当前位置:首页>文档>数学(浙江卷)(参考答案及评分标准)_2数学总复习_赠送:2024中考模拟题数学_二模_数学(浙江卷)-:2024年中考第二次模拟考试

数学(浙江卷)(参考答案及评分标准)_2数学总复习_赠送:2024中考模拟题数学_二模_数学(浙江卷)-:2024年中考第二次模拟考试

  • 2026-04-10 14:27:00 2026-02-06 00:46:49

文档预览

数学(浙江卷)(参考答案及评分标准)_2数学总复习_赠送:2024中考模拟题数学_二模_数学(浙江卷)-:2024年中考第二次模拟考试
数学(浙江卷)(参考答案及评分标准)_2数学总复习_赠送:2024中考模拟题数学_二模_数学(浙江卷)-:2024年中考第二次模拟考试
数学(浙江卷)(参考答案及评分标准)_2数学总复习_赠送:2024中考模拟题数学_二模_数学(浙江卷)-:2024年中考第二次模拟考试
数学(浙江卷)(参考答案及评分标准)_2数学总复习_赠送:2024中考模拟题数学_二模_数学(浙江卷)-:2024年中考第二次模拟考试
数学(浙江卷)(参考答案及评分标准)_2数学总复习_赠送:2024中考模拟题数学_二模_数学(浙江卷)-:2024年中考第二次模拟考试
数学(浙江卷)(参考答案及评分标准)_2数学总复习_赠送:2024中考模拟题数学_二模_数学(浙江卷)-:2024年中考第二次模拟考试
数学(浙江卷)(参考答案及评分标准)_2数学总复习_赠送:2024中考模拟题数学_二模_数学(浙江卷)-:2024年中考第二次模拟考试
数学(浙江卷)(参考答案及评分标准)_2数学总复习_赠送:2024中考模拟题数学_二模_数学(浙江卷)-:2024年中考第二次模拟考试
数学(浙江卷)(参考答案及评分标准)_2数学总复习_赠送:2024中考模拟题数学_二模_数学(浙江卷)-:2024年中考第二次模拟考试
数学(浙江卷)(参考答案及评分标准)_2数学总复习_赠送:2024中考模拟题数学_二模_数学(浙江卷)-:2024年中考第二次模拟考试
数学(浙江卷)(参考答案及评分标准)_2数学总复习_赠送:2024中考模拟题数学_二模_数学(浙江卷)-:2024年中考第二次模拟考试
数学(浙江卷)(参考答案及评分标准)_2数学总复习_赠送:2024中考模拟题数学_二模_数学(浙江卷)-:2024年中考第二次模拟考试
数学(浙江卷)(参考答案及评分标准)_2数学总复习_赠送:2024中考模拟题数学_二模_数学(浙江卷)-:2024年中考第二次模拟考试
数学(浙江卷)(参考答案及评分标准)_2数学总复习_赠送:2024中考模拟题数学_二模_数学(浙江卷)-:2024年中考第二次模拟考试
数学(浙江卷)(参考答案及评分标准)_2数学总复习_赠送:2024中考模拟题数学_二模_数学(浙江卷)-:2024年中考第二次模拟考试
数学(浙江卷)(参考答案及评分标准)_2数学总复习_赠送:2024中考模拟题数学_二模_数学(浙江卷)-:2024年中考第二次模拟考试
数学(浙江卷)(参考答案及评分标准)_2数学总复习_赠送:2024中考模拟题数学_二模_数学(浙江卷)-:2024年中考第二次模拟考试

文档信息

文档格式
docx
文档大小
0.656 MB
文档页数
13 页
上传时间
2026-02-06 00:46:49

文档内容

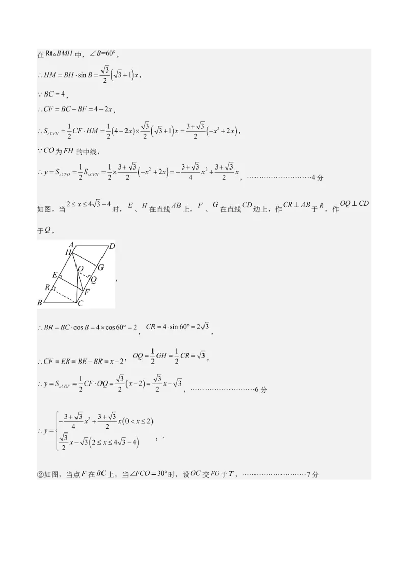
2024 年中考第二次模拟考试(浙江卷) 数学·参考答案 第Ⅰ卷 一、选择题(本大题共10个小题,每小题3分,共30分.在每个小题给出的四个选项中,只有一项符合 题目要求,请选出并在答题卡上将该项涂黑) 1 2 3 4 5 6 7 8 9 10 B D A D A B D B D C 第Ⅱ卷 二、填空题(本大题共6小题,每小题3分,共18分) 11.0 12. / 13. 14. 15.16 16. 三、解答题(本大题共8个小题,共72分.解答应写出文字说明,证明过程或演算步骤) 17.【答案】(1) ;(2) 【分析】 题目主要考查特殊角的三角函数的运算、实数的混合运算及分式的化简,熟练掌握运算法则是解题关键. (1)先将二次根式化简、特殊角的三角函数代入、零次幂运算,然后计算加减法即可; (2)根据分式加减法计算,然后约分即可. 【详解】解:(1) ·;····························3分 (2) .···························6分 18.【答案】错误步骤的序号为①,解法见详解. 【分析】 本 题 考 查 检 查 解 分 式 方 程 ; 错 误 步 骤 的 序 号 为 ① , 解 方 程 去 分 母 转 化 为 整 式 方 程 , ,进而解这个整式方程,最后检验,即可求解. 【详解】解:错误步骤的序号为①,···························1分 去分母得: ···························2分 去括号得: ···························3分 移项得: …③, 合并同类项得: …④,···························4分 检验:当 时, ,···························5分 ∴ 是原分式方程的解.···························6分 19.【答案】(1)③,见解析; (2) . 【分析】本题考查了全等三角形的判定与性质等知识,熟练掌握全等三角形的判定方法是解题的关键. (1)选择③ (答案不唯一),由 证得 即可;选② ,由 证得 即可; (2)由 ,得出 ,则 ,即可得出答案.【详解】(1)解:选择③ ,理由:···························1分 在 和 中, , ,···························3分 故答案为:③;···························4分 选② ,理由:···························1分 , 在 和 中, , ;···························3分 故答案为:②;···························4分 (2)解: , , ,···························6分 .···························8分 20.【答案】(1)9人 (2)见解析 【分析】 本题主要考查了扇形统计图与条形统计图信息相关联: (1)先求出801班总人数,再求802班成绩在C级的人数即可; (2)只要答案符合题意即可(答案不唯一). 【详解】(1)解: 人, ∴在本次竞赛中,802班 级的人数有9人;···························4分 (2)解①从平均数的角度看两班成绩一样;从中位数的角度看801班比802班的成绩好;所以801班成绩 好.②从平均数的角度看两班成绩一样,从众数的角度看802班比801班的成绩好,所以802班成绩好.(答案不唯一)···························8分 21.【答案】(1)见解析 (2) (3) 【分析】(1)根据圆周角,弦,弧的关系证明即可. (2)运用圆的内接四边形的性质,得到 ,结合 , ,继而得到 ,结合 为 的直径,得到 , ;根据 ,结合三角形的外角性质,计算即可. (3)连接 ,证明出 是等边三角形,求出 ,根据 , 计算即可. 【详解】(1)∵ , ∴ , ∴ .···························2分 (2)∵四边形 是圆的内接四边形, ∴ , ∵ , , ∴ ,···························3分 ∵ 为 的直径, ∴ , ∴ ; ∵ , ∴ ; ∵ 平分 , ∴ ; ∴ ; ∴ ; ∴ ···························5分解得 .···························6分 (3)∵ , , ∴ , 连接 , ∵ , ∴ , ∵ , ∴ , ∴ , ∵ , ∴ , ∴ , ∵ , ∴ , 解得 ,···························7分 ∴ , , ∵ , ∴ 是等边三角形, ∴ , ∴ , ∴ , ∴ ···························8分 ∴ ···························9分∴ .···························10分 【点睛】本题考查了圆周角定理,圆的内接四边形性质,三角函数,扇形面积公式.解题的关键是掌握以 上知识点. 22.【答案】(1)见解析 (2)树叶缝隙到光斑中心的距离, 【分析】本题考查了相似三角形的应用.熟练掌握相似三角形的判定与性质是解题的关键. (1)由题意知 ,证明 , ,则 , ,进而结论得证; (2)由(1)中 可知,如果要估测太阳的直径,还需要测量树叶缝隙到光斑中心的距离,进而 可得太阳的直径可表示为 . 【详解】(1)证明:∵ 于 , 于 , ∴ , ∴ , 又∵ , , ∴ , , ∴ , , ∴ .···························6分 (2)解:由(1)中 可知,记光斑的直径为 ,太阳的直径可表示为 ,地球到太阳的距 离为 , ∴如果要估测太阳的直径,还需要测量树叶缝隙到光斑中心的距离 , ∴ ,太阳的直径可表示为 ,故答案为:树叶缝隙到光斑中心的距离, .···························10分 23.【答案】(1) ,顶点坐标为 (2)点M的坐标为 (3) 的最小值为 【分析】(1)由 ,解得 ,然后代入解析式求解; (2)当线段 时,则点C在 的中垂线上,即 时,即可求解; (3)先证明 ,然后利用当B、P、G三点共线时, 最小,最小值为 即可求 解. 【详解】(1)∵对称轴是直线 , 故 ,解得 , 故抛物线的表达式为 , ···························2分 ∴抛物线的顶点为 ;···························3分 (2) 对于 ,令 , 解得 或 ,令 ,则 , 故点A、B、C的坐标分别为 , 设直线 的表达式为 ,则 ,解得 , 故直线 的表达式 ,···························4分设点M的坐标为 ,则点D的坐标为 , 当线段 时,则点C在 的中垂线上,即 , 即 , 解得 (舍去)或2,···························5分 故点M的坐标为 ;···························6分 (3) 在 上取点G,使 ,即 ,则 ,则点 ,····················7分 ∵ , , ∴ ,···························8分 ∴ ,故 , 则 ,···························10分 故当B、P、G三点共线时, 最小,最小值为 ,···························11分 则 的最小值 .···························12分 【点睛】主要考查了二次函数的解析式的求法和与几何图形结合的综合能力的培养,会利用数形结合的思 想把代数和几何图形结合起来以及利用点的坐标的意义表示线段的长度是解题的关键.. 24.【答案】(1)(2)① ;② 或 或 或 【分析】(1)解直角三角形 求出 ,进而求得结果; (2)①分两种情况:当 点在 、 之间时,即 时,作 于 点,连接 ;当 时, 、 在直线 上, 、 在直线 边上,作 于 ,作 于 ;分 别求出表达式即可;②分四种情况:当点 在 上,当 时;当点 在 上,当 ;当点 在 上,当 时;当点 在 上,当 时;分别得出关于 的方程,解方程即可得出答案. 【详解】(1)解:∵点 为 中点, , , , , , , ;···························2分 (2)解:①如图,当 点在 、 之间时,即 时,作 于 点,连接 , , , , , , , 四边形 是正方形, , ,在 中, , , , , , 为 的中线, ,···························4分 如图,当 时, 、 在直线 上, 、 在直线 边上,作 于 ,作 于 , , , , , , ,···························6分 ;· ②如图,当点 在 上,当 时,设 交 于 ,···························7分, , , , , , , , , , ,···························8分 如图,当点 在 上,当 ,作 于 , , , , , , , , 由 得,, ,···························9分 如图,当点 在 上,当 时,作 于 ,作 于 , , 由②知: , , , , , ,···························10分 如图,当点 在 上,当 时,作 ,交 的延长线于 , , , 由 得, ,,···························11分 综上所述: 或 或 或 .···························12分 【点睛】本题考查了平行四边形的性质、正方形的性质、解直角三角形等知识点,解决问题的关键是采用 分类讨论的思想解决问题.