当前位置:首页>文档>2004年数学二解析_数学二真题+解析[87-25]_数学二解析

2004年数学二解析_数学二真题+解析[87-25]_数学二解析

  • 2026-04-22 08:49:33 2026-02-04 17:56:11

文档预览

2004年数学二解析_数学二真题+解析[87-25]_数学二解析
2004年数学二解析_数学二真题+解析[87-25]_数学二解析
2004年数学二解析_数学二真题+解析[87-25]_数学二解析
2004年数学二解析_数学二真题+解析[87-25]_数学二解析
2004年数学二解析_数学二真题+解析[87-25]_数学二解析
2004年数学二解析_数学二真题+解析[87-25]_数学二解析
2004年数学二解析_数学二真题+解析[87-25]_数学二解析
2004年数学二解析_数学二真题+解析[87-25]_数学二解析
2004年数学二解析_数学二真题+解析[87-25]_数学二解析
2004年数学二解析_数学二真题+解析[87-25]_数学二解析
2004年数学二解析_数学二真题+解析[87-25]_数学二解析
2004年数学二解析_数学二真题+解析[87-25]_数学二解析
2004年数学二解析_数学二真题+解析[87-25]_数学二解析
2004年数学二解析_数学二真题+解析[87-25]_数学二解析
2004年数学二解析_数学二真题+解析[87-25]_数学二解析
2004年数学二解析_数学二真题+解析[87-25]_数学二解析
2004年数学二解析_数学二真题+解析[87-25]_数学二解析
2004年数学二解析_数学二真题+解析[87-25]_数学二解析
2004年数学二解析_数学二真题+解析[87-25]_数学二解析
2004年数学二解析_数学二真题+解析[87-25]_数学二解析
2004年数学二解析_数学二真题+解析[87-25]_数学二解析
2004年数学二解析_数学二真题+解析[87-25]_数学二解析
2004年数学二解析_数学二真题+解析[87-25]_数学二解析
2004年数学二解析_数学二真题+解析[87-25]_数学二解析
2004年数学二解析_数学二真题+解析[87-25]_数学二解析

文档信息

文档格式
pdf
文档大小
0.406 MB
文档页数
21 页
上传时间
2026-02-04 17:56:11

文档内容

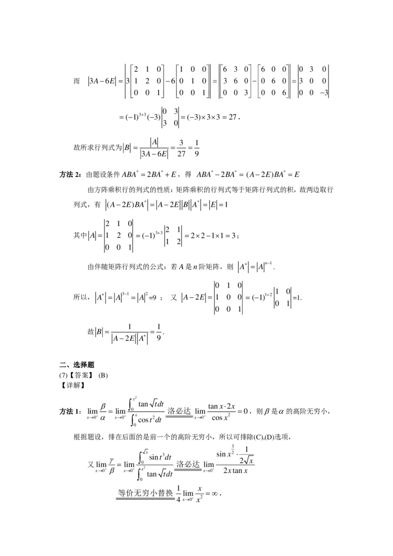
更多考研资料分享+qq810958634 2004 年全国硕士研究生入学统一考试数学二试题解析 一、填空题 (1)【答案】0. 【详解】本题属于确定由极限定义的函数的连续性与间断点. 对不同的x, 先用求极限的方 法得出 f(x)的表达式, 再讨论 f(x)的间断点. (n−1)x 由 f(x)= lim ,显然当x=0时, f(x)=0; n→∞ nx2 +1 1 1 (1− )x lim(1− )x 当x≠0时, f(x)=lim (n−1)x =lim n = n→∞ n = x = 1 , n→∞ nx2 +1 n→∞ x2 + 1 lim  x2 + 1  x2 x n n→∞ n 0, x=0  所以 f(x) =1 ,  , x≠0 x 1 因为 lim f(x)=lim =∞≠ f(0),故 x=0为 f(x)的间断点. x→0 x→0 x x= x(t) (2)【详解】判别由参数方程定义的曲线的凹凸性,先用由  定义的参数方程求出 y = y(t) d2y d2y 二阶导数 , 再由 <0确定x的取值范围. dx2 dx2 dy ( )′ dx ( )′ = t3−3t+1 =3t2 −3, = t3 +3t+1 =3t2 +3 dt dt dy dy dt 3t2 −3 t2 −1 t2 +1−1−1 2 所以 = = = = =1− dx dx dt 3t2 +3 t2 +1 t2 +1 t2 +1 ′ d2y d dy dt  2  1 4t 1 4t =   = 1−  ⋅ = ⋅ = , dx2 dtdxdx  t2 +1 3(t2 +1) ( t2 +1 )2 3(t2 +1) 3(t2 +1)3 d2y d2y 4t 4t 令 <0(或 ≤0),即 <0(或 ≤0) ⇒ t <0 (或t ≤0 ) dx2 dx2 3(t2 +1)3 3(t2 +1)3 又x=t3+3t+1, x′=3t2 +3>0,所以x ( t )单调增, 当t =0时,x =1,所以当t <0 更多考研资料分享+qq810958634更多考研资料分享+qq810958634 时x ( t )< x ( 0 )=1(或当t ≤0时,x ( t )≤ x ( 0 )=1),即x∈(−∞,1)(或x∈(−∞,1])时,曲 线凸 π (3)【答案】 . 2 【详解】利用变量代换法可得所求的广义积分值. 方法1:作积分变量变换, π 令x=sect,则x2 −1=sec2t−1=tan2t,dx=dsect =secttantdt,t:0→ , 2 代入原式: π π +∞ dx sect⋅tant π ∫ x=sect ∫ 2 dt =∫ 2dt= . 1 x x2 −1 0 sect⋅tant 0 2 1 1 1 方法2:令x= ,则dx=d =− dt,t:1→0,代入原式: t t t2 ∫ +∞ dx x= 1 ∫ 0 t (− 1 )dt =∫ 1 1 dt=arcsint 1 = π . 1 x x2 −1 t 1 1 t2 0 1−t2 0 2 −1 t2 (4)【答案】2. 【详解】此题可利用复合函数求偏导法、公式法或全微分公式求解. 方法1:复合函数求偏导,在 z =e2x−3z +2y 的两边分别对x,y求偏导,z为x,y的函数. ∂z ∂z ∂z ∂z =e2x−3z(2−3 ), =e2x−3z(−3 )+2, ∂x ∂x ∂y ∂y ∂z 2e2x−3z ∂z 2 从而 = , = ∂x 1+3e2x−3z ∂y 1+3e2x−3z ∂z ∂z 2e2x−3z 2 1+3e2x−3z 所以 3 + =3⋅ + =2⋅ =2 ∂x ∂y 1+3e2x−3z 1+3e2x−3z 1+3e2x−3z ∂F ∂F ∂F 方法2:令F(x, y, z)=e2x−3z +2y−z =0,则 =e2x−3z⋅2, =2, =e2x−3z(−3)−1 ∂x ∂y ∂z ∂z ∂F ∂F e2x−3z⋅2 2e2x−3z 所以 =− =− = , ∂x ∂x ∂z −(1+3e2x−3z) 1+3e2x−3z 更多考研资料分享+qq810958634更多考研资料分享+qq810958634 ∂z ∂F ∂F 2 2 =− =− = , ∂y ∂y ∂z −(1+3e2x−3z) 1+3e2x−3z ∂z ∂z 2e2x−3z 2 1+3e2x−3z 从而 3 + =3⋅ + =2⋅ =2 ∂x ∂y 1+3e2x−3z 1+3e2x−3z 1+3e2x−3z 方法3:利用全微分公式,得 dz =e2x−3z(2dx−3dz)+2dy =2e2x−3zdx+2dy−3e2x−3zdz 2e2x−3z 2 即(1+3e2x−3z)dz =2e2x−3zdx+2dy,得dz = dx+ dy 1+3e2x−3z 1+3e2x−3z ∂z 2e2x−3z ∂z 2 所以 = , = ∂x 1+3e2x−3z ∂y 1+3e2x−3z ∂z ∂z 2e2x−3z 2 1+3e2x−3z 从而 3 + =3⋅ + =2⋅ =2 ∂x ∂y 1+3e2x−3z 1+3e2x−3z 1+3e2x−3z 1 (5)【答案】y = x3 + x. 5 【详解】此题为一阶线性方程的初值问题.可以利用常数变易法或公式法求出方程的通解,再 利用初值条件确定通解中的任意常数而得特解. dy 1 1 方法1:原方程变形为 − y = x2, dx 2x 2 dy 1 先求齐次方程 − y =0 的通解: dx 2x dy 1 分离变量: = dx y 2x 1 两边积分得: ln y = lnx+lnc ⇒ y =c x 2 1 用常数变易法,设y =c(x) x为非齐次方程的通解,则y′=c′(x) x +c(x) , 2 x dy 1 1 1 1 1 1 3 代入 − y = x2,得c′(x) x +c(x) − c(x) x = x2,即c′(x)= x2, dx 2x 2 2 x 2x 2 2 1 3 1 5 积分得c(x)=∫ x2dx= x2 +C, 2 5 更多考研资料分享+qq810958634更多考研资料分享+qq810958634 1 5 1 于是非齐次方程的通解为: y = x( x2 +C)=C x + x3 5 5 6 1 6 又由于y = 代入通解,得C 1+ 13 = ⇒C =1, x=1 5 5 5 1 故所求特解为 y = x + x3. 5 dy 1 1 方法2:原方程变形为 − y = x2, dx 2x 2 dy 由一阶线性微分方程 +P ( x ) y =Q ( x )通解公式: dx f(x)=Ce −∫P(x)dx +e −∫P(x)dx ∫Q ( x ) e ∫P(x)dx dx 这里P ( x )=− 1 , Q ( x )= 1 x2,代入上式得:y =e ∫ 2 1 x dx   ∫ 1 x2e −∫ 2 1 x dx dx+C   2x 2  2  由于方程x=0处方程无定义,所以解的存在区间内不能含有点x=0.因此解的存 在区间要么为x>0的某区间,要么为x<0的某区间. 现在初值给在x=1处,所以 x>0,于是 1 lnx  1 − 1 lnx   1 3  1 5  y =e2  ∫ x2e 2 dx+C = x ∫ x2dx+C = x x2 +C  2   2  5  6 再 y(1)= ⇒ C =1, 5 1 从而特解为 y = x + x3. 5 1 (6) 【答案】 9 【详解】 方法1:已知等式两边同时右乘A,得ABA*A=2BA*A+ A, 由伴随矩阵的运算规律:A*A= AA* = A E,有AB A =2B A + A,而 2 1 0 2 1 A = 1 2 0 =(−1)3+3 =2×2−1×1=3, 1 2 0 0 1 于是有 3AB =6B+ A,移项、合并有 (3A−6E)B = A,再两边取行列式,由方阵 乘积的行列式的性质:矩阵乘积的行列式等于矩阵行列式的积,有 (3A−6E)B = 3A−6E B = A =3, 更多考研资料分享+qq810958634更多考研资料分享+qq810958634 2 1 0 1 0 0 6 3 0 6 0 0 0 3 0         而 3A−6E = 3 1 2 0 −6 0 1 0 = 3 6 0 − 0 6 0 = 3 0 0          0 0 1   0 0 1   0 0 3   0 0 6  0 0 −3 0 3 =(−1)3+3(−3) =(−3)×3×3 =27, 3 0 A 3 1 故所求行列式为 B = = = 3A−6E 27 9 方法2:由题设条件ABA* =2BA*+E,得 ABA*−2BA* = (A−2E)BA* = E 由方阵乘积行的列式的性质:矩阵乘积的行列式等于矩阵行列式的积,故两边取行 列式,有 (A−2E)BA* = A−2E B A* = E =1 2 1 0 2 1 其中 A = 1 2 0 =(−1)3+3 =2×2−1×1=3; 1 2 0 0 1 由伴随矩阵行列式的公式:若A是n阶矩阵,则 A∗ = A n−1 . 0 1 0 1 0 所以, A∗ = A 3−1 = A 2 =9 ; 又 A−2E = 1 0 0 =(−1)1+2 =1. 0 1 0 0 1 1 1 故 B = = . A−2E A∗ 9 二、选择题 (7)【答案】 (B) 【详解】 x2 β ∫ tan tdt tanx⋅2x 方法1:lim = lim 0 洛必达 lim =0,则β是α的高阶无穷小, x→0+α x→0+ ∫ x cost2dt x→0+ cosx2 0 根据题设,排在后面的是前一个的高阶无穷小,所以可排除(C),(D)选项, 3 1 γ ∫ x sint3dt sinx2 ⋅ 2 x 又lim = lim 0 洛必达 lim x→0+β x→0+ ∫ x2 tan tdt x→0+ 2xtanx 0 1 x 等价无穷小替换 lim =∞, 4x→0+ x2 更多考研资料分享+qq810958634更多考研资料分享+qq810958634 可见γ是比β低阶的无穷小量,故应选(B). 方法2:用xk(当x→0时)去比较. x α ∫ cost2dt cosx2 lim = lim 0 洛 lim , x→0+ xk x→0+ xk x→0+ kxk−1 α cost2 limcost2 欲使上式极限存在但不为0,应取k =1,有lim = lim = x→0+ =1, x→0+ x x→0+ x0 lim x0 x→0+ 所以(当x →0+时)α与x同阶. x2 β ∫ tan tdt tanx⋅2x x⋅2x 2 lim = lim 0 洛 lim = lim = lim x→0+ xk x→0+ xk x→0+ kxk−1 x→0+ kxk−1 x→0+ kxk−3 β 2tanx 2tanx 2 欲使上式极限存在但不为0,应取k =3, 有lim = lim = lim = , x→0+ x3 x→0+ 3x3−2 x→0+ 3x 3 所以(当x →0+时)β与x3同阶. γ ∫ x sint3dt sinx 3 2 ⋅x − 1 2 x 3 2 ⋅x − 1 2 x lim = lim 0 洛lim = lim = lim , x→0+ xk x→0+ xk x→0+ 2kxk−1 x→0+ 2kxk−1 x→0+ 2kxk−1 γ x 1 欲使上式极限存在但不为0,应取k =2, 有lim = lim = , x→0+ x2 x→0+ 2⋅2x2−1 4 所以(当x →0+时)γ与 x2同阶.因此,后面一个是前面一个的高阶小的次序是 α,γ,β,选(B). (8)【答案】C 【详解】由于是选择题,可以用图形法解决,也可用分析法讨论. 2  1 1 方法1:由于是选择题,可以用图形法解决, 令ϕ(x)= x(x−1),则ϕ(x)= x−  − ,  2 4 1 1 1 是以直线x= 为对称轴,顶点坐标为  ,−  ,开口向上的一条抛物线,与x轴相 2 2 4 交的两点坐标为( 0,0 ) , ( 1,0 ),y = f(x)=ϕ(x) 的图形如图. 更多考研资料分享+qq810958634更多考研资料分享+qq810958634 点x=0是极小值点;又在点(0,0)左侧邻近曲线是凹的,右侧邻近曲线是凸的, 所以点(0,0)是拐点,选C. −x(1−x), −1< x ≤0 方法2:写出y = f(x)的分段表达式: f(x)=  , x(1−x), 0< x <1 −1+2x, −1< x <0  2, −1< x <0 从而 f′(x)=  , f′′(x)=  , 1−2x, 0< x <1 −2, 0< x <1 lim f′(x)= lim ( 1−2x )=1>0,所以0< x<1时, f(x)单调增, x→0+ x→0+ lim f′(x)= lim (−1+2x )=−1<0,所以−1< x≤0时, f(x)单调减, x→0− x→0− 所以x=0为极小值点. 当 −1< x <0 时 , f′′(x)=2>0 , f(x) 为 凹 函 数 ; 当 1> x>0 时 , f′′(x)=−2<0, f(x)为凸函数, 于是(0,0)为拐点. (9)【答案】 B 【详解】由对数性质, 2 limlnn (1+ 1 )2(1+ 2 )2(1+ n )2 = limln   (1+ 1 )(1+ 2 )(1+ n )   n n→∞ n n n n→∞  n n n  2 1 2 n  = lim  ln(1+ )+ln(1+ )++ln(1+ )  n→∞n n n n  n i 1 1 2 2 = lim2∑ln(1+ ) =2∫ ln(1+x)dx 1+x=t 2∫ lntdt =2∫ lnxdx n→∞ n n 0 1 1 i=1 (10)【答案】 (C) 【详解】函数 f(x)只在一点的导数大于零,一般不能推导出单调性,因此可排除(A),(B). f(x)− f(0) 由导数的定义,知 f ′(0) =lim >0 x→0 x 更多考研资料分享+qq810958634更多考研资料分享+qq810958634 f(x)− f(0) 根据极限的保号性,知存在δ>0,当x∈(−δ,0)(0,δ)时,有 >0. x 即当x∈(−δ,0)时,x<0,有 f(x)< f(0);而当x∈(0,δ)时,x>0有 f(x)> f(0). (11)【答案】A 【详解】利用待定系数法确定二阶常系数线性非齐次方程特解的形式. 对应齐次方程 y′′+ y =0 的特征方程为 λ2 +1=0, 则特征根为 λ=±i, 对 y′′+ y = x2 +1=e0(x2 +1)为 f ( x )=eλxP ( x )型,其中λ=0, P ( x )= x2 +1, m m 因0不是特征根, 从而其特解形式可设为 y∗ =(ax2 +bx+c)e0 =ax2 +bx+c 1 对 y′′+ y =sinx , 为 f ( x )=eλx   P ( x ) cosωx+P ( x ) sinωx  型,其中λ=0 , l n ω=1,P ( x )=0, P ( x )=1,因λ+ωi =0+i =i为特征根, 从而其特解形式可设为 l n y∗ = x(Asinx+Bcosx) 2 由叠加原理,故方程 y′′+ y = x2 +1+sinx 的特解形式可设为 y∗ = ax2 +bx+c+ x(Asinx+Bcosx) y (12)【答案】D 2 { } 【详解】由D= (x, y) x2 + y2 ≤2y ,则积分 区域是以( 0, 1 )为圆心,1为半径的圆及其内部, ⋅ 1 积分区域见右图. 在直角坐标系下, 先x后y, x − 2y− y2 ≤ x≤ 2y− y2 ,0≤ y≤2 −1 o 1 则应是 2 2y−y2 ∫∫ f(xy)dxdy =∫ dy∫ f(xy)dx 0 − 2y−y2 D 先 y后x,由x2 +( y−1 )2 ≤1⇒1− 1−x2 ≤ y≤1+ 1−x2, −1≤ x≤1,则应是 1 1+ 1−x2 ∫∫ f(xy)dxdy =∫ dx∫ f(xy)dy −1 1− 1−x2 D 更多考研资料分享+qq810958634更多考研资料分享+qq810958634 故应排除[A],[B]. 在极坐标系下, x=rcosθ,y =rsinθ , π 2sinθ ∫∫ f(xy)dxdy =∫ dθ∫ f(r2sinθcosθ)rdr, 故应选D. 0 0 D 或直接根据极坐标下,其面积元素为rdrdθ,则可排除C (13)【答案】(D) 【详解】由题设,将A的第1列与第2列交换,即 0 1 0   AE = A 1 0 0 = B, 12    0 0 1  将B的第2列加到第3列,即 1 0 0 0 1 01 0 0 0 1 1        B 0 1 1 = A 1 0 0 0 1 1 = A 1 0 0 = AQ.         0 0 1   0 0 1   0 0 1   0 0 1  0 1 1   故Q= 1 0 0 ,应选(D).    0 0 1  (14)【答案】(A) 【详解】方法1:由矩阵秩的重要公式:若A为m×n矩阵,B 为n× p矩阵,如果AB=0, 则r(A)+r(B)≤n 设A为m×n矩阵,B为n×s矩阵,由AB=0知,r(A)+r(B)≤n,其中n是 矩阵A的列数,也是B的行数 因A为非零矩阵,故r(A)≥1,因r(A)+r(B)≤n,从而r(B)≤n−10 ∫ 4 sintdt = 2 , π π 4 4 4 3π 5π π 5π f( )=∫ 4 sint dt =∫ sintdt−∫ 4 sintdt =2− 2, 4 3π 3π π 4 4 π π 3π 3π 又 f(0)=∫2 sint dt =∫2sintdt =1, f(π)=∫ 2 sint dt =∫ 2 (−sint)dt =1, 0 0 π π 比较极值点与两个端点处的值,知 f(x)的最小值是2− 2, 最大值是 2, 故 f(x)的 值域是[2− 2, 2]. 2 t t ex +e −x  (18)【详解】(I) 旋转体体积:V(t) =π∫ y2dx =π∫   dx 0 0 2  t 旋转体的侧面积:S(t)=∫ 2πy 1+ y′2 dx 0 ′2 2 t ex +e −x  ex +e −x  t ex +e −x  ex −e −x  =2π∫   1+  dx =2π∫   1+  dx 0 2   2  0 2   2  t ex +e −x  e2x −2+e −2x t ex +e −x  e2x +2+e −2x =2π∫   1+ dx =2π∫   dx 0 2  4 0 2  4 更多考研资料分享+qq810958634更多考研资料分享+qq810958634 2 2 t ex +e −x  ex +e −x  t ex +e −x  =2π∫     dx =2π∫   dx, 0 2   2  0 2  2 t ex +e −x  2π∫   dx S(t) 0 2  所以 = =2. V(t) t ex +e −x  2 π∫   dx 0 2  (Ⅱ) 在x=t处旋转体的底面积为 ex +e−x  2 et +e−t  2 F(t)=πy2 =π  =π  , x=t  2   2  x=t ′ S(t) 2π∫ 0 t    ex + 2 e−x    2 dx 2    ∫ 0 t   ex + 2 e−x    2 dx    所以lim = lim = lim t→+∞ F(t) t→+∞ π    et + 2 e−t    2 t→+∞     et +e−t   2  ′  2     et +e−t  2 2   2  et +e−t 1+e−2t =lim = lim = lim =1 t→+∞ et +e−t et −e−t  t→+∞et −e−t t→+∞1−e−2t 2    2  2  (19) 【详解】根据要证不等式的形式,可考虑用拉格朗日中值定理或转化为函数不等式用 单调性证明. 方法 1:因为函数 f ( x )=ln2 x在[a,b]⊂ ( e,e2 ) 上连续,且在( a,b )内可导,所以满足拉 格朗日中值定理的条件, 对函数 f ( x )=ln2 x在[a,b]上应用拉格朗日中值定理,得 ln2b−ln2a = ( ln2ξ )′ ( b−a )= 2lnξ ( b−a ) , e . ξ e2 lnt 1−lnt 设ϕ(t) = ,则ϕ′(t) = ,当t >e时,1−lnt <1−lne=0 ,即ϕ′(t)<0, t t2 所以ϕ(t)单调减少,又因为ξϕ(e2),即 更多考研资料分享+qq810958634更多考研资料分享+qq810958634 lnξ lne2 2 2lnξ 4 > = ,得 > ξ e2 e2 ξ e2 4 故 ln2b−ln2 a > (b−a). e2 方法2:利用单调性, 设ϕ(x) =ln2 x− 4 x,证ϕ(x)在区间 ( e,e2 ) 内严格单调增即可. e2 lnx 4 lne2 4 4 4 1−lnx ϕ′(x) = 2 − ,(ϕ′(e2)=2 − = − =0,)ϕ′′(x) = 2 , x e2 e2 e2 e2 e2 x2 当x>e时,1−lnx<1−lne=0,ϕ′′(x)<0, 故ϕ′(x)单调减少,从而当e< x ϕ′(e2)=0,即当e< x ϕ(a),即ln2b− b >ln2 a− a, e2 e2 4 故 ln2b−ln2 a > (b−a). e2 4 lnx 4 1−lnx 方法3:设ϕ(x) =ln2 x−ln2 a− (x−a), 则ϕ′(x)=2 − ,ϕ′′(x)=2 , e2 x e2 x2 ⇒ x>e时, 1−lnx<1−lne=0,得ϕ′′(x)<0, 4 4 ⇒ϕ′(x)在(e,e2)上单调减少, 从而当e< xϕ′(e2)= − =0, e2 e2 ⇒ϕ(x)在(e,e2)上单调增加. 从而当eϕ(a) =0. 4 ⇒ϕ(b) >0,即ln2b−ln2a> (b−a). e2 (20) 【详解】 本题是标准的牛顿第二定理的应用,列出关系式后再解微分方程即可. 方法 1:由题设,飞机质量m=9000kg ,着陆时的水平速度v =700km/h. 从飞机接触 0 跑道开始计时,设t时刻飞机的滑行距离为x(t),速度为v(t),则 v(0) =v ,x(0) =0. 0 dv dv dv dx dv 根据牛顿第二定律,得m = −kv. 又 = ⋅ =v . dt dt dx dt dx m m 由以上两式得dx = − dv,积分得x(t) = − v+C. k k m m 由于v(0) =v ,x(0) =0,所以x(0)=− v +C =0. 故得C = v , 0 k 0 k 0 m 从而x(t) = (v −v(t)). k 0 更多考研资料分享+qq810958634更多考研资料分享+qq810958634 mv 9000×700 当v(t)→0时,x(t)→ 0 = =1.05(km). k 6.0×106 所以,飞机滑行的最长距离为1.05km. dv 方法2:根据牛顿第二定律,得 m = −kv, dt dv k k 分离变量: =− dt,两端积分得:lnv=− t+C , v m m 1 k k − t − t 通解:v =Ce m ,代入初始条件v =v ,解得C =v ,故v(t) =v e m . t=0 0 0 0 飞机在跑道上滑行得距离相当于滑行到 v→0 ,对应地 t →+∞ . 于是由 dx=vdt ,有 +∞ +∞ +∞ − k t mv − k t mv x=∫ v(t)dt =∫ v e m dt =− 0 e m = 0 =1.05(km). 0 0 0 k k 0 或由v ( t )= dx =v e − m k t ,知x(t) = ∫ t v e − m k t dt = − kv 0 (e − m k t −1),故最长距离为 dt 0 0 0 m kv 当t →∞时,x(t)→ 0 =1.05(km). m dv dx d2x dx 方法3:由m = −kv ,v= ,化为x对t的求导,得m = −k , 变形为 dt dt dt2 dt d2x k dx + =0,v(0)= x′(0)=v ,x(0)=0 dt2 m dt 0 k k − k t 其特征方程为 λ2 + λ=0,解之得λ =0,λ = − ,故x =C +C e m . m 1 2 m 1 2 dx kC − k t mv 由 x =0,v = =− 2 e m =v ,得C = −C = 0 , t=0 t=0 dt m 0 1 2 k t=0 t=0 mv − k t mv 于是 x(t) = 0 (1−e m ). 当t →+∞时,x(t)→ 0 =1.05(km). k k 所以,飞机滑行的最长距离为1.05km. (21)【详解】利用复合函数求偏导和混合偏导的方法直接计算. 令 u = x2 − y2,v=exy,则z = f(x2 − y2,exy)= f(u,v), 更多考研资料分享+qq810958634更多考研资料分享+qq810958634 ∂u ∂u ∂v ∂v 所以 =2x, =−2y, = yexy, = xexy ∂x ∂y ∂x ∂y ∂z ∂f ∂u ∂f ∂v ∂z ∂f ∂u ∂f ∂v 所以 = + =2xf′+ yexy f′, = + =−2yf′+xexy f′ ∂x ∂u ∂x ∂v ∂x 1 2 ∂y ∂u ∂y ∂v ∂y 1 2 ∂2z ∂ ∂z ∂ ( ) =   = −2yf′+xexy f′ ∂x∂y ∂x∂y ∂x 1 2  ∂u ∂v  ∂u ∂v =−2y f′′ + f′′  +exy f′+xyexy f′+xexy  f′′ + f′′   11 ∂x 12 ∂x 2 2  21 ∂x 22 ∂x ( ) ( ) =−2y 2xf′′+ yexy f′′ +exy f′+xyexy f′+xexy 2xf′′ + yexy f′′ 11 12 2 2 21 22 =−4xyf′′+2(x2 − y2)exy f′′++xye2xy f′′ +exy(1+xy)f′ 11 12 22 2 (22) 【详解】 方法1:对方程组的系数矩阵A作初等行变换,有 1+a 1 1  1  1+a 1 1  1  2 2+a 2  2 1行×(−i)+i行  −2a a 0  0  A=   =B        (  i  =  2  ,    n  )             n n n  n+a −na 0 0  a 对|B|是否为零进行讨论: 当a=0时,r(A)=1