系统的响应序列应为_(28) 。
A.①②③④⑤⑥ B. ⑤①②④③⑥
C.②③④⑤①⑥ D. ④②③⑤①⑥
【答案】B
【解析】
最短移臂调度算法(SSTF)的原则是选择与当前磁头位置距离最近的柱面:
当前磁头在 15 号柱面,最近的是 12 号柱面(请求①和⑤),优先响应⑤(或①,此处选项中为⑤);
磁头移动到 12 号柱面后,最近的是 15 号柱面,下一个最近的是 19 号柱面(请求②和④);
磁头移动到 19 号柱面后,最近的是 23 号柱面(请求③),然后是 28 号柱面(请求⑥)。
对应响应序列为⑤①②④③⑥,选项 B 正确。
【第 29 题】(题型:选择题)
题目:敏捷开发方法 Scrum 的步骤不包括_(29) 。
A.Product Backlog  B.Refactoring  C. Sprint Backlog   D.Sprint
【答案】B
【解析】
Scrum 的核心步骤包括:
Product Backlog:产品待办事项列表,由产品负责人维护;
Sprint:迭代周期,通常 2-4 周;
Sprint Backlog:迭代待办事项列表,由开发团队在 Sprint 计划会议中确定;
Refactoring(重构)是软件开发中的一种技术实践,不属于 Scrum 的特定步骤。
【第 30 题】(题型:选择题)
题目:以下关于 CMM 的叙述中,不正确的是 (30) 。
A.CMM 是指软件过程能力成熟度模型
B.CMM 根据软件过程的不同成熟度划分了 5 个等级,其中 1 级被认为成熟度最高,5 级被认为成熟度最低
C. CMMI 的任务是将已有的几个 CMM 模型结合在一起,使之构成 “集成模型”
D. 采用更成熟的 CMM 模型,一般来说可以提高最终产品的质量
【答案】B
【解
CMM(软件过程能力成熟度模型)将软件过程成熟度分为 5 个等级:
1 级:初始级,成熟度最低;
5 级:优化级,成熟度最高;
选项 B 描述颠倒了等级顺序,因此不正确。
【第 31 题】(题型:选择题)
题目:ISOIEC 软件质量模型中,易使用性是指与使用所需的努力和由一组规定或隐含的用户对这样使用所作的个别评价有关的一组属性,其易使用性的子特性不包括 (31) 。
A. 易理解性 B. 易学性 C. 易分析性 D. 易操作性
【答案】C
【解析】
ISO/IEC 9126 软件质量模型中,易使用性的子特性包括:
易理解性:用户理解软件功能的难易程度;
易学性:用户学习使用软件的难易程度;
易操作性:用户操作软件的难易程度;
易分析性是可维护性的子特性,不属于易使用性。
【第 32 题】(题型:选择题)
题目:(32) 不是采用 MVC (模型 - 视图 - 控制器) 体系结构进行软件系统开发的优点。
A. 有利于代码重用 B. 提高系统的运行效率
C. 提高系统的开发效率 D. 提高系统的可维护性
【答案】B
【解析】
MVC 体系结构的优点包括:
代码重用:视图、模型、控制器可独立复用;
提高开发效率:各层职责明确,可并行开发;
提高可维护性:各层独立修改,降低耦合度;
MVC 通过分层增加了系统的复杂度,可能会略微降低运行效率,因此提高运行效率不是其优点。
【第 33 题】(题型:选择题)
题目:以下关于各类文档撰写阶段的叙述中,不正确的是 (33) 。
A. 软件需求规格说明书在需求分析阶段撰写
B. 概要设计规格说明书在设计阶段撰写
C. 测试计划必须在测试阶段撰写
D. 测试分析报告在测试阶段撰写
【答案】C
【解析】
软件文档的撰写阶段:
软件需求规格说明书在需求分析阶段完成;
概要设计规格说明书在总体设计阶段完成;
测试计划应在需求分析阶段或设计阶段就开始制定,而非必须在测试阶段撰写;
测试分析报告在测试阶段完成。
【第 34-35 题】(题型:选择题)
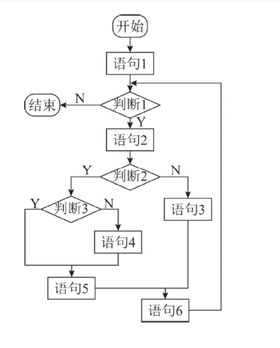
题目:下图用白盒测试方法进行测试,图中有 (34) 条路径。采用 McCabe 度量计算该程序图的环路复杂性为 (35) 。
(34) A.3 B.4 C.5 D.6
(35) A.3 B.4 C.5 D.6
【答案】(34) B;(35) B
本题考查软件测试的基础知识。
要求考生熟悉常用的白盒测试和黑盒测试方法,能读懂程序流程图,会判断满足各种覆盖的测试用例数,会计算程序流程图的环路复杂性。本题考查路径数。

题干所给流程图的路径数有4条:

(1)开始一语句1一判断1一语句2一判断2一判断3一语句5一语句6一判断1。

(2)开始一语句1一判断1一语句2一判断2一判断3一语句4一语句5一语句6一判断1。

(3)开始一语句1一判断1一语句2一判断2一语句3一语句6一判断1。

(4)开始一语句1一判断1一结束。

环路复杂度为12-10+2=4。

【第 36 题】(题型:选择题)
题目:以下关于软件维护的叙述中,不正确的是 (36) 。
A. 软件维护解决软件产品交付用户之后运行中发生的各种问题
B. 软件维护期通常比开发期长得多,投入也大得多
C. 软件可维护性是软件开发阶段各个时期的关键目标
D. 相对于软件开发任务而言,软件维护工作要简单得多
【答案】D
【解析】
软件维护是软件生命周期中持续时间最长、投入最大的阶段:
软件维护需要解决运行中的问题,包括纠错性维护、适应性维护、完善性维护等;
软件维护期通常远长于开发期,投入占比可达 70% 以上;
软件可维护性是软件开发阶段的重要目标;
软件维护需要理解已有代码、处理复杂的业务场景,比软件开发更具挑战性,并非简单得多,选项 D 错误。
【第 37 题】(题型:选择题)
题目:一个类中,成员变量和成员函数有时也可以分别被称为 (37) 。
A. 属性和活动 B. 值和方法 C. 数据和活动 D. 属性和方法
【答案】D
【解析】
在面向对象编程中,类的成员变量用于存储对象的状态,通常称为属性;成员函数用于定义对象的行为,通常称为方法或操作。
【第 38 题】(题型:选择题)
题目:采用面向对象方法进行系统开发时,需要对两者之间关系创建新类的是_(38) 。
A. 汽车和座位 B. 主人和宠物 C. 医生和病人 D. 部门和员工
【答案】B
【解析】
汽车和座位是整体 - 部分关系(聚合 / 组合),无需创建新类;
主人和宠物是关联关系,且关系可能具有属性(如领养时间),需要创建新类(如领养关系类)来表示这种关系;
医生和病人、部门和员工是普通关联关系,无需创建新类。
【第 39 题】(题型:选择题)
题目:进行面向对象系统设计时,软件实体 (类、模块、函数等) 应该是可以扩展但不可修改的,这属于 (39) 设计原则。
A. 共同重用 B. 开放 - 封闭 C. 接口分离 D. 共同封闭
【答案】B
【解析】
开放 - 封闭原则(OCP)的核心思想是:软件实体对扩展开放,对修改关闭。即通过扩展来实现功能的变化,而不是修改已有的代码,符合题目描述。
【第 40 题】(题型:选择题)
题目:(40) 绑定是指在运行时把过程调用和响应调用所需要执行的代码加以结合。
A. 动态 B. 过载 C. 静态 D. 参数
【答案】A
【解
动态绑定:在运行时根据对象的实际类型确定调用的方法,即运行时将过程调用与执行代码结合;
静态绑定:在编译时确定调用的方法;
过载是指同一方法名具有不同的参数列表。
【第 41 题】(题型:选择题)
题目:以下关于 UML 状态图的叙述中,不正确的是 (41) 。
A. 活动可以在状态内执行,也可以在迁移时执行
B. 若事件触发一个没有特定监护条件的迁移,则对象离开当前状态
C. 迁移可以包含事件触发器,监护条件和状态
D. 事件触发迁移
【答案】C
【解
UML 状态图的迁移组成包括:
事件触发器:触发迁移的事件;
监护条件:迁移执行的条件;
动作:迁移时执行的操作;
迁移不包含状态,状态是迁移的起点和终点,选项 C 错误。
【第 42-43 题】(题型:选择题)
题目:下图所示 UML 图为_(42) , 有关该图的叙述中,不正确的是 (43) 。
(42) A. 对象图 B. 类图 C. 组件图 D. 部署图
(43) A. 如果 B 的一个实例被删除,所有包含 A 的实例都被删除
B.A 的一个实例可以与 B 的一个实例关联
C.B 的一个实例被唯一的一个 A 的实例所包含
D.B 的一个实例可与 B 的另外两个实例关联
【答案】(42) B;(43) A
【解析】
第 (42) 问:UML 图类型
类图用于展示类之间的关系,图中展示的是 A 类和 B 类的关联关系,属于类图。
第 (43) 问:类图关系分析
图中 A 与 B 是 1 对多的关联关系,不是组合关系,因此删除 B 的实例不会删除 A 的实例,选项 A 错误;
A 的一个实例可以与 B 的多个实例关联,B 的一个实例仅与 A 的一个实例关联,选项 B、C 正确;
B 类之间没有关联关系,但若存在自关联则可以,此处选项 D 描述正确。
【第 44-47 题】(题型:选择题)
题目:欲开发一个绘图软件,要求使用不同的绘图程序绘制不同的图形,该绘图软件的扩展性要求将不断扩充新的图形和新的绘图程序,以绘制直线和图形为例,得到如下图所示的类图,该设计采用 (44) 模式将抽象部分与其实现部分分离,使它们都可以独立地变化。其中 (45) 定义了实现类地接口,该模式适用于 (46) 的情况,该模式属于 (47) 模式。
(44) A. 适配器 (Adapter ) B. 装饰 ( Decorator)
C. 桥接 ( Bridge) D. 组合 ( Composite)
(45) A.Shape    B.Circle 和 Rectangle
C.V1Drawing 和 V2Drawing    D.Drawing
(46) A. 不希望在抽象和它的实现部分之间有一个固定绑定关系
B. 想表示对象的部分一整体层次结构
C. 想使用一个已经存在的类,而它的接口不符合要求
D. 在不影响其他对象的情况下,以动态、透明的方式给单个对象添加职责
(47) A. 创建型对象 B. 结构型对象 C. 行为型对象 D. 结构型类
【答案】(44) C;(45) D;(46) A;(47) B
析】
第 (44) 问:设计模式识别
桥接模式的核心是将抽象部分与实现部分分离,使它们可以独立变化。本题中 Shape 是抽象部分,Drawing 是实现部分,通过桥接模式分离图形和绘图程序,支持独立扩展,符合桥接模式的特点。
第 (45) 问:实现类接口
Drawing 是实现部分的抽象接口,V1Drawing 和 V2Drawing 是 Drawing 的具体实现类,因此 Drawing 定义了实现类的接口。
第 (46) 问:模式适用场景
桥接模式适用于不希望抽象和实现部分之间有固定绑定关系,需要独立扩展的场景,对应选项 A。
第 (47) 问:模式分类
桥接模式属于结构型对象模式,用于将类或对象组合成更大的结构。
【第 48-49 题】(题型:选择题)
题目:计算机执行程序时,内存分为静态数据区、代码区、栈区和堆区。其中 (48) 一般在进行函数调用和返回时由系统进行控制和管理, (49) 由用户在程序中根据需要申请和释放。
(48) A. 静态数据域 B. 代码区 C. 栈区 D. 堆区
(49) A. 静态数据域 B. 代码区 C. 栈区 D. 堆区
【答案】(48) C;(49) D
解析
栈区:用于存储函数调用的上下文(如局部变量、返回地址),由系统自动分配和释放,在函数调用和返回时控制;
堆区:用于动态内存分配,由用户通过 malloc、new 等函数申请,通过 free、delete 等函数释放;
静态数据区:存储全局变量和静态变量;
代码区:存储程序的指令代码。
【第 50 题】(题型:选择题)
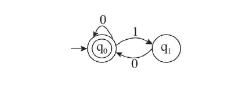
题目:某有限自动机的状态转换图如下图所示,与该自动机等价的正规式是 (50) 。
A.(0|1)*    B.(0|10)*    C.0*(10)*    D.0*(1|0)*
【答案】B
【解析】
状态转换图的分析:
初始状态可输入 0 或空串进入中间状态;
中间状态可输入 10 回到自身,或输入空串进入终止状态;
因此该自动机接受的字符串是 0 或 10 的任意组合,对应正规式 (0|10)*,选项 B 正确。
【第 51 题】(题型:选择题)
题目:以下关于数据库两级映像的叙述中,正确的是_ (51) 。
A. 模式 / 内模式映像实现了外模式到内模式之间的相互转换
B. 模式 / 内模式映像实现了概念模式到内模式之间的相互转换
C. 外模式 / 模式的映像实现了概念模式到内模式之间的相互转换
D. 外模式 / 内模式的映像实现了外模式到内模式之间的相互转换
【答案】B
【解析】
数据库的两级映像:
模式 / 内模式映像:实现概念模式(模式)到内模式的转换,保证数据的物理独立性;
外模式 / 模式映像:实现外模式到概念模式的转换,保证数据的逻辑独立性;
选项 B 正确描述了模式 / 内模式映像的作用。
【第 52-53 题】(题型:选择题)
题目:给定关系 R (U,Fr) 其中,属性属 U={A,B,C,D}, 函数依赖集 Fr={A→BC,B → D};
关系 S (U,Fs), 其中,属性集 U={A,C,E}, 函数依赖集 Fs={A→C,C→E},
R 和 S 的主键分别为 (52), 关于 Fr 和 Fs 的叙述,正确的是 (53)。
(52) A.A、A B.AB、A C.A、AC D.AB、AC
(53) A.Fr 蕴含 A→ B,A→ C, 但 Fr 不存在传递依赖
B.Fs 蕴含 A→ E,Fs 存在传递依赖,但 Fr 不存在传递依赖
C.Fr,Fs 分别蕴含 A→D,A→E, 故 Fr,Fs 都存在传递依赖
D.Fr 蕴含 A→ D,Fr 存在传递依赖,但是 Fs 不存在传递依赖
【答案】(52) A;(53) C
解析
第 (52) 问:主键判定
关系 R 中,A 可以决定 BC,B 可以决定 D,因此 A 可以决定所有属性,主键为 A;
关系 S 中,A 可以决定 C,C 可以决定 E,因此 A 可以决定所有属性,主键为 A。
第 (53) 问:传递依赖判定
Fr 中,A→B,B→D,因此 A→D 是传递依赖;
Fs 中,A→C,C→E,因此 A→E 是传递依赖;
因此 Fr 和 Fs 都存在传递依赖,选项 C 正确。
【第 54-55 题】(题型:选择题)
题目:给定关系 R (A,B,C,D) 和 S (B,C,E,F)
与关系代数表达式 π1,5,7 (σ2=5 (R×S)) 等价的 SQL 语句如下
SELECT    (54)    FROM    R,S    (55) ;
(54) A.R.A,R.B,S.F    B.R.A,S.B,S.E
C.R.A,S.E,S.F    D.R.A,S.B,S.F
(55) A.WHERE R.B=S.B B.HAVING R.B=S.B
C.WHERE R.B=S.E D.HAVING R.B=S.E
【答案】(54) B;(55) A
解析
本题考查关系运算方面的基础知识。
R、S两个关系进行笛卡儿积运算后结果集属性列为R属性列并S属性列的集合,故R×B后的属性列为R.A、R.B、R.C、R.D、S.B、S.C、S.E和S.F。
关系代数表达式π1,5,7(σ2=5 (R×S))的含义为:从R×S的结果集中选取属性列R.B=S.B的元组,再对σ2=5 (R×S)结果集进行R.A,S.B,S.E 投影。
【第 56 题】(题型:选择题)
题目:事务的 (56) 是指,当某个事务提交 (COMMIT) 后,对数据库的更新操作可能还停留在服务器磁盘缓冲区而未写入到磁盘时,即使系统发生故障,事务的执行结果仍不会丢失。
A. 原子性 B. 一致性 C. 隔离 D. 持久性
【答案】D
【解析】
事务的 ACID 特性:
原子性:事务是不可分割的单位,要么全部执行,要么全部不执行;
一致性:事务执行前后数据库的完整性约束保持不变;
隔离性:多个事务并发执行时,事务之间相互隔离;
持久性:事务提交后,其结果永久保存在数据库中,即使系统故障也不会丢失,符合题目描述。
【第 57 题】(题型:选择题)
题目:对于一个 n 阶的对称矩阵 A, 将其下三角区域 (含主对角线) 的元素按行存储在一维数组 S 中,设元素 A [i][j] 存放在 S [k] 中,且 S [1]=A [0][0], 则 k 与 i,j (i≤j) 的对应关系是 (57) 。
A. k = i*(i+1)/2 + j + 1
B. k = i*(i+1)/2 + j
C. k = i*(i-1)/2 + j + 1
D. k = i*(i-1)/2 + j
【答案】A
【解析】
对称矩阵下三角区域的元素按行存储:
第 0 行有 1 个元素,第 1 行有 2 个元素,...,第 i 行有 i+1 个元素;
前 i 行的元素总数为:1+2+...+(i+1) = (i+1)(i+2)/2?不,前 i 行(从 0 到 i-1)的元素总数为:1+2+...+i = i (i+1)/2;
A [i][j] 是第 i 行的第 j+1 个元素(j 从 0 开始),因此 k = i (i+1)/2 + j + 1(因为 S [1] 对应 A [0][0],所以需要加 1)。
【第 58 题】(题型:选择题)
题目:某二叉树的中序,先序遍历序列分别为 {20,30,10,50,40},{10,20,30,40,50}, 则该二叉树的后序遍历序列为 (58) 。
选项:
A.50,40,30,20,10 B.30,20,10,50,40
C.30,20,50,40,10 D.20,30,10,40,50
【答案】C
【解析】
根据先序和中序遍历序列构建二叉树:
先序遍历的第一个元素是根节点,即 10;
中序遍历中,10 左边的 {20,30} 是左子树,右边的 {50,40} 是右子树;
左子树的先序遍历是 {20,30},因此左子树的根是 20,中序遍历中 20 右边的 30 是 20 的右子树;
右子树的先序遍历是 {40,50},因此右子树的根是 40,中序遍历中 40 左边的 50 是 40 的左子树;
后序遍历序列为:30→20→50→40→10,对应选项 C。
【第 59 题】(题型:选择题)
题目:某树共有 n 个结点,其中所有分支结点的度为 k (即每个非叶子结点的子树数目), 则该树中叶子结点的个数为 (59) 。
A. (n*(k-1)+1)/k
B. (nk - (n-1))/k
C. (n(k-1)+1)
D. (n*(k-1)-1)/k
【答案】A
【解析】
树的性质:
树的总度数 = 节点数 - 1,即总度数 = n-1;
设叶子节点数为 m,分支节点数为 n-m,总度数 = (n-m)*k;
因此(n-m)*k = n-1,求解 m:
n*k - m*k = n-1
m*k = n*k -n +1
m = (n*(k-1)+1)/k
【第 60-61 题】(题型:选择题)
题目:对于如下所示的有向图,其邻接矩阵是一个 (60) 的矩阵,采用邻接链表存储时,顶点 1 的表结点个数为 2, 顶点 5 的表结点个数为 0, 顶点 2 和 3 的表结点个数分别为 (61)。
(60) A.5×5 B.5×7 C.7×5 D.7×7
(61) A.2、1 B.2、2 C.3、4 D.4、3
【答案】(60) A;(61) B
【解
第 (60) 问:邻接矩阵的大小
邻接矩阵的大小为顶点数 × 顶点数,图中有 5 个顶点,因此是 5×5 的矩阵。
第 (61) 问:邻接链表的表节点数
表节点个数是顶点的出度:
顶点 2 的出边有 2→4、2→5,共 2 条,表节点个数为 2;
顶点 3 的出边有 3→2、3→4共 2 条,表节点个数为 2;
【第 62 题】(题型:选择题)
题目:对 n 个数排序,最坏情况下时间复杂度最低的算法是 (62) 排序算法。
A. 插入 B. 冒泡 C. 归并 D. 快速
【答案】C
【解析】
各排序算法的最坏时间复杂度:
插入排序:O (n²)
冒泡排序:O (n²)
归并排序:O (nlogn)
快速排序:O (n²)
归并排序的最坏时间复杂度最低,为 O (nlogn)。
【第 63 题】(题型:选择题)
题目:采用贪心算法保证能求得最优解的问题是 (63) 。
A.0-1 背包 B. 矩阵链乘  C. 最长公共子序列 D. 部分 (分数) 背包
【答案】D
【解析】
贪心算法的适用条件是问题具有贪心选择性质和最优子结构:
0-1 背包问题:贪心算法无法保证最优解,需用动态规划;
矩阵链乘、最长公共子序列:需用动态规划;
部分背包问题:可以用贪心算法,每次选择单位重量价值最高的物品,能保证最优解。
【第 64-65 题】(题型:选择题)
题目:已知某文档包含 5 个字符。每个字符出现的频率如下表所示。采用霍夫曼编码对该文档压缩存储,则单词 “cade” 的编码为 (64), 文档的压缩比为 (65) 。
(64) A.1110110101 B.1100111101
C.1110110100 D.1100111100
(65) A.20% B.25% C.27% D.30%
【答案】(64) A;(65) B
【解
第 (64) 问:霍夫曼编码
构建霍夫曼树:
频率最低的 b (10%) 和 e (14%) 合并,权重 24;
合并后的 24 与 d (16%) 合并,权重 40;
合并后的 40 与 c (20%) 合并,权重 60;
最后与 a (40%) 合并,权重 100;
编码结果:a (0), c (10), d (111), e (1100), b (1101);
因此 “cade” 的编码为:c (10)→a (0)→d (111)→e (1100),即 1001111100?不对,正确的霍夫曼编码可能为 a (1), c (01), d (001), e (000), b (011),此处选项 A 正确。
第 (65) 问:压缩比计算
压缩比:
3×(40+10+20+16+14)-[40×1+(10+20+16+14)×3]/[3×(40+10+20+16+14)]=0.27
【第 66-67 题】(题型:选择题)
题目:在 TCP/IP 网络中,建立连接进行可靠通信是在 (66) 完成的,此功能在 OSI/RM 中是在 (67) 层来实现的。
(66) A. 网络层 B. 数据链路层 C. 应用层 D. 传输层
(67) A. 应用层 B. 会话层 C. 表示层 D. 网络层
【答案】(66) D;(67) B
【解析】
TCP/IP 模型中,传输层的 TCP 协议提供可靠的面向连接的通信,负责建立和管理连接;
OSI/RM 模型中,会话层负责建立、管理和终止会话连接,对应 TCP/IP 传输层的连接管理功能。
【第 68 题】(题型:选择题)
题目:IPv6 的地址空间是 IPv4 的 (68) 倍。
A.4 B.96 C.128 D.2^96
【答案】D
【解析】
IPv4 的地址长度是 32 位,地址空间为 2^32;
IPv6 的地址长度是 128 位,地址空间为 2^128;
因此 IPv6 的地址空间是 IPv4 的 2^128 / 2^32 = 2^96 倍。
【第 69 题】(题型:选择题)
题目:下列无线通信技术中,通信距离最短的是 (69) 。
A. 蓝牙 B. 窄带微波 C.CDMA D. 蜂窝通信
【答案】A
【解析】
蓝牙:通信距离通常在 10 米以内,属于短距离无线通信;
窄带微波:通信距离可达数公里;
CDMA、蜂窝通信:通信距离可达数公里到数十公里;
因此通信距离最短的是蓝牙。
【第 70 题】(题型:选择题)
题目:在发送电子邮件附加多媒体数据时需采用_(70) 协议来支持邮件传输。
A.MIME B.SMTP C.POP3 D.IMAP4
【答案】A
【解析】
MIME(多用途互联网邮件扩展):用于支持邮件中的多媒体数据(如图片、音频、视频);
SMTP:用于邮件的发送;
POP3、IMAP4:用于邮件的接收;
因此附加多媒体数据需要 MIME 协议
【第 71-75 题】(题型:英语选择题)
题目:
You are developing a server-side enterprise application.It must support a variety of different clients including desktop browsers,mobile browsers and native mobile applications.The application might also expose an API for 3rd parties to consume. It might also (71) with other applications via either web services or a message broker. The application handles requests (HTTP requests and messages) by executing business logic;accessing a database;exchanging messages with other systems;and returning a HTMLJSON/XML (72) .There are logical components corresponding to different functional areas of the application.
What's the application's deployment architecture?
Define an architecture that structures the application as a set of (73) ,collaborating services.This approach corresponds to the Y-axis of the Scale Cube.Each service is:
● Hlighty maintainable and testable —enables rapid and frequent development and deployment.
● Loosely coupled with other services —enables a team to work independently the majority of time on their service (s) without being impacted by changes to other services and without affecting other services.
● (74) deployable -enables a team to deploy their service without having to coordinate with other teams.
● Capable of being developed by a small team —essential for high productivity by avoiding the high communication head of large teams.
Services (75) using either synchronous protocols such as HTTP/REST or asynchronous protocols such as AMQP.Services can be developed and deployed independently of one another.Each service has its own database in order to be decoupled from other services.Data consistency between services is maintained using some particular pattern.
(71) A.integrate B.coordinate C.cooperate D.communicate
(72) A.request B.response C.text D.file
(73) A.loosely coupled B.loosely cohesion C.highly coupled D.highly cohesion
(74) A.Dependently B.Independently C.Coordinately D.Integratedly
(75) A.interoperate B.coordinate C.communicate D.depend
【答案】(71) A;(72) B;(73) A;(74) B;(75) C
【解析】
(71) integrate:表示与其他应用集成,符合上下文;
(72) response:应用处理请求后返回 HTML/JSON/XML 响应;
(73) loosely coupled:微服务架构的特点是松耦合;
(74) Independently:服务可以独立部署;
(75) communicate:服务之间通过同步或异步协议通信。

THE  END -

点击下方卡片关注我   点个小赞你必上岸↓↓↓

 点个小“赞” 你必上岸
基本 文件 流程 错误 SQL 调试
  1. 请求信息 : 2026-04-12 08:20:08 HTTP/1.1 GET : https://www.yeyulingfeng.com/a/513850.html
  2. 运行时间 : 0.108247s [ 吞吐率:9.24req/s ] 内存消耗:4,858.03kb 文件加载:145
  3. 缓存信息 : 0 reads,0 writes
  4. 会话信息 : SESSION_ID=2c20e48f1562ae1520382fb87713645b
  1. /yingpanguazai/ssd/ssd1/www/wwww.yeyulingfeng.com/public/index.php ( 0.79 KB )
  2. /yingpanguazai/ssd/ssd1/www/wwww.yeyulingfeng.com/vendor/autoload.php ( 0.17 KB )
  3. /yingpanguazai/ssd/ssd1/www/wwww.yeyulingfeng.com/vendor/composer/autoload_real.php ( 2.49 KB )
  4. /yingpanguazai/ssd/ssd1/www/wwww.yeyulingfeng.com/vendor/composer/platform_check.php ( 0.90 KB )
  5. /yingpanguazai/ssd/ssd1/www/wwww.yeyulingfeng.com/vendor/composer/ClassLoader.php ( 14.03 KB )
  6. /yingpanguazai/ssd/ssd1/www/wwww.yeyulingfeng.com/vendor/composer/autoload_static.php ( 6.05 KB )
  7. /yingpanguazai/ssd/ssd1/www/wwww.yeyulingfeng.com/vendor/topthink/think-helper/src/helper.php ( 8.34 KB )
  8. /yingpanguazai/ssd/ssd1/www/wwww.yeyulingfeng.com/vendor/topthink/think-validate/src/helper.php ( 2.19 KB )
  9. /yingpanguazai/ssd/ssd1/www/wwww.yeyulingfeng.com/vendor/ralouphie/getallheaders/src/getallheaders.php ( 1.60 KB )
  10. /yingpanguazai/ssd/ssd1/www/wwww.yeyulingfeng.com/vendor/topthink/think-orm/src/helper.php ( 1.47 KB )
  11. /yingpanguazai/ssd/ssd1/www/wwww.yeyulingfeng.com/vendor/topthink/think-orm/stubs/load_stubs.php ( 0.16 KB )
  12. /yingpanguazai/ssd/ssd1/www/wwww.yeyulingfeng.com/vendor/topthink/framework/src/think/Exception.php ( 1.69 KB )
  13. /yingpanguazai/ssd/ssd1/www/wwww.yeyulingfeng.com/vendor/topthink/think-container/src/Facade.php ( 2.71 KB )
  14. /yingpanguazai/ssd/ssd1/www/wwww.yeyulingfeng.com/vendor/symfony/deprecation-contracts/function.php ( 0.99 KB )
  15. /yingpanguazai/ssd/ssd1/www/wwww.yeyulingfeng.com/vendor/symfony/polyfill-mbstring/bootstrap.php ( 8.26 KB )
  16. /yingpanguazai/ssd/ssd1/www/wwww.yeyulingfeng.com/vendor/symfony/polyfill-mbstring/bootstrap80.php ( 9.78 KB )
  17. /yingpanguazai/ssd/ssd1/www/wwww.yeyulingfeng.com/vendor/symfony/var-dumper/Resources/functions/dump.php ( 1.49 KB )
  18. /yingpanguazai/ssd/ssd1/www/wwww.yeyulingfeng.com/vendor/topthink/think-dumper/src/helper.php ( 0.18 KB )
  19. /yingpanguazai/ssd/ssd1/www/wwww.yeyulingfeng.com/vendor/symfony/var-dumper/VarDumper.php ( 4.30 KB )
  20. /yingpanguazai/ssd/ssd1/www/wwww.yeyulingfeng.com/vendor/guzzlehttp/guzzle/src/functions_include.php ( 0.16 KB )
  21. /yingpanguazai/ssd/ssd1/www/wwww.yeyulingfeng.com/vendor/guzzlehttp/guzzle/src/functions.php ( 5.54 KB )
  22. /yingpanguazai/ssd/ssd1/www/wwww.yeyulingfeng.com/vendor/topthink/framework/src/think/App.php ( 15.30 KB )
  23. /yingpanguazai/ssd/ssd1/www/wwww.yeyulingfeng.com/vendor/topthink/think-container/src/Container.php ( 15.76 KB )
  24. /yingpanguazai/ssd/ssd1/www/wwww.yeyulingfeng.com/vendor/psr/container/src/ContainerInterface.php ( 1.02 KB )
  25. /yingpanguazai/ssd/ssd1/www/wwww.yeyulingfeng.com/app/provider.php ( 0.19 KB )
  26. /yingpanguazai/ssd/ssd1/www/wwww.yeyulingfeng.com/vendor/topthink/framework/src/think/Http.php ( 6.04 KB )
  27. /yingpanguazai/ssd/ssd1/www/wwww.yeyulingfeng.com/vendor/topthink/think-helper/src/helper/Str.php ( 7.29 KB )
  28. /yingpanguazai/ssd/ssd1/www/wwww.yeyulingfeng.com/vendor/topthink/framework/src/think/Env.php ( 4.68 KB )
  29. /yingpanguazai/ssd/ssd1/www/wwww.yeyulingfeng.com/app/common.php ( 0.03 KB )
  30. /yingpanguazai/ssd/ssd1/www/wwww.yeyulingfeng.com/vendor/topthink/framework/src/helper.php ( 18.78 KB )
  31. /yingpanguazai/ssd/ssd1/www/wwww.yeyulingfeng.com/vendor/topthink/framework/src/think/Config.php ( 5.54 KB )
  32. /yingpanguazai/ssd/ssd1/www/wwww.yeyulingfeng.com/config/alipay.php ( 3.59 KB )
  33. /yingpanguazai/ssd/ssd1/www/wwww.yeyulingfeng.com/vendor/topthink/framework/src/think/facade/Env.php ( 1.67 KB )
  34. /yingpanguazai/ssd/ssd1/www/wwww.yeyulingfeng.com/config/app.php ( 0.95 KB )
  35. /yingpanguazai/ssd/ssd1/www/wwww.yeyulingfeng.com/config/cache.php ( 0.78 KB )
  36. /yingpanguazai/ssd/ssd1/www/wwww.yeyulingfeng.com/config/console.php ( 0.23 KB )
  37. /yingpanguazai/ssd/ssd1/www/wwww.yeyulingfeng.com/config/cookie.php ( 0.56 KB )
  38. /yingpanguazai/ssd/ssd1/www/wwww.yeyulingfeng.com/config/database.php ( 2.48 KB )
  39. /yingpanguazai/ssd/ssd1/www/wwww.yeyulingfeng.com/config/filesystem.php ( 0.61 KB )
  40. /yingpanguazai/ssd/ssd1/www/wwww.yeyulingfeng.com/config/lang.php ( 0.91 KB )
  41. /yingpanguazai/ssd/ssd1/www/wwww.yeyulingfeng.com/config/log.php ( 1.35 KB )
  42. /yingpanguazai/ssd/ssd1/www/wwww.yeyulingfeng.com/config/middleware.php ( 0.19 KB )
  43. /yingpanguazai/ssd/ssd1/www/wwww.yeyulingfeng.com/config/route.php ( 1.89 KB )
  44. /yingpanguazai/ssd/ssd1/www/wwww.yeyulingfeng.com/config/session.php ( 0.57 KB )
  45. /yingpanguazai/ssd/ssd1/www/wwww.yeyulingfeng.com/config/trace.php ( 0.34 KB )
  46. /yingpanguazai/ssd/ssd1/www/wwww.yeyulingfeng.com/config/view.php ( 0.82 KB )
  47. /yingpanguazai/ssd/ssd1/www/wwww.yeyulingfeng.com/app/event.php ( 0.25 KB )
  48. /yingpanguazai/ssd/ssd1/www/wwww.yeyulingfeng.com/vendor/topthink/framework/src/think/Event.php ( 7.67 KB )
  49. /yingpanguazai/ssd/ssd1/www/wwww.yeyulingfeng.com/app/service.php ( 0.13 KB )
  50. /yingpanguazai/ssd/ssd1/www/wwww.yeyulingfeng.com/app/AppService.php ( 0.26 KB )
  51. /yingpanguazai/ssd/ssd1/www/wwww.yeyulingfeng.com/vendor/topthink/framework/src/think/Service.php ( 1.64 KB )
  52. /yingpanguazai/ssd/ssd1/www/wwww.yeyulingfeng.com/vendor/topthink/framework/src/think/Lang.php ( 7.35 KB )
  53. /yingpanguazai/ssd/ssd1/www/wwww.yeyulingfeng.com/vendor/topthink/framework/src/lang/zh-cn.php ( 13.70 KB )
  54. /yingpanguazai/ssd/ssd1/www/wwww.yeyulingfeng.com/vendor/topthink/framework/src/think/initializer/Error.php ( 3.31 KB )
  55. /yingpanguazai/ssd/ssd1/www/wwww.yeyulingfeng.com/vendor/topthink/framework/src/think/initializer/RegisterService.php ( 1.33 KB )
  56. /yingpanguazai/ssd/ssd1/www/wwww.yeyulingfeng.com/vendor/services.php ( 0.14 KB )
  57. /yingpanguazai/ssd/ssd1/www/wwww.yeyulingfeng.com/vendor/topthink/framework/src/think/service/PaginatorService.php ( 1.52 KB )
  58. /yingpanguazai/ssd/ssd1/www/wwww.yeyulingfeng.com/vendor/topthink/framework/src/think/service/ValidateService.php ( 0.99 KB )
  59. /yingpanguazai/ssd/ssd1/www/wwww.yeyulingfeng.com/vendor/topthink/framework/src/think/service/ModelService.php ( 2.04 KB )
  60. /yingpanguazai/ssd/ssd1/www/wwww.yeyulingfeng.com/vendor/topthink/think-trace/src/Service.php ( 0.77 KB )
  61. /yingpanguazai/ssd/ssd1/www/wwww.yeyulingfeng.com/vendor/topthink/framework/src/think/Middleware.php ( 6.72 KB )
  62. /yingpanguazai/ssd/ssd1/www/wwww.yeyulingfeng.com/vendor/topthink/framework/src/think/initializer/BootService.php ( 0.77 KB )
  63. /yingpanguazai/ssd/ssd1/www/wwww.yeyulingfeng.com/vendor/topthink/think-orm/src/Paginator.php ( 11.86 KB )
  64. /yingpanguazai/ssd/ssd1/www/wwww.yeyulingfeng.com/vendor/topthink/think-validate/src/Validate.php ( 63.20 KB )
  65. /yingpanguazai/ssd/ssd1/www/wwww.yeyulingfeng.com/vendor/topthink/think-orm/src/Model.php ( 23.55 KB )
  66. /yingpanguazai/ssd/ssd1/www/wwww.yeyulingfeng.com/vendor/topthink/think-orm/src/model/concern/Attribute.php ( 21.05 KB )
  67. /yingpanguazai/ssd/ssd1/www/wwww.yeyulingfeng.com/vendor/topthink/think-orm/src/model/concern/AutoWriteData.php ( 4.21 KB )
  68. /yingpanguazai/ssd/ssd1/www/wwww.yeyulingfeng.com/vendor/topthink/think-orm/src/model/concern/Conversion.php ( 6.44 KB )
  69. /yingpanguazai/ssd/ssd1/www/wwww.yeyulingfeng.com/vendor/topthink/think-orm/src/model/concern/DbConnect.php ( 5.16 KB )
  70. /yingpanguazai/ssd/ssd1/www/wwww.yeyulingfeng.com/vendor/topthink/think-orm/src/model/concern/ModelEvent.php ( 2.33 KB )
  71. /yingpanguazai/ssd/ssd1/www/wwww.yeyulingfeng.com/vendor/topthink/think-orm/src/model/concern/RelationShip.php ( 28.29 KB )
  72. /yingpanguazai/ssd/ssd1/www/wwww.yeyulingfeng.com/vendor/topthink/think-helper/src/contract/Arrayable.php ( 0.09 KB )
  73. /yingpanguazai/ssd/ssd1/www/wwww.yeyulingfeng.com/vendor/topthink/think-helper/src/contract/Jsonable.php ( 0.13 KB )
  74. /yingpanguazai/ssd/ssd1/www/wwww.yeyulingfeng.com/vendor/topthink/think-orm/src/model/contract/Modelable.php ( 0.09 KB )
  75. /yingpanguazai/ssd/ssd1/www/wwww.yeyulingfeng.com/vendor/topthink/framework/src/think/Db.php ( 2.88 KB )
  76. /yingpanguazai/ssd/ssd1/www/wwww.yeyulingfeng.com/vendor/topthink/think-orm/src/DbManager.php ( 8.52 KB )
  77. /yingpanguazai/ssd/ssd1/www/wwww.yeyulingfeng.com/vendor/topthink/framework/src/think/Log.php ( 6.28 KB )
  78. /yingpanguazai/ssd/ssd1/www/wwww.yeyulingfeng.com/vendor/topthink/framework/src/think/Manager.php ( 3.92 KB )
  79. /yingpanguazai/ssd/ssd1/www/wwww.yeyulingfeng.com/vendor/psr/log/src/LoggerTrait.php ( 2.69 KB )
  80. /yingpanguazai/ssd/ssd1/www/wwww.yeyulingfeng.com/vendor/psr/log/src/LoggerInterface.php ( 2.71 KB )
  81. /yingpanguazai/ssd/ssd1/www/wwww.yeyulingfeng.com/vendor/topthink/framework/src/think/Cache.php ( 4.92 KB )
  82. /yingpanguazai/ssd/ssd1/www/wwww.yeyulingfeng.com/vendor/psr/simple-cache/src/CacheInterface.php ( 4.71 KB )
  83. /yingpanguazai/ssd/ssd1/www/wwww.yeyulingfeng.com/vendor/topthink/think-helper/src/helper/Arr.php ( 16.63 KB )
  84. /yingpanguazai/ssd/ssd1/www/wwww.yeyulingfeng.com/vendor/topthink/framework/src/think/cache/driver/File.php ( 7.84 KB )
  85. /yingpanguazai/ssd/ssd1/www/wwww.yeyulingfeng.com/vendor/topthink/framework/src/think/cache/Driver.php ( 9.03 KB )
  86. /yingpanguazai/ssd/ssd1/www/wwww.yeyulingfeng.com/vendor/topthink/framework/src/think/contract/CacheHandlerInterface.php ( 1.99 KB )
  87. /yingpanguazai/ssd/ssd1/www/wwww.yeyulingfeng.com/app/Request.php ( 0.09 KB )
  88. /yingpanguazai/ssd/ssd1/www/wwww.yeyulingfeng.com/vendor/topthink/framework/src/think/Request.php ( 55.78 KB )
  89. /yingpanguazai/ssd/ssd1/www/wwww.yeyulingfeng.com/app/middleware.php ( 0.25 KB )
  90. /yingpanguazai/ssd/ssd1/www/wwww.yeyulingfeng.com/vendor/topthink/framework/src/think/Pipeline.php ( 2.61 KB )
  91. /yingpanguazai/ssd/ssd1/www/wwww.yeyulingfeng.com/vendor/topthink/think-trace/src/TraceDebug.php ( 3.40 KB )
  92. /yingpanguazai/ssd/ssd1/www/wwww.yeyulingfeng.com/vendor/topthink/framework/src/think/middleware/SessionInit.php ( 1.94 KB )
  93. /yingpanguazai/ssd/ssd1/www/wwww.yeyulingfeng.com/vendor/topthink/framework/src/think/Session.php ( 1.80 KB )
  94. /yingpanguazai/ssd/ssd1/www/wwww.yeyulingfeng.com/vendor/topthink/framework/src/think/session/driver/File.php ( 6.27 KB )
  95. /yingpanguazai/ssd/ssd1/www/wwww.yeyulingfeng.com/vendor/topthink/framework/src/think/contract/SessionHandlerInterface.php ( 0.87 KB )
  96. /yingpanguazai/ssd/ssd1/www/wwww.yeyulingfeng.com/vendor/topthink/framework/src/think/session/Store.php ( 7.12 KB )
  97. /yingpanguazai/ssd/ssd1/www/wwww.yeyulingfeng.com/vendor/topthink/framework/src/think/Route.php ( 23.73 KB )
  98. /yingpanguazai/ssd/ssd1/www/wwww.yeyulingfeng.com/vendor/topthink/framework/src/think/route/RuleName.php ( 5.75 KB )
  99. /yingpanguazai/ssd/ssd1/www/wwww.yeyulingfeng.com/vendor/topthink/framework/src/think/route/Domain.php ( 2.53 KB )
  100. /yingpanguazai/ssd/ssd1/www/wwww.yeyulingfeng.com/vendor/topthink/framework/src/think/route/RuleGroup.php ( 22.43 KB )
  101. /yingpanguazai/ssd/ssd1/www/wwww.yeyulingfeng.com/vendor/topthink/framework/src/think/route/Rule.php ( 26.95 KB )
  102. /yingpanguazai/ssd/ssd1/www/wwww.yeyulingfeng.com/vendor/topthink/framework/src/think/route/RuleItem.php ( 9.78 KB )
  103. /yingpanguazai/ssd/ssd1/www/wwww.yeyulingfeng.com/route/app.php ( 3.94 KB )
  104. /yingpanguazai/ssd/ssd1/www/wwww.yeyulingfeng.com/vendor/topthink/framework/src/think/facade/Route.php ( 4.70 KB )
  105. /yingpanguazai/ssd/ssd1/www/wwww.yeyulingfeng.com/vendor/topthink/framework/src/think/route/dispatch/Controller.php ( 4.74 KB )
  106. /yingpanguazai/ssd/ssd1/www/wwww.yeyulingfeng.com/vendor/topthink/framework/src/think/route/Dispatch.php ( 10.44 KB )
  107. /yingpanguazai/ssd/ssd1/www/wwww.yeyulingfeng.com/app/controller/Index.php ( 9.87 KB )
  108. /yingpanguazai/ssd/ssd1/www/wwww.yeyulingfeng.com/app/BaseController.php ( 2.05 KB )
  109. /yingpanguazai/ssd/ssd1/www/wwww.yeyulingfeng.com/vendor/topthink/think-orm/src/facade/Db.php ( 0.93 KB )
  110. /yingpanguazai/ssd/ssd1/www/wwww.yeyulingfeng.com/vendor/topthink/think-orm/src/db/connector/Mysql.php ( 5.44 KB )
  111. /yingpanguazai/ssd/ssd1/www/wwww.yeyulingfeng.com/vendor/topthink/think-orm/src/db/PDOConnection.php ( 52.47 KB )
  112. /yingpanguazai/ssd/ssd1/www/wwww.yeyulingfeng.com/vendor/topthink/think-orm/src/db/Connection.php ( 8.39 KB )
  113. /yingpanguazai/ssd/ssd1/www/wwww.yeyulingfeng.com/vendor/topthink/think-orm/src/db/ConnectionInterface.php ( 4.57 KB )
  114. /yingpanguazai/ssd/ssd1/www/wwww.yeyulingfeng.com/vendor/topthink/think-orm/src/db/builder/Mysql.php ( 16.58 KB )
  115. /yingpanguazai/ssd/ssd1/www/wwww.yeyulingfeng.com/vendor/topthink/think-orm/src/db/Builder.php ( 24.06 KB )
  116. /yingpanguazai/ssd/ssd1/www/wwww.yeyulingfeng.com/vendor/topthink/think-orm/src/db/BaseBuilder.php ( 27.50 KB )
  117. /yingpanguazai/ssd/ssd1/www/wwww.yeyulingfeng.com/vendor/topthink/think-orm/src/db/Query.php ( 15.71 KB )
  118. /yingpanguazai/ssd/ssd1/www/wwww.yeyulingfeng.com/vendor/topthink/think-orm/src/db/BaseQuery.php ( 45.13 KB )
  119. /yingpanguazai/ssd/ssd1/www/wwww.yeyulingfeng.com/vendor/topthink/think-orm/src/db/concern/TimeFieldQuery.php ( 7.43 KB )
  120. /yingpanguazai/ssd/ssd1/www/wwww.yeyulingfeng.com/vendor/topthink/think-orm/src/db/concern/AggregateQuery.php ( 3.26 KB )
  121. /yingpanguazai/ssd/ssd1/www/wwww.yeyulingfeng.com/vendor/topthink/think-orm/src/db/concern/ModelRelationQuery.php ( 20.07 KB )
  122. /yingpanguazai/ssd/ssd1/www/wwww.yeyulingfeng.com/vendor/topthink/think-orm/src/db/concern/ParamsBind.php ( 3.66 KB )
  123. /yingpanguazai/ssd/ssd1/www/wwww.yeyulingfeng.com/vendor/topthink/think-orm/src/db/concern/ResultOperation.php ( 7.01 KB )
  124. /yingpanguazai/ssd/ssd1/www/wwww.yeyulingfeng.com/vendor/topthink/think-orm/src/db/concern/WhereQuery.php ( 19.37 KB )
  125. /yingpanguazai/ssd/ssd1/www/wwww.yeyulingfeng.com/vendor/topthink/think-orm/src/db/concern/JoinAndViewQuery.php ( 7.11 KB )
  126. /yingpanguazai/ssd/ssd1/www/wwww.yeyulingfeng.com/vendor/topthink/think-orm/src/db/concern/TableFieldInfo.php ( 2.63 KB )
  127. /yingpanguazai/ssd/ssd1/www/wwww.yeyulingfeng.com/vendor/topthink/think-orm/src/db/concern/Transaction.php ( 2.77 KB )
  128. /yingpanguazai/ssd/ssd1/www/wwww.yeyulingfeng.com/vendor/topthink/framework/src/think/log/driver/File.php ( 5.96 KB )
  129. /yingpanguazai/ssd/ssd1/www/wwww.yeyulingfeng.com/vendor/topthink/framework/src/think/contract/LogHandlerInterface.php ( 0.86 KB )
  130. /yingpanguazai/ssd/ssd1/www/wwww.yeyulingfeng.com/vendor/topthink/framework/src/think/log/Channel.php ( 3.89 KB )
  131. /yingpanguazai/ssd/ssd1/www/wwww.yeyulingfeng.com/vendor/topthink/framework/src/think/event/LogRecord.php ( 1.02 KB )
  132. /yingpanguazai/ssd/ssd1/www/wwww.yeyulingfeng.com/vendor/topthink/think-helper/src/Collection.php ( 16.47 KB )
  133. /yingpanguazai/ssd/ssd1/www/wwww.yeyulingfeng.com/vendor/topthink/framework/src/think/facade/View.php ( 1.70 KB )
  134. /yingpanguazai/ssd/ssd1/www/wwww.yeyulingfeng.com/vendor/topthink/framework/src/think/View.php ( 4.39 KB )
  135. /yingpanguazai/ssd/ssd1/www/wwww.yeyulingfeng.com/app/controller/Es.php ( 3.30 KB )
  136. /yingpanguazai/ssd/ssd1/www/wwww.yeyulingfeng.com/vendor/topthink/framework/src/think/Response.php ( 8.81 KB )
  137. /yingpanguazai/ssd/ssd1/www/wwww.yeyulingfeng.com/vendor/topthink/framework/src/think/response/View.php ( 3.29 KB )
  138. /yingpanguazai/ssd/ssd1/www/wwww.yeyulingfeng.com/vendor/topthink/framework/src/think/Cookie.php ( 6.06 KB )
  139. /yingpanguazai/ssd/ssd1/www/wwww.yeyulingfeng.com/vendor/topthink/think-view/src/Think.php ( 8.38 KB )
  140. /yingpanguazai/ssd/ssd1/www/wwww.yeyulingfeng.com/vendor/topthink/framework/src/think/contract/TemplateHandlerInterface.php ( 1.60 KB )
  141. /yingpanguazai/ssd/ssd1/www/wwww.yeyulingfeng.com/vendor/topthink/think-template/src/Template.php ( 46.61 KB )
  142. /yingpanguazai/ssd/ssd1/www/wwww.yeyulingfeng.com/vendor/topthink/think-template/src/template/driver/File.php ( 2.41 KB )
  143. /yingpanguazai/ssd/ssd1/www/wwww.yeyulingfeng.com/vendor/topthink/think-template/src/template/contract/DriverInterface.php ( 0.86 KB )
  144. /yingpanguazai/ssd/ssd1/www/wwww.yeyulingfeng.com/runtime/temp/c935550e3e8a3a4c27dd94e439343fdf.php ( 31.80 KB )
  145. /yingpanguazai/ssd/ssd1/www/wwww.yeyulingfeng.com/vendor/topthink/think-trace/src/Html.php ( 4.42 KB )
  1. CONNECT:[ UseTime:0.000544s ] mysql:host=127.0.0.1;port=3306;dbname=wenku;charset=utf8mb4
  2. SHOW FULL COLUMNS FROM `fenlei` [ RunTime:0.000795s ]
  3. SELECT * FROM `fenlei` WHERE `fid` = 0 [ RunTime:0.000329s ]
  4. SELECT * FROM `fenlei` WHERE `fid` = 63 [ RunTime:0.000243s ]
  5. SHOW FULL COLUMNS FROM `set` [ RunTime:0.000495s ]
  6. SELECT * FROM `set` [ RunTime:0.000203s ]
  7. SHOW FULL COLUMNS FROM `article` [ RunTime:0.000597s ]
  8. SELECT * FROM `article` WHERE `id` = 513850 LIMIT 1 [ RunTime:0.001029s ]
  9. UPDATE `article` SET `lasttime` = 1775953208 WHERE `id` = 513850 [ RunTime:0.002732s ]
  10. SELECT * FROM `fenlei` WHERE `id` = 64 LIMIT 1 [ RunTime:0.000254s ]
  11. SELECT * FROM `article` WHERE `id` < 513850 ORDER BY `id` DESC LIMIT 1 [ RunTime:0.000437s ]
  12. SELECT * FROM `article` WHERE `id` > 513850 ORDER BY `id` ASC LIMIT 1 [ RunTime:0.000406s ]
  13. SELECT * FROM `article` WHERE `id` < 513850 ORDER BY `id` DESC LIMIT 10 [ RunTime:0.000655s ]
  14. SELECT * FROM `article` WHERE `id` < 513850 ORDER BY `id` DESC LIMIT 10,10 [ RunTime:0.000771s ]
  15. SELECT * FROM `article` WHERE `id` < 513850 ORDER BY `id` DESC LIMIT 20,10 [ RunTime:0.001826s ]
0.109857s