点击蓝字 // 关注我们
电力电子领域最具影响力的盛会APEC 2026 3月底在美国圣安东尼奥召开,成为全球学术界与产业界的焦点。今年大会的30场工业报告中,超过五场聚焦于AI数据中心供电,其中三场更设为专题讨论;18场专业教育讲座里也有两场专门探讨数据中心供电。数据中心供电与单片集成双向开关(MBDS)已成为本届APEC最炙手可热的两大前沿话题。
在数据中心供电议题中,高压直流架构与垂直供电尤为引人注目。英伟达、谷歌、Meta、英特尔、英飞凌、德州仪器、MPS、瑞萨等业界巨头均参与了相关讨论。本文特别摘取了英飞凌关于下一代高压直流架构下DC/DC变换器的分享,供大家交流与思考。
01
AI数据中心供电架构演进
随着AI算力的爆发,数据中心功耗正呈指数级攀升。图1显示:2022年单颗处理器功耗约0.4kW,单机柜不足60kW;到2023年处理器已突破1kW,机柜接近100kW;2024年后处理器功耗将超2kW,机柜功耗超过150kW。而在2027至2030年间,处理器可能达到2–4kW,单机柜则逼近600kW至1MW。

图1. AI数据中心处理器功耗及单机柜功耗的演变趋势
这一趋势意味着AI服务器机柜的功率密度正快速逼近兆瓦级别,传统基于单相交流输入PSU和48V直流母线的供电架构面临前所未有的挑战。新一代高压直流架构与DC/DC变换器拓扑的探索,正在成为支撑未来AI数据中心的关键方向。
随着功耗的持续攀升,供电架构的演进路径逐渐清晰,可分为三个阶段:
1. 现阶段(<250kW/机柜,分布式UPS + 48V母线)
当前架构以交流供电为主:10–34.5kV中压交流经工频变压器降至380V三相低压交流进入机房,再经配电与断路器进入机柜,由PSU完成AC/DC转换至48V母线,并挂载分布式电池备份单元保障不间断供电。主板上通过IBC降至12V,最终由VRM调节至处理器核心电压0.8V。

图2. 基于分布式UPS + 48V母线的机柜供电架构
2. 近期未来(约500kW/机柜,高压直流边柜架构)
随着机柜功率密度提升,PSU逐步移出IT机柜,转而采用三相高压直流边柜系统。电源侧机柜集成三相PSU与BBU,向IT机柜提供±400V或800V直流母线,再经DC/DC转换至各级电压。这一架构显著提升供电效率与功率密度。

图3. 基于800V高压直流边柜的机柜供电架构
3. 2030年(1MW/机柜,固态变压器驱动的混合直流微电网)
在兆瓦级功耗下,供电架构将演进为混合直流微电网。固态变压器(SST)取代传统工频变压器与边柜,实现电能一次转换并提升功率密度;结合固态断路器(SSCB),构建基于高压直流母线的微电网,实现源网荷储的多端口直流耦合。IT机柜直接运行在800V或更高电压,再逐级转换至48V、12V及核心电压0.8V,为未来超高功率密度的数据中心提供可扩展解决方案。

图4. 基于固态变压器驱动的混合直流微电网供电架构
总结
从交流到高压直流,再到混合直流微电网,这三种架构勾勒出数据中心供电的演进路径,凸显了行业为应对AI时代兆瓦级功耗所做的前瞻性布局。随着AI大模型与智算中心规模化部署,800V高压直流(HVDC)正从“可选项”转变为“必选项”,成为下一代AI基础设施供电的核心技术方向。
02
HVDC架构的关键DC/DC环节
进一步聚焦于机柜内部从800V输入到0.8V核心电压的多级DC/DC变换路径,可能有三种不同的供电架构方案:
1. 基于800V → 50V HV-IBC 的架构

图5. 基于800V → 50V HV-IBC 的架构
通过高压IBC(LLC 16:1)将800V降至50V,再经低压IBC(HSC 8:1)转换,降至不受控的6V左右电压,最终由VR模块输出至GPU核心。
优势:能够复用成熟的48V生态,6V 左右的低压VRM设计更具可扩展性,有助于提升VRM功率密度。
劣势:整体为三级转换,链路较长,效率损耗相对更高。
2. 基于800V → 12V HV-IBC 的架构

图6. 基于800V → 12V HV-IBC 的架构
直接通过高压IBC(LLC 64:1)将800V降至12V,再由VR模块输出至GPU核心。
优势:两级转换,路径更短,架构简洁。
劣势:VRM受限于12V输入,功率密度以及电流密度受限,可能导致的从IBC到VRM的供电网络(PDN)瓶颈。
3. 基于 48V 单级 VRM 的架构

图7. 基于 48V 单级 VRM 的架构
采用高压IBC(LLC 16:1)与 48V 单级 VRM组合,由VR模块输出至GPU核心。
优势:形成准两级架构,缩短功率传输路径。
劣势:靠近GPU的单级VRM功率密度较低。
总结
随着 AI 智算中心单柜功耗逼近兆瓦级,如何实现高效、低损耗且具备良好可扩展性的 DC/DC 变换架构,已成为业界关注的核心挑战与技术创新方向。当前主流的三类 800 V 高压直流供电架构各具优势与局限。由前述分析可知,“基于 800 V → 50 V 的 HV‑IBC 架构”与“基于 800 V → 12 V 的 HV‑IBC 架构”在 VRM 端均呈现 12 V/6 V 的输入电压;而“基于 48 V 单级 VRM 的架构”则直接以约 48 V 作为 VRM 输入电压。基于这一差异,我们将三类供电架构归纳为两大类:一类为 基于 12 V/6 V VRM 的架构,另一类为 基于 48 V VRM 的架构。
03
基于12V/6V VRM 架构的DC/DC电源
1. 12 V / 6 V VRM —— 多相Buck变换器
在“基于 800 V → 50 V 的 HV‑IBC 架构”与“基于 800 V → 12 V 的 HV‑IBC 架构”中,最终送到 VRM 端的母线电压大致为 12 V 或 6 V,其输出电压则为1 V左右。多相 Buck 变换器十分适合这一电压转换需求。另一方面,数据中心VRM 的大输出电流对封装、磁集成、散热等性能提出了极高要求。

图8. 水平供电结构
在传统的 12V VRM 设计中,主板上的供电路径以“水平走线”为主,电流需要经过较长的 PDN(Power Delivery Network)才能抵达终端负载。随着 AI 芯片电流飙升至数百甚至上千安培时,PDN 的寄生电阻与寄生电感开始成为性能瓶颈——瞬态响应受限:电流路径长,寄生参数大,难以支撑高速负载变化;效率难以提升:PDN 损耗大,占比不断上升。

图9. 垂直供电结构
为了突破水平供电的瓶颈,业界开始转向 垂直供电(Vertical Power Delivery)。其核心思想是:让电流从 VRM 模块“垂直”进入芯片,而不是在主板上“横着走”。从而缩短PDN,让 VRM 更靠近负载,同时提高转换效率和功率密度。

图10. 电感散热&芯片集成的封装方案
除了功率流动的方向之外,功率模块的封装方式与结构设计,也直接影响着 VRM 的效率、散热能力以及可扩展性。VRM 正在从传统的平面式封装,走向更紧凑、更高密度的三维结构。
2. 48V 中间母线变换器
在面向数据中心的 48 V 供电架构中,中间母线变换器(Intermediate Bus Converter,IBC)是连接高压母线与低压负载的关键环节。它承担约48 V到12V /6V的电压变换。

图11. 混合开关电容变换器
混合开关电容变换器(Hybrid Switched Capacitor,HSC) 结合了开关电容变换器和LLC变换器的优点,同时实现了开关器件的零电压开通和近似零电流关断。相比LLC变换器,HSC变换器降低了同步整流管和绕组的损耗,还提升了电压变比。其输入、输出电压关系为:

Infineon设计的 1.3 kW 基于HSC变换器的模块如下图所示,其尺寸为42 × 18 × 7.7 mm,变压器变比为 8:1。

(a)

(b)
图12. Infineon 1.3 kW HSC模块:(a)模块实物照片,(b)HSC与LLC的绕组损耗对比
由于HSC的软开关性能,其损耗并非主要来自开关器件,而是集中在磁件与 PCB 上。损耗饼图如下所示,可见磁性元件的总损耗超过了50%。

(a)

(b)
图13. 损耗分析:(a)实验样机,(b)损耗饼图
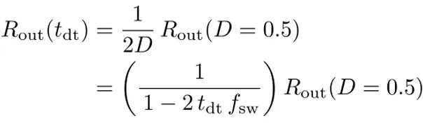
图14展示了HSC在死区时间内的等效电路图,可见开关器件结电容的电荷对变换器的输出阻抗有直接影响,从而影响变换器运行效率。

图14. HSC在死区时间内的等效电路图
由输出阻抗 Rout 的表达式可知,Rout 与死区时间 tdt 成正相关,死区越长,阻抗越高。

因此,在HSC 拓扑中引入 GaN 器件,是提升效率与功率密度的关键一步。GaN 器件凭借更低的栅极电荷与更快的开关速度,能显著降低 Rout。
图15展示了用GaN器件替换Si器件的HSC样机照片,可见使用 GaN 器件的版本将 TOP FET 数量从 8 个减少到 4 个,减少了一半。

图15. 用GaN器件替换Si器件的HSC样机

图16. 使用GaN器件和Si器件的HSC样机效率对比
图16展示了使用GaN器件和Si器件的HSC样机效率对比,可知使用GaN器件的样机峰值效率略高。在 1 kW 满载时,GaN 与 Si 的效率几乎一致(差值仅 0.15%)。
3. 高压中间母线变换器
在 800V 高压直流母线架构中,HV‑IBC(High‑Voltage Isolated Bus Converter)是从机柜母线到中压母线的关键环节。
下图展示了Infineon的 800V to 50V LLC DCX 拓扑结构和样机照片。该样机可实现1.6 W/mm²功率密度。

(a)

(b)
图17. Infineon 800V to 50V LLC DCX:(a) 拓扑结构,(b)样机照片
下图展示了Infineon的 800V to 12V LLC DCX 拓扑结构和样机照片。该样机可实现1.2 W/mm²功率密度。

(a)

(b)
图18. Infineon 800V to 12V LLC DCX:(a) 拓扑结构,(b)样机照片
04
基于 48V VRM 架构的DC/DC电源
在介绍完基于 12V/6V VRM 的供电架构后,我们将视角切换到另一条正在快速发展的技术路线——基于 48V VRM 的供电架构。相比传统的 12V/6V VRM,这类架构以更高的母线电压、更少的供电级数、更高转换效率和更高的功率密度为目标,正在成为下一代 AI 服务器电源系统的重要方向。
倍流整流拓扑为 48 V 数据中心供电架构提供了一条兼具高降压比、高电流能力与结构简洁性的有效路径。其电路拓扑如图19所示。

图19. 倍流整流变换器拓扑
倍流整流拓扑的输出电感可以集成于变压器中,也就是用变压器的励磁电感充作其输出电感,从而极大程度降低磁性元件体积,提升功率密度。
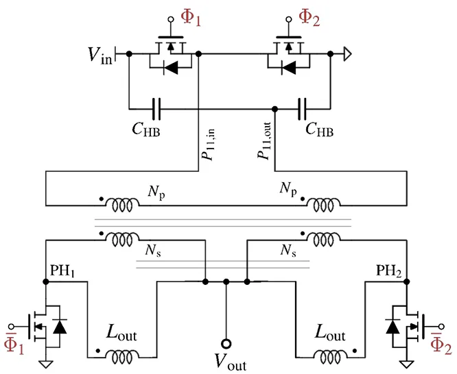
更进一步,Infineon提出将倍流整流拓扑与零偏TLVR相结合的拓扑方案,拓扑结构如下如图所示。

图20. 与零偏TLVR相结合的半桥倍流整流变换器
实验结果表明该方案具有较好瞬态表现,在48V输入时具有90.3%的峰值效率,取得0.5A/mm²功率密度。

图21. 不同输入电压下的样机效率表现
05
结论
随着 AI 智算中心单柜功耗逼近兆瓦级,电源系统正在经历一次从架构到器件的全面重构。本文围绕 800V 母线架构,系统梳理了当前最主流的三类供电方案,并深入解析了“基于 800 V → 50 V 的供电架构”,“基于 800 V → 12 V 的供电架构”和“基于单级VRM供电架构”的三条技术路线的核心差异与演进趋势。
图片| 潘其山
文字| 潘其山
排版| 诸葛英健
夜雨聆风