当前位置:首页>文档>专练29_2025高中教辅(后续还会更新新习题试卷)_2025高中全科《微专题·小练习》_2025高中全科《微专题小练习》_2025版·微专题小练习·生物学·

专练29_2025高中教辅(后续还会更新新习题试卷)_2025高中全科《微专题·小练习》_2025高中全科《微专题小练习》_2025版·微专题小练习·生物学·

  • 2026-04-09 22:34:16 2026-02-02 04:24:47

文档预览

专练29_2025高中教辅(后续还会更新新习题试卷)_2025高中全科《微专题·小练习》_2025高中全科《微专题小练习》_2025版·微专题小练习·生物学·
专练29_2025高中教辅(后续还会更新新习题试卷)_2025高中全科《微专题·小练习》_2025高中全科《微专题小练习》_2025版·微专题小练习·生物学·
专练29_2025高中教辅(后续还会更新新习题试卷)_2025高中全科《微专题·小练习》_2025高中全科《微专题小练习》_2025版·微专题小练习·生物学·
专练29_2025高中教辅(后续还会更新新习题试卷)_2025高中全科《微专题·小练习》_2025高中全科《微专题小练习》_2025版·微专题小练习·生物学·
专练29_2025高中教辅(后续还会更新新习题试卷)_2025高中全科《微专题·小练习》_2025高中全科《微专题小练习》_2025版·微专题小练习·生物学·
专练29_2025高中教辅(后续还会更新新习题试卷)_2025高中全科《微专题·小练习》_2025高中全科《微专题小练习》_2025版·微专题小练习·生物学·
专练29_2025高中教辅(后续还会更新新习题试卷)_2025高中全科《微专题·小练习》_2025高中全科《微专题小练习》_2025版·微专题小练习·生物学·
专练29_2025高中教辅(后续还会更新新习题试卷)_2025高中全科《微专题·小练习》_2025高中全科《微专题小练习》_2025版·微专题小练习·生物学·
专练29_2025高中教辅(后续还会更新新习题试卷)_2025高中全科《微专题·小练习》_2025高中全科《微专题小练习》_2025版·微专题小练习·生物学·

文档信息

文档格式
docx
文档大小
0.153 MB
文档页数
5 页
上传时间
2026-02-02 04:24:47

文档内容

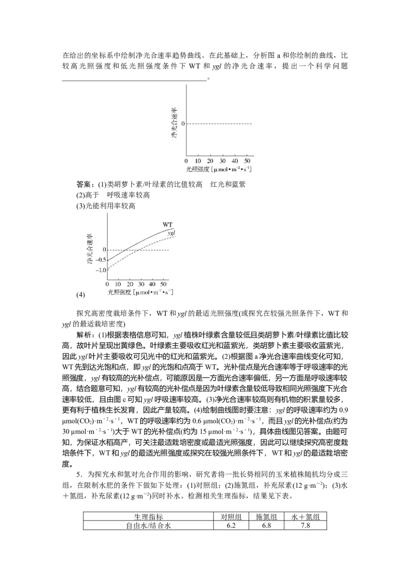
专练 29 光合作用与呼吸作用综合练 授课提示:对应学生用书33页 1.将某种大小相同的绿色植物叶片在不同温度下分别暗处理1 h,测其重量变化,立 即光照1 h再测其重量变化,结果如表所示,分析表中数据可判定( ) 组别 1 2 3 4 温度/℃ 25 27 29 31 暗处理后质量变化/mg -1 -2 -3 -1 光照后与暗处理前质量变化/mg +3 +3 +3 +1 A.光照的1 h内,第4组合成的有机物总量为2 mg B.光照的1 h内,第1、2、3组释放的氧气量相等 C.光照的1 h内,四组植物叶片的光合作用强度均大于呼吸作用强度 D.本实验中呼吸作用酶的最适温度是25 ℃ 答案:C 解析:在第4组实验测定结果中,植物叶片每小时呼吸消耗有机物的量为1 mg,而经 暗处理1 h、再光照1 h后植物叶片增重1 mg,因此光照1 h内,第4组合成有机物的总量 =1+1×2=3(mg),A错误;由表中数据可得,光照的1 h内,第1组实验中,植物叶片在 1 h内的净光合产量=3+1=4(mg),第2组实验中,1 h内的净光合产量=3+2=5(mg), 第3组实验中,1 h内的净光合产量=3+3=6(mg),因此第3组叶片净光合作用最强,释 放的氧气量最多,B错误;光照的1 h内,四组植物叶片的光合作用强度均大于呼吸作用强 度,C正确;由题表可知,在29 ℃时暗处理后叶片重量减少最多,说明本实验中与呼吸 作用相关酶的最适温度在29 ℃左右,D错误。 2.[2023·全国乙卷]植物的气孔由叶表皮上两个具有特定结构的保卫细胞构成。保卫细 胞吸水体积膨大时气孔打开,反之关闭。保卫细胞含有叶绿体,在光下可进行光合作用。 已知蓝光可作为一种信号促进保卫细胞逆浓度梯度吸收 K+。有研究发现,用饱和红光(只 用红光照射时,植物达到最大光合速率所需的红光强度)照射某植物叶片时,气孔开度可达 最大开度的60%左右。回答下列问题。 (1)气孔的开闭会影响植物叶片的蒸腾作用、________________(答出2点即可)等生理 过程。 (2)红光可通过光合作用促进气孔开放,其原因是______________________________ ________________________________________________________________________ ________________________________________________________________________ ________________________________________________________________________。 (3)某研究小组发现在饱和红光的基础上补加蓝光照射叶片,气孔开度可进一步增大, 因此他们认为气孔开度进一步增大的原因是蓝光促进保卫细胞逆浓度梯度吸收K+。请推测 该 研 究 小 组 得 出 这 一 结 论 的 依 据 是 __________________________________________________ ________________________________________________________________________。 (4)已知某种除草剂能阻断光合作用的光反应,用该除草剂处理的叶片在阳光照射下气 孔________(填“能”或“不能”)维持一定的开度。答案:(1)光合作用和呼吸作用 (2)红光是叶绿体色素主要吸收的光,因而红光照射能促进保卫细胞的叶绿体进行光合 作用,保卫细胞的渗透压上升,因而吸水体积膨大,气孔开放 (3)蓝光作为信号能促进保卫细胞逆浓度梯度吸收K+,因而保卫细胞渗透压上升,吸 水膨胀,气孔张开 (4)能 解析:(1)植物的蒸腾作用是通过气孔实现的,可见气孔的开闭将直接影响蒸腾作用, 同时,蒸腾作用能提供植物吸水和运水的动力,植物体中营养物质的运输过程离不开水分 因此光合作用会因为营养物质运输不畅受到影响,同时气孔关闭也会使气体与外界环境的 交换能力变弱,而光合作用需要通过气孔吸收的二氧化碳作为原料,进而受到影响,同时 产生的氧气也需要通过气孔释放出去;呼吸作用需要利用氧气,同时产生的二氧化碳需要 释放出去。总之,光合作用和呼吸作用均需要植物通过气孔很好地与外界进行气体交换才 能顺利完成,可见气孔的开闭直接影响的生理过程除了蒸腾作用外,还有光合作用和呼吸 作用。(2)红光是植物光合色素主要捕获的光,因而能促进保卫细胞中的叶绿体进行光合作 用,光合作用制造的有机物能提高植物细胞的渗透压,进而促进保卫细胞吸水,保卫细胞 体积膨大而气孔开放。(3)题中显示,蓝光可作为一种信号促进保卫细胞逆浓度梯度吸收 K +,进而增加了保卫细胞的渗透压,保卫细胞吸水能力增强,因而体积膨大,气孔开放。 因此,在饱和红光的基础上补加蓝光照射叶片,气孔开度可进一步增大。(4)已知某除草剂 能阻断光合作用的光反应,用该除草剂处理的叶片不能进行光合作用,从而不能产生有机 物以维持气孔开放,但阳光照射下保卫细胞可逆浓度梯度吸收K+,使气孔维持一定的开度。 3.将纯净水洗净的河沙倒入洁净的玻璃缸中制成沙床,作为种子萌发和植株生长的基 质。某水稻品种在光照强度为 8~10 μmol/(s·m2)时,固定的CO 量等于呼吸作用释放的 2 CO 量;日照时长短于12小时才能开花。将新采收并解除休眠的该水稻种子表面消毒,浸 2 种1天后,播种于沙床上。将沙床置于人工气候室中,保湿透气,昼/夜温为35 ℃/25 ℃,光照强度为2 μmol/(s·m2),每天光照时长为14小时。回答下列问题: (1)在此条件下,该水稻种子________(填“能”或“不能”)萌发并成苗(以株高≥2厘 米 , 至 少 1 片 绿 叶 视 为 成 苗 ) , 理 由 是 _______________________________________________ ________________________________________________________________________。 (2)若将该水稻适龄秧苗栽植于上述沙床上,光照强度为 10 μmol/(s·m2),其他条件与上 述实验相同,该水稻________(填“能”或“不能”)繁育出新的种子,理由是 ________________________________________________________________________ ________________________________________________________________________(答 出两点即可)。 (3)若该水稻种子用于稻田直播(即将种子直接撒播于农田),为防鸟害、鼠害减少杂草 生长,须灌水覆盖,该种子应具有________特性。 答案:(1)能 种子萌发形成幼苗的过程中,消耗的能量主要来自种子胚乳中储存的 有机物,且光照有利于叶片叶绿素的形成 (2)不能 光照强度为10 μmol/(s·m2),等于光补偿点,每天光照时长为 14小时,此时 光照时没有有机物的积累,黑暗中细胞呼吸仍需消耗有机物,故全天没有有机物积累;且 每天光照时长大于12小时,植株不能开花 (3)耐受酒精毒害 解析:(1)种子萌发形成幼苗的过程中,消耗的能量主要来自种子胚乳中储存的有机物, 因此在光照强度为2 μmol/(s·m2),每天光照时长为14小时,虽然光照强度低于光补偿点,但光照有利于叶片叶绿素的形成,种子仍能萌发并成苗。(2)将该水稻适龄秧苗栽植于上述 沙床上,光照强度为10 μmol/(s·m2),等于光补偿点,每天光照时长为14小时,此时光照 时没有有机物的积累,黑暗中细胞呼吸仍需消耗有机物,且每天光照时长大于 12小时,植 株不能开花,因此该水稻不能繁育出新的种子。(3)该水稻种子用于稻田直播(即将种子直接 撒播于农田),为防鸟害、鼠害减少杂草生长,须灌水覆盖,此时种子获得氧气较少,可通 过无氧呼吸分解有机物供能,无氧呼吸产生的酒精对种子有一定的毒害作用,推测该种子 应具有耐受酒精毒害的特性。 4.[2023·广东卷]光合作用机理是作物高产的重要理论基础。大田常规栽培时,水稻野 生型(WT)的产量和黄绿叶突变体(ygl)的产量差异不明显,但在高密度栽培条件下ygl产量 更高,其相关生理特征见下表和图。(光饱和点:光合速率不再随光照强度增加时的光照强 度;光补偿点:光合过程中吸收的CO 与呼吸过程中释放的CO 等量时的光照强度。) 2 2 叶绿素 类胡萝卜素 类胡萝卜素 水稻材料 (mg/g) (mg/g) /叶绿素 WT 4.08 0.63 0.15 ygl 1.73 0.47 0.27 分析图表,回答下列问题: (1)ygl叶色黄绿的原因包括叶绿素含量较低和________________________,叶片主要 吸收可见光中的________光。 (2)光照强度逐渐增加达到2 000 μmol·m-2· s-1时,ygl的净光合速率较WT更高,但两 者净光合速率都不再随光照强度的增加而增加,比较两者的光饱和点,可得 ygl________WT(填“高于”“低于”或“等于”)。ygl有较高的光补偿点,可能的原因是 叶绿素含量较低和________________________。 (3)与WT相比,ygl叶绿素含量低,高密度栽培条件下,更多的光可到达下层叶片,且 ygl群体的净光合速率较高,表明该群体________________________,是其高产的原因之一。 (4)试分析在0~50 μmol·m-2·s-1范围的低光照强度下,WT和ygl净光合速率的变化,在给出的坐标系中绘制净光合速率趋势曲线。在此基础上,分析图 a和你绘制的曲线,比 较高光照强度和低光照强度条件下 WT 和 ygl 的净光合速率,提出一个科学问题 ________________________________________。 答案:(1)类胡萝卜素/叶绿素的比值较高 红光和蓝紫 (2)高于 呼吸速率较高 (3)光能利用率较高 (4) 探究高密度栽培条件下,WT和ygl的最适光照强度(或探究在较强光照条件下,WT和 ygl的最适栽培密度) 解析:(1)根据表格信息可知,ygl植株叶绿素含量较低且类胡萝卜素/叶绿素比值比较 高,故叶片呈现出黄绿色。叶绿素主要吸收红光和蓝紫光,类胡萝卜素主要吸收蓝紫光, 因此ygl叶片主要吸收可见光中的红光和蓝紫光。(2)根据图a净光合速率曲线变化可知, WT先到达光饱和点,即ygl的光饱和点高于WT。光补偿点是光合速率等于呼吸速率的光 照强度,ygl有较高的光补偿点,可能原因是一方面光合速率偏低,另一方面是呼吸速率较 高,结合题意可知,ygl有较高的光补偿点是因为叶绿素含量较低导致相同光照强度下光合 速率较低,且由图c可知ygl呼吸速率较高。(3)净光合速率较高则有机物的积累量较多, 更有利于植株生长发育,因此产量较高。(4)绘制曲线图时要注意:ygl的呼吸速率约为0.9 μmol(CO)·m-2·s-1,WT的呼吸速率约为0.6 μmol(CO )·m-2·s-1,而且ygl的光补偿点(约为 2 2 30 μmol·m-2·s-1)大于WT的光补偿点(约为15 μmol·m-2·s-1),具体曲线图见答案。由题可 知,为保证水稻高产,可关注最适栽培密度或最适光照强度,因此可以继续探究高密度栽 培条件下,WT和ygl的最适光照强度或探究在较强光照条件下,WT和ygl的最适栽培密 度。 5.为探究水和氮对光合作用的影响,研究者将一批长势相同的玉米植株随机均分成三 组,在限制水肥的条件下做如下处理:(1)对照组;(2)施氮组,补充尿素(12 g·m-2);(3)水 +氮组,补充尿素(12 g·m-2)同时补水。检测相关生理指标,结果见下表。 生理指标 对照组 施氮组 水+氮组 自由水/结合水 6.2 6.8 7.8气孔导度(mmol·m-2·s-1) 85 65 196 叶绿素含量(mg·g-1) 9.8 11.8 12.6 RuBP羧化酶活性 316 640 716 (μmol·h-1·g-1) 光合速率(μmol·m-2·s-1) 6.5 8.5 11.4 注:气孔导度反映气孔开放的程度 回答下列问题: (1)植物细胞中自由水的生理作用包括________________________等(写出两点即可)。 补充水分可以促进玉米根系对氮的__________,提高植株氮供应水平。 (2)参与光合作用的很多分子都含有氮。氮与__________离子参与组成的环式结构使叶 绿素能够吸收光能,用于驱动______________两种物质的合成以及__________的分解; RuBP羧化酶将CO 转变为羧基加到__________分子上,反应形成的产物被还原为糖类。 2 (3)施氮同时补充水分增加了光合速率,这需要足量的CO 供应。据实验结果分析,叶 2 肉细胞CO 供应量增加的原因是__________________________________________________ 2 ________________________________________________________________________。 答案:(1)细胞内良好的溶剂,能够参与生化反应,能为细胞提供液体环境,还能运送 营养物质和代谢废物 主动吸收 (2)镁 ATP和NADPH 水 C (或RuBP) 5 (3)气孔导度增加,CO 吸收量增多,同时RuBP羧化酶活性增大,使固定CO 的效率 2 2 增大 解析:(1)细胞内的水以自由水与结合水的形式存在,结合水是细胞结构的重要组成成 分,自由水是细胞内良好的溶剂,能够参与生化反应,能为细胞提供液体环境,还能运送 营养物质和代谢废物;根据表格分析,水+氮组的气孔导度大大增加,增强了植物的蒸腾 作用,有利于植物根系吸收并向上运输氮,所以补充水分可以促进玉米根系对氮的主动吸 收,提高植株氮供应水平。(2)参与光合作用的很多分子都含有氮,叶绿素的元素组成有 C、H、O、N、Mg,其中氮与镁离子参与组成的环式结构使叶绿素能够吸收光能,用于光 反应,光反应的场所是叶绿体的类囊体薄膜,完成的反应是水光解产生NADPH和氧气, 同时将光能转变成化学能储存在ATP和NADPH中,其中ATP和NADPH两种物质含有氮 元素;暗反应包括二氧化碳固定和三碳化合物还原两个过程,其中RuBP羧化酶将CO 转 2 变为羧基加到C (RuBP)分子上,反应形成的C 被还原为糖类。(3)分析表格数据可知,施 5 3 氮同时补充水分使气孔导度增加,CO 吸收量增多,同时RuBP羧化酶活性增大,使固定 2 CO 的效率增大,使植物有足量的CO 供应,从而增加了光合速率。 2 2