当前位置:首页>文档>2010考研数学一真题及答案解析公众号:小乖考研免费分享_04.数学一历年真题_普通版本数学一_1987-2016考研数学(一)真题答案与解析

2010考研数学一真题及答案解析公众号:小乖考研免费分享_04.数学一历年真题_普通版本数学一_1987-2016考研数学(一)真题答案与解析

  • 2026-04-09 22:28:23 2026-02-06 17:49:30

文档预览

2010考研数学一真题及答案解析公众号:小乖考研免费分享_04.数学一历年真题_普通版本数学一_1987-2016考研数学(一)真题答案与解析
2010考研数学一真题及答案解析公众号:小乖考研免费分享_04.数学一历年真题_普通版本数学一_1987-2016考研数学(一)真题答案与解析
2010考研数学一真题及答案解析公众号:小乖考研免费分享_04.数学一历年真题_普通版本数学一_1987-2016考研数学(一)真题答案与解析
2010考研数学一真题及答案解析公众号:小乖考研免费分享_04.数学一历年真题_普通版本数学一_1987-2016考研数学(一)真题答案与解析
2010考研数学一真题及答案解析公众号:小乖考研免费分享_04.数学一历年真题_普通版本数学一_1987-2016考研数学(一)真题答案与解析
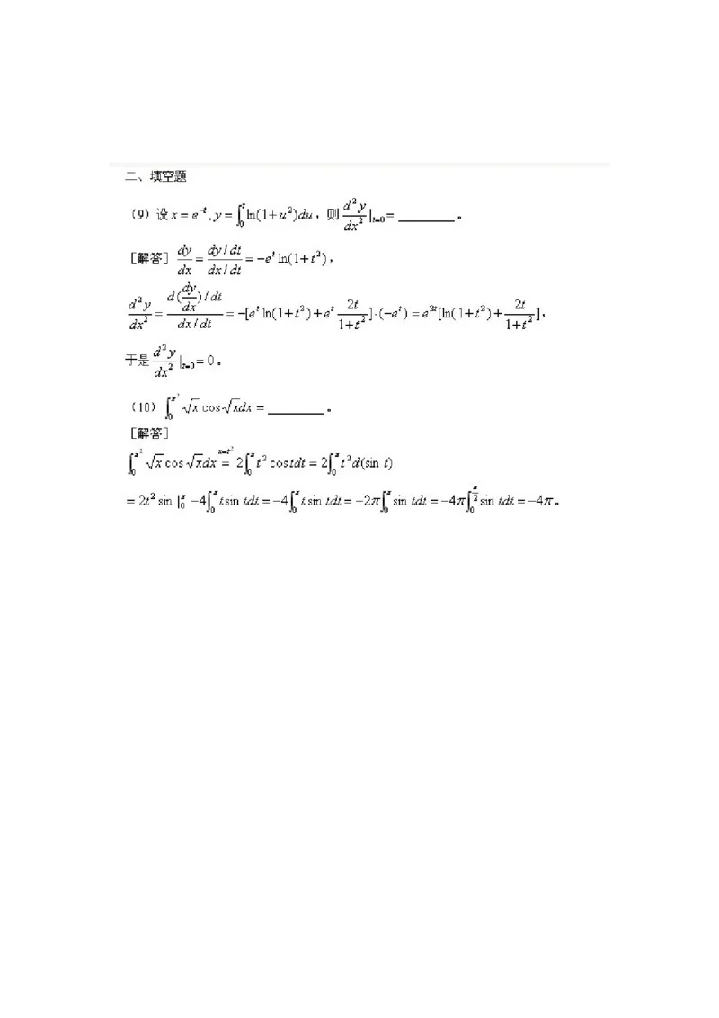
2010考研数学一真题及答案解析公众号:小乖考研免费分享_04.数学一历年真题_普通版本数学一_1987-2016考研数学(一)真题答案与解析
2010考研数学一真题及答案解析公众号:小乖考研免费分享_04.数学一历年真题_普通版本数学一_1987-2016考研数学(一)真题答案与解析
2010考研数学一真题及答案解析公众号:小乖考研免费分享_04.数学一历年真题_普通版本数学一_1987-2016考研数学(一)真题答案与解析
2010考研数学一真题及答案解析公众号:小乖考研免费分享_04.数学一历年真题_普通版本数学一_1987-2016考研数学(一)真题答案与解析
2010考研数学一真题及答案解析公众号:小乖考研免费分享_04.数学一历年真题_普通版本数学一_1987-2016考研数学(一)真题答案与解析
2010考研数学一真题及答案解析公众号:小乖考研免费分享_04.数学一历年真题_普通版本数学一_1987-2016考研数学(一)真题答案与解析
2010考研数学一真题及答案解析公众号:小乖考研免费分享_04.数学一历年真题_普通版本数学一_1987-2016考研数学(一)真题答案与解析
2010考研数学一真题及答案解析公众号:小乖考研免费分享_04.数学一历年真题_普通版本数学一_1987-2016考研数学(一)真题答案与解析
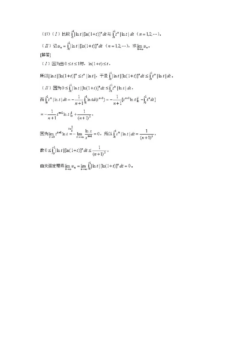
2010考研数学一真题及答案解析公众号:小乖考研免费分享_04.数学一历年真题_普通版本数学一_1987-2016考研数学(一)真题答案与解析
2010考研数学一真题及答案解析公众号:小乖考研免费分享_04.数学一历年真题_普通版本数学一_1987-2016考研数学(一)真题答案与解析
2010考研数学一真题及答案解析公众号:小乖考研免费分享_04.数学一历年真题_普通版本数学一_1987-2016考研数学(一)真题答案与解析
2010考研数学一真题及答案解析公众号:小乖考研免费分享_04.数学一历年真题_普通版本数学一_1987-2016考研数学(一)真题答案与解析
2010考研数学一真题及答案解析公众号:小乖考研免费分享_04.数学一历年真题_普通版本数学一_1987-2016考研数学(一)真题答案与解析
2010考研数学一真题及答案解析公众号:小乖考研免费分享_04.数学一历年真题_普通版本数学一_1987-2016考研数学(一)真题答案与解析
2010考研数学一真题及答案解析公众号:小乖考研免费分享_04.数学一历年真题_普通版本数学一_1987-2016考研数学(一)真题答案与解析
2010考研数学一真题及答案解析公众号:小乖考研免费分享_04.数学一历年真题_普通版本数学一_1987-2016考研数学(一)真题答案与解析
2010考研数学一真题及答案解析公众号:小乖考研免费分享_04.数学一历年真题_普通版本数学一_1987-2016考研数学(一)真题答案与解析
2010考研数学一真题及答案解析公众号:小乖考研免费分享_04.数学一历年真题_普通版本数学一_1987-2016考研数学(一)真题答案与解析
2010考研数学一真题及答案解析公众号:小乖考研免费分享_04.数学一历年真题_普通版本数学一_1987-2016考研数学(一)真题答案与解析
2010考研数学一真题及答案解析公众号:小乖考研免费分享_04.数学一历年真题_普通版本数学一_1987-2016考研数学(一)真题答案与解析
2010考研数学一真题及答案解析公众号:小乖考研免费分享_04.数学一历年真题_普通版本数学一_1987-2016考研数学(一)真题答案与解析
2010考研数学一真题及答案解析公众号:小乖考研免费分享_04.数学一历年真题_普通版本数学一_1987-2016考研数学(一)真题答案与解析
2010考研数学一真题及答案解析公众号:小乖考研免费分享_04.数学一历年真题_普通版本数学一_1987-2016考研数学(一)真题答案与解析
2010考研数学一真题及答案解析公众号:小乖考研免费分享_04.数学一历年真题_普通版本数学一_1987-2016考研数学(一)真题答案与解析
2010考研数学一真题及答案解析公众号:小乖考研免费分享_04.数学一历年真题_普通版本数学一_1987-2016考研数学(一)真题答案与解析
2010考研数学一真题及答案解析公众号:小乖考研免费分享_04.数学一历年真题_普通版本数学一_1987-2016考研数学(一)真题答案与解析

文档信息

文档格式
doc
文档大小
1.264 MB
文档页数
27 页
上传时间
2026-02-06 17:49:30

文档内容

2010年全国硕士研究生入学统一考试 数学(一)试卷 一、选择题(1-8小题,每小题4分,共32分,下列每小题给出的四 个选项中,只有一项符合题目要求,把所选项前的字母填在题后的括 号内.) x  x2  (1)极限 = lim   x(xa)(xb) (A)1 (B)e (C)eab (D)eba y z (2)设函数z  z(x,y)由方程F( , )0确定,其中F 为可微函数,且 x x 则 z z = F0, x  y 2 x y (A)x (B)z (C)x (D)z (3)设m,n为正整数,则反常积分  1mln2(1x) dx 的收敛性 0 n x (A)仅与m取值有关 (B)仅与n取值有关 (C)与m,n取值都有关 (D)与m,n取值都无关 (4) n n n = lim x (ni)(n2  j2) i1 j1 (A) 1 x 1 (B) 1 x 1  dx dy  dx dy 0 0 (1x)(1 y2) 0 0 (1x)(1 y) (C) 1 1 1 (D) 1 1 1  dx dy  dx dy 0 0 (1x)(1 y) 0 0 (1x)(1 y2)(5)设A为mn型矩阵,B为nm型矩阵,若ABE,则 (A)秩(A)m,秩(B)m (B)秩(A)m,秩(B)n (C)秩(A)n,秩(B)m (D)秩(A)n,秩(B)n (6)设 为4阶对称矩阵,且 若 的秩为3,则 相似于 A A2 A0, A A 1  1      1 1 (A)  (B)   1   1       0  0 1  1      1 1 (C)  (D)   1   1       0  0 0 x0 (7)设随机变量 的分布函数 1 则 = X F(x) 0 x1, P{X 1} 2 1ex x2 (A)0 (B)1 1 (C) e1 (D)1e1 2 (8)设 为标准正态分布的概率密度 为 上均匀分布的 f (x) , f (x) [1,3] 1 2 概率密度, af (x) x0 1 (a0,b0) bf (x) x0 2 为概率密度,则a,b应满足 (A)2a3b4 (B)3a2b4 (C)ab1 (D)ab2二、填空题(9-14小题,每小题4分,共24分,请将答案写在答题纸 指定位置上.) d2y (9)设 t 求 = . xet,y  ln(1u2)du, 0 dx2 t0 (10) 2 = .  xcos xdy 0 (11)已知曲线 的方程为 起点是 终点是 L y 1 x{x[1,1]}, (1,0), (1,0), 则曲线积分 xydxx2dy = . L (12) 设 则 的 形 心 的 竖 坐 标 = {(x,y,z)|x2  y2  z 1},  z . (13)设 若由 形成的 α (1,2,1,0)T,α (1,1,0,2)T,α (2,1,1,)T, α ,α ,α 1 2 3 1 2 3 向量空间的维数是2,则= . C (14)设随机变量 X 概率分布为 P{X k} (k 0,1,2,  ),则 EX2= k! . 三、解答题(15-23小题,共94分.请将解答写在答题纸指定的位 置上.解答应写出文字说明、证明过程或演算步骤.) (15)(本题满分10分) 求微分方程 的通解. y3y2y 2xex(16)(本题满分10分) 求函数 f(x) x (x2 t)et2 dt 的单调区间与极值. 1(17)(本题满分10分) (1)比较 1 lnt [ln(1t)]ndt 与 1 tn lnt dt(n1,2, ) 的大小,说明理由  0 0 (1) 记 u  1 lnt [ln(1t)]ndt(n1,2, ), 求极限limu . n 0  x n (18)(本题满分10分)求幂级数  (1)n1 的收敛域及和函数.  x2n 2n1 n1 (19)(本题满分10分) 设 为椭球面 上的动点,若 在点 的切平面与 P S:x2  y2 z2  yz 1 S P (x 3) y2z xoy面垂直,求 P 点的轨迹C,并计算曲面积分I  dS, 4 y2 z2 4yz  其中是椭球面S 位于曲线C上方的部分.(20)(本题满分11分)  1 1 a     设A 0 1 0 ,b 1 ,已知线性方程组 Ax b 存在两个不同的         1 1  1     解. (1)求,a. (2)求方程组Ax b的通解.(21)(本题满分11分) 设二次型 在正交变换 下的标准形为 f(x ,x ,x ) xTAx xQy y2  y2, 1 2 3 1 2 且 的第三列为 2 2 Q ( ,0, )T. 2 2 (1)求A. (2)证明AE为正定矩阵,其中E为3阶单位矩阵.(22)(本题满分11分) 设 二 维 随 机 变 量 (X Y)的 概 率 密 度 为 求 常 数 及 条 件 概 率 密 度 f(x,y) Ae2x22xyy2 , x, y, A f (y|x). Y|X(23)(本题满分11 分) 设总体X 的概率分布为 X 1 2 3 P 1 2 2 其中 未知,以 来表示来自总体 的简单随机样本(样本容量 (0,1) N X i 为 )中等于 的个数 试求常数 使 3 为 的无 n i (i 1,2,3), a ,a ,a , T a N  1 2 3 i i i1 偏估计量,并求T 的方差.2010 年考研数学一真题及答案