当前位置:首页>文档>1994年数学一解析_数学一真题+解析[87-25]_数学一解析

1994年数学一解析_数学一真题+解析[87-25]_数学一解析

  • 2026-04-05 21:42:56 2026-02-04 17:43:58

文档预览

1994年数学一解析_数学一真题+解析[87-25]_数学一解析
1994年数学一解析_数学一真题+解析[87-25]_数学一解析
1994年数学一解析_数学一真题+解析[87-25]_数学一解析
1994年数学一解析_数学一真题+解析[87-25]_数学一解析
1994年数学一解析_数学一真题+解析[87-25]_数学一解析
1994年数学一解析_数学一真题+解析[87-25]_数学一解析
1994年数学一解析_数学一真题+解析[87-25]_数学一解析
1994年数学一解析_数学一真题+解析[87-25]_数学一解析
1994年数学一解析_数学一真题+解析[87-25]_数学一解析
1994年数学一解析_数学一真题+解析[87-25]_数学一解析
1994年数学一解析_数学一真题+解析[87-25]_数学一解析
1994年数学一解析_数学一真题+解析[87-25]_数学一解析
1994年数学一解析_数学一真题+解析[87-25]_数学一解析
1994年数学一解析_数学一真题+解析[87-25]_数学一解析
1994年数学一解析_数学一真题+解析[87-25]_数学一解析
1994年数学一解析_数学一真题+解析[87-25]_数学一解析
1994年数学一解析_数学一真题+解析[87-25]_数学一解析
1994年数学一解析_数学一真题+解析[87-25]_数学一解析

文档信息

文档格式
pdf
文档大小
0.225 MB
文档页数
14 页
上传时间
2026-02-04 17:43:58

文档内容

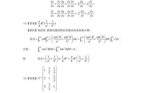
1994 年全国硕士研究生入学统一考试数学一试题解析 一、填空题(本题共5个小题,每小题3分,满分15分.) 1 (1)【答案】 6 0 【解析】原式变形后为“ ”型的极限未定式,又分子分母在点0处导数都存在,所以连 0 续应用两次洛必达法则,有 cosx(xsinx) xsinx 原式lim limcosxlim x0 xsin2 x x0 x0 x3 1cosx sinx 1 sinx lim lim  . (由重要极限lim 1) x0 3x2 x0 6x 6 x0 x (2)【答案】2x y40 【解析】所求平面的法向量n为平行于所给曲面在点(1,2,0)处法线方向的方向向量l, 取nl,又平面过已知点M(1,2,0). 已知平面的法向量(A,B,C)和过已知点(x ,y ,z )可唯一确定这个平面: 0 0 0 A(xx )B(yy )C(zz )0 . 0 0 0 因点(1,2,0)在曲面F(x,y,z) 0上.曲面方程F(x,y,z) zez 2xy3. 曲面在该点的法向量 n   F , F , F    2y,2x,1ez    4,2,0  2  2,1,0 , x y z  (1,2,0) (1,2,0) 故切平面方程为 2(x1)(y2)0, 即 2x y40. 2 (3)【答案】 e2 【解析】由于混合偏导数在连续条件下与求导次序无关,为了简化运算,所以本题可以先 u  u 求 ,再求  . y xy  u x x  excos , y y2 y 2u  2u     u      2xexcosx  xy (2,  1 ) yx (2,  1 ) x   y y  1   x2 x x22 (2ex(1x)cosx) 0 . x2 e2 (可边代值边计算,这样可以简化运算量.) 【相关知识点】多元复合函数求导法则:如果函数u (x,y),v(x,y)都在点(x,y)具 有对x及对 y的偏导数,函数z  f (u,v)在对应点(u,v)具有连续偏导数,则复合函数 z  f ((x,y),(x,y))在点(x,y)的两个偏导数存在,且有 z z u z v u v    f  f ; x u x v x 1x 2x z z u z v u v    f   f  . y u y v y 1 y 2y  1 1 (4)【答案】 R4(  ) 4 a2 b2 【解析】很显然,根据此题的特征用极坐标变换来计算: 2 R cos2 sin2 2cos2 sin2 R 原式  d r2   rdr     d r3dr . 0 0  a2 b2  0  a2 b2  0 2 2 注意:  cos2d sin2d, 0 0  1 1  1   1 1  则 原式     R4  R4   . a2 b2  4 4 a2 b2   1 1 1   2 3   (5)【答案】3n1  2 1 2   3   3   3 1  2  1  1 1  【解析】由矩阵乘法有结合律,注意 T  1, ,  2  3是一个数,  2 3  3   1 1 1   2 3 1     1 1  2 而 AT  2 1, ,    2 1  ,(是一个三阶矩阵)  2 3 3  3    3   3 1  2 于是,      An (T)(T)(T)(T)T T T  T   1 1 1   2 3   3n1T3n1  2 1 2 .   3   3   3 1  2  二、选择题(本题共5个小题,每小题3分,满分15分.) (1)【答案】(D) 【解析】对于关于原点对称的区间上的积分,应该关注被积函数的奇偶性. 由对称区间上奇偶函数积分的性质,被积函数是奇函数,积分区间关于原点对称,则积分 为0,故M 0,且 由定积分的性质,如果在区间 a,b 上,被积函数 f(x)0,则 b f(x)dx 0 (a b). a   所以 N 22cos4xdx 0, P 22cos4xdxN 0 . 0 0 因而 P M  N ,应选(D). (2)【答案】(D) 【解析】f(x,y)在点(x ,y )连续不能保证 f(x,y)在点(x ,y )存在偏导数 f(x ,y ), 0 0 0 0 x 0 0 f(x ,y ) .反之, f(x,y)在点(x ,y )存在这两个偏导数 f(x ,y ), f(x ,y )也不能保 y 0 0 0 0 x 0 0 y 0 0 证 f(x,y)在点(x ,y )连续,因此应选(D). 0 0 二元函数 f(x,y)在点(x ,y )处两个偏导数存在和在点(x ,y )处连续并没有相关性. 0 0 0 0 (3)【答案】(C) 【解析】考查取绝对值后的级数.因 (1)n |a | 1 1 1 1 1  n  a 2  a2 , n2  2 n 2 n2  2 n 2n2 1 (第一个不等式是由a0,b0,ab (a2b2)得到的.) 2   1  1 又a2 收敛, 收敛,(此为 p级数: 当 p 1时收敛;当 p1时发散.) n 2n2 np n1 n1 n1 1 1  (1)n |a | 所以 a 2  收敛,由比较判别法,得 n 收敛. n1 2 n 2n2 n1 n2  故原级数绝对收敛,因此选(C). (4)【答案】(D) 1 【解析】因为 1cosx x2 o(x),1ex2  x2 o(x) , 2 故 atanxb(1cosx) ax (a 0) , cln(12x)d(1ex2 ) 2cx (c 0) , ax a 因此,原式左边lim  2原式右边,a 4c. x0 2cx 2c 当a 0,c0时,极限为0; 当a 0,c0时,极限为,均与题设矛盾,应选(D). 【相关知识点】1.无穷小的比较: (x) 设在同一个极限过程中,(x),(x)为无穷小且存在极限 lim l. (x) (1) 若l 0,称(x),(x)在该极限过程中为同阶无穷小; (2) 若l 1,称(x),(x)在该极限过程中为等价无穷小,记为(x)(x); (3) 若l 0,称在该极限过程中(x)是(x)的高阶无穷小,记为 (x)o (x) . (x) 若lim 不存在(不为),称(x),(x)不可比较. (x) 2. 无穷小量的性质:当x x 时,(x),(x)为无穷小,则 0 (x)(x) (x) (x)o((x)) . (5)【答案】(C) 【解析】这一类题目应当用观察法.若不易用观察法时可转为计算行列式. (A):由于         0,所以(A)线性相关. 1 2 2 3 3 4 4 1 (B):由于          0,所以(B)线性相关. 1 2 2 3 3 4 4 1 对于(C),实验几组数据不能得到0时,应立即计算由的系数构成的行列式,即1 0 0 1 1 1 0 0 20, 0 1 1 0 0 0 1 1 由行列式不为0,知道(C)线性无关.故应选(C). 当然,在处理(C)有困难时,也可来看(D),由 ( )( )( )( )0 , 1 2 2 3 3 4 4 1 知(D)线性相关,于是用排除法可确定选(C). 【相关知识点】,,, 线性相关的充分必要条件是存在某(i 1,2,,s)可以由 1 2 s i , , ,, 线性表出. 1 i1 i1 s ,,, 线性无关的充分必要条件是任意一个(i 1,2,,s)均不能由 1 2 s i , , ,, 线性表出. 1 i1 i1 s 三、(本题共3小题, 每小题5分,满分15分.) 1 cost2 2t2sint2  cost22t dy dy dt dy dx y 2t (1)【解析】     t   t(t 0), dx dt dx dt dt x 2tsint2 t (y) 1 同理 y  x t  , xx x 2tsint2 t  代入参数值 t  , 2  1 则 y  , y  .   x t 2 xx t 2 2 2 【相关知识点】1.复合函数求导法则:如果u  g(x)在点x可导,而 y  f (x)在点u  g(x) 可导,则复合函数y  f  g(x) 在点x可导,且其导数为 dy dy dy du  f(u)g(x) 或   . dx dx du dx (t) 2.对积分上限的函数的求导公式:若F(t)  f(x)dx,(t),(t)均一阶可导,则 (t) F(t)(t) f (t) (t) f (t) .1 1 1 (2)【解析】 f(x) ln(1x) ln(1x) arctanxx . 4 4 2 先求 f(x)的展开式.将 f(x)微分后,可得简单的展开式,再积分即得原函数的幂级数 展开.所以由 (1) (1)( n1) (1x)1x x2 xn, (1 x1) 2! n! 该级数在端点x1处的收敛性,视而定.特别地,当1时,有 1 1xx2x3(1)nxn, (1 x1) 1x 1 1xx2x3xn, (1 x1) 1x 1 1 1 1 1 1 1 1 1 1 得 f(x)   1  1 41x 41x 21x2 21x2 21x2 1    1 x4n1 x4n(| x|1), 1x4 n0 n1 积分,由牛顿-莱布尼茨公式得 f(x) f(0) x f (x)dx     x t4ndt    x4n1 (|x|1) . 0 0 4n1 n1 n1 (3)【解析】方法1:利用三角函数的二倍角公式sin22sincos,并利用换元积分, 结合拆项法求积分,得 dx dx   sin2x2sinx 2sinx(cosx1) sinxdx 1 1   cosx u   du 2sin2 x(cosx1) 2 (1u)(1u)2 ( sin2 x1cos2 x) 1 (1u)(1u) 1 1 1 2   du (   )du 4 (1u)(1u)2 8 1u 1u (1u)2 1 2   ln|1u|ln|1u|  C 8 (1u) 1 2   ln  1cosx ln  1cosx  C ,   8 1cos x 其中C为任意常数. 方法2:换元cosxu后,有 dx sinxdx 1 du 原式      . 2sinx(cosx1) 2sin2x(cosx1) 2 (1u)(1u)2用待定系数法将被积函数分解: 1 A B D    (1u)(1u)2 1u 1u (1u)2 (AB)u2(2AD)u(ABD)  , (1u)(1u)2 AB 0  1 1 2AD0  A B ,D . 4 2  ABD 1 1 1 1 2 1  2  于是,原式= (   )du ln1u ln1u  C   8 1u 1u (1u)2 8  1u 1 2   ln  1cosx ln  1cosx  C .   8 1cos x 四、(本题满分6分) 【解析】求第二类曲面积分的基本方法:套公式将第二类曲面积分化为第一类曲面积分,再化 为二重积分,或用高斯公式转化为求相应的三重积分或简单的曲面积分. 这里曲面块的个数不多,积分项也不多,某些积分取零值,如若垂直 yOz平面,则 Pdydz 0.化为二重积分时要选择投影平面,注意利用对称性与奇偶性.  先把积分化简后利用高斯公式也很方便的. z2dxdy 方法1:注意  0,(因为S关于xy平面对称,被积函数关于z轴对称) x2  y2 z2 S xdydz 所以 I   . x2  y2 z2 S S 由上下底圆及圆柱面组成.分别记为S ,S ,S . S ,S 与平面yOz垂直 1 2 3 1 2 xdydz xdydz    0. x2  y2 z2 x2  y2 z2 s s 1 2 xdydz 在S 上将x2  y2  R2代入被积表达式 I   . 3 R2 z2 s 3 S 在 yz平面上投影区域为D :R y R,R z R ,在S 上,x R2 y2 ,S 关 3 yz 3 3于 yz平面对称,被积函数对x为奇函数,可以推出 R2  y2 R R dz I 2 dydz 222 R2 y2dy  R2 z2 0 0 R2 z2 D yz   z R 1  R2 arctan  2R . 4 R R 2 0 xdydz 方法2:S 是封闭曲面,它围成的区域记为,记 I   . R2 z2 S   x  1 R dxdy 再用高斯公式得 I    dV   dV   dz  xR2z2  R2z2 R R2z2   D(z) R 1 1 2R2 dz 2R (先一后二的求三重积分方法) 0 R2 z2 2 其中D(z)是圆域:x2  y2  R2 . 【相关知识点】高斯公式:设空间闭区域是由分片光滑的闭曲面所围成,函数 P(x,y,z)、Q(x,y,z)、R(x,y,z)在上具有一阶连续偏导数,则有 P Q R     dv  PdydzQdzdx Rdxdy,  x y z    P Q R 或     dv   PcosQcos Rcos dS,  x y z    这里是的整个边界曲面的外侧,cos、cos、cos是在点(x,y,z)处的法向量的 方向余弦.上述两个公式叫做高斯公式. 五、(本题满分9分) 【解析】由全微分方程的条件,有   [xy(x y) f(x)y] [f (x)x2y], y x 即 x2 2xy f (x) f (x)2xy ,亦即 f(x) f(x) x2.  y y  x2, 因而是初值问题  的解,此方程为常系数二阶线性非齐次方程,对应的  y 0,y 1, x0 x0 齐次方程的特征方程为r2 10的根为r i,原方程右端x2 e0xx2中的0,不同 1,2于两个特征根,所以方程有特解形如 Y  Ax2 BxC . 代入方程可求得 A1,B 0,C 2,则特解为x2 2. 由题给 f(0)0, f (0)1,解得 f(x)2cosxsinxx22. f(x)的解析式代入原方程,则有 [xy2 2y(2cosxsinx)y]dx[x2y2x2sinxcosx]dy 0 . 先用凑微分法求左端微分式的原函数: 1 1 ( y2dx2  x2dy2)2(ydxxdy)yd(2sinxcosx)(2sinxcosx)dy 0 , 2 2 1 d( x2y2 2xyy(cosx2sinx)) 0 . 2 1 其通解为 x2y2 2xy y(cosx2sinx)C 其中C为任意常数. 2 【相关知识点】1.二阶线性非齐次方程解的结构:设 y*(x)是二阶线性非齐次方程 yP(x)yQ(x)y  f (x)的一个特解.Y(x)是与之对应的齐次方程 yP(x)yQ(x)y 0的通解,则 y Y(x) y*(x)是非齐次方程的通解. 2. 二阶常系数线性齐次方程通解的求解方法:对于求解二阶常系数线性齐次方程的通解 Y(x),可用特征方程法求解:即 yP(x)yQ(x)y 0中的P(x)、Q(x)均是常数,方程 变为 y pyqy  0.其特征方程写为r2  prq 0,在复数域内解出两个特征根r,r ; 1 2 分三种情况: (1) 两个不相等的实数根r,r ,则通解为 y Cerx 1 C er 2 x; 1 2 1 2 (2) 两个相等的实数根r r ,则通解为 y  C C x  erx 1; 1 2 1 2 (3) 一对共轭复根r i,则通解为 y ex C cosxC sinx  .其中C ,C 1,2 1 2 1 2 为常数. 3.对于求解二阶线性非齐次方程 yP(x)yQ(x)y  f (x)的一个特解 y*(x),可用待定 系数法,有结论如下: 如果 f(x)P (x)ex,则二阶常系数线性非齐次方程具有形如y*(x) xkQ (x)ex m m 的特解,其中Q (x)是与P (x)相同次数的多项式,而k 按不是特征方程的根、是特征方 m m 程的单根或是特征方程的重根依次取0、1或2.如果 f(x)ex[P(x)cosxP (x)sinx],则二阶常系数非齐次线性微分方程 l n y p(x)yq(x)y  f (x) 的特解可设为 y*  xkex[R(1)(x)cosxR(2)(x)sinx], m m 其中R(1)(x)与R(2)(x)是m次多项式,mmax  l,n ,而k 按i(或i)不是特征 m m 方程的根、或是特征方程的单根依次取为0或1. 六、(本题满分8分) f(x) 【解析】lim 0表明x0时 f(x)是比x高阶的无穷小,若能进一步确定 f(x)是x x0 x 1 1 的 p阶或高于 p阶的无穷小, p 1,从而 f( ) 也是 的 p阶或高于 p阶的无穷小,这就 n n  1 证明了级数 f( )绝对收敛. n n1 f(x) 方法一:由lim 0及 f(x)的连续性得知 f(0)0, f (0)0 ,再由 f(x)在点x0 x0 x f(x) 0 的某一领域内具有二阶连续导数以及洛必达法则,lim 为“ ”型的极限未定式,又分 x0 x2 0 子分母在点0处导数都存在,连续运用两次洛必达法则,有 f(x) f (x) f (x) 1 lim lim lim  f(0) x0 x2 x0 2x x0 2 2 f(x) 1 lim  f(0) . x0 x2 2 1 f( ) n 1 由函数极限与数列极限的关系  lim  f(0) . n 1 2 n2  1  1  1 因 收敛 f( ) 收敛,即  f( )绝对收敛. n2 n n n1 n1 n1 f(x) 方法二:由lim 0 得知 f(0)0, f (0)0 ,可用泰勒公式来实现估计. f(x)在点 x0 x x0有泰勒公式: 1 1 f(x) f(0) f (0)x f (x)x2 f (x)x2(01,x[,]) 2 2 因 f(x)在点x0的某一领域内具有二阶连续导数,0, f(x)在x[,]有界,即M 0,有| f(x)|M,x[,] 1 1  f(x)  f (x) x2 Mx2,x[,]. 2 2 1 1 1 1 对此0,N,n N 时,0  f( )  M . n n 2 n2  1  1  1 又 收敛 f( ) 收敛,即  f( )绝对收敛. n2 n n n1 n1 n1 【相关知识点】正项级数的比较判别法:   v 设u 和v 都是正项级数,且lim n  A,则 n n nu n1 n1 n   ⑴ 当0 A时,u 和v 同时收敛或同时发散; n n n1 n1     ⑵ 当A0时,若u 收敛,则v 收敛;若v 发散,则u 发散; n n n n n1 n1 n1 n1     ⑶ 当A时,若v 收敛,则u 收敛;若u 发散,则v 发散. n n n n n1 n1 n1 n1 七、(本题满分6分) 【解析】方法1:用定积分. 1 设高度为z处的截面D 的面积为S(z),则所求体积V   S(z)dz. z 0 A,B所在的直线的方向向量为 01,10,10  1,1,1 ,且过A点, x1 y z x1z 所以A,B所在的直线方程为    或  . 1 1 1 y  z 截面D 是个圆形,其半径的平方 R2  x2  y2  (1z)2 z2 ,则面积 z S(z)R2 [(1z)2 z2], 1 由此 V   1 [(1z)2z2]dz  1 12z2z2  dz   zz2 2 z3    2 . 0 0  3  3 0 方法2:用三重积分. 2 1 (1z)2z2 2 V  dV   d dz rdr  , 0 0 0 3 1 1 或者 V  dV   dzd  [(1z)2z2]dz 0 0  D z 1   12z2z2 dz 0 1  2  2  zz2 z3   .  3  3 0 八、(本题满分8分) 1 1 0 0  【解析】(1)由已知,()的系数矩阵,A   . 0 1 0 1 由于nr(A)2,所以解空间的维数是2. 取x ,x 为自由变量,分别令 x ,x  1,0  ,  0,1 ,求出Ax0的解. 3 4 3 4 故()的基础解系可取为 (0,0,1,0),(1,1,0,1) . (2)方程组()和() 有非零公共解. 将()的通解 x k ,x k 2k ,x k 2k ,x k 代入方程组(),则有 1 2 2 1 2 3 1 2 4 2 k k 2k 0  2 1 2 k k . k 2k k 0 1 2 1 2 2 那么当k k  0时,向量k (0,1,1,0)k (1,2,2,1) k (1,1,1,1) 是()与()的非 1 2 1 2 1 零公共解. 九、(本题满分6分) 【解析】证法一:由于 A*  AT ,根据A*的定义有 A a (i, j 1,2,L ,n) ,其中A 是行列式| A|中a 的代数余子式. ij ij ij ij 由于A0,不妨设a 0,那么 ij | A|a A a A L a A a2a2 L a2 a20 , i1 i1 i2 i2 in in i1 i2 in ij 故 | A|0. 证法二:(反证法)若| A|0,则AA*  AAT  | A|E 0. 设A的行向量为(i 1,2,L ,n),则 T a2 a2 L a2  0 (i 1,2,L ,n). i i i i1 i2 in于是  (a ,a ,L ,a )0 (i 1,2,L ,n). i i1 i2 in 进而有A0,这与A是非零矩阵相矛盾.故| A|0. 十、填空题(本题共2小题, 每小题3分,满分6分.) (1)【解析】利用随机事件的概率运算性质进行化简.由概率的基本公式(广义加法公式),有 P(AB)P(AU B)1P(AU B) 1[P(A)P(B)P(AB)] 1P(A)P(B)P(AB). 因题目已知 P(AB)P(AB),故有 P(A)P(B)1,P(B)1P(A)1 p. (2)【解析】由于X 、Y 相互独立且同分布,只能取0、1两个数值,易见随机变量 Z max  X,Y 只取0与1两个可能的值,且 1 P  Z 0 P  max  X,Y 0   P  X 0,Y 0  P  X 0 P  Y 0  , 4 3 P  Z 1 1P  Z 0  . 4 所以随机变量Z max  X,Y 的分布律为: Z 0 1 1 3 P 4 4 十一、(本题满分6分) 【解析】此题的第一小问是求数学期望E(Z)和方差D(Z),是个常规问题;(2)求相关系数  ,关键是计算X 与Z 的协方差;(3)考查相关系数为零与相互独立是否等价. XZ (1) 由X  N(1,32),Y  N(0,42),知 E(X)1,D(X)9,E(Y)0,D(Y)16 . 由数学期望和方差的性质: E(aX bY c)aE(X)bE(Y)c , D(aX bY c)a2D(X)b2D(Y)2abCov(X,Y) ,其中a,b,c为常数. 1 1 1 得 EZ  EX  EY  , 3 2 3 1 1 1 DZ  DX  DY  Cov(X,Y) 9 4 3 1 1 1  9 16   D(X) D(Y) 9 4 3 XY 1 1 5 ( )343. 3 2 1 1 (2) 因为Cov(X,Z) Cov(X, X  Y) 3 2 1 1  Cov(X,X) Cov(X,Y) 3 2 1 1  32 (6)0 3 2 Cov(X,Z) 所以    0. XZ DX DZ (3) 由于(X,Y)服从二维正态分布,则其线性组合构成的随机变量也服从二维正态分布,而 X Y Z   ,X  X 0Y ,故X 和Z 都是其线性组合,则(X,Z)服从二维正态分布,根据 3 2 Cov(X,Z)    0,所以X 与Z 是相互独立的. XZ DX DZ