当前位置:首页>文档>2018考研数学二真题公众号:小乖考研免费分享_05.数学二历年真题_普通版本数学二_2018年考研数学二真题及解析

2018考研数学二真题公众号:小乖考研免费分享_05.数学二历年真题_普通版本数学二_2018年考研数学二真题及解析

  • 2026-04-13 22:55:56 2026-02-06 17:59:35

文档预览

2018考研数学二真题公众号:小乖考研免费分享_05.数学二历年真题_普通版本数学二_2018年考研数学二真题及解析
2018考研数学二真题公众号:小乖考研免费分享_05.数学二历年真题_普通版本数学二_2018年考研数学二真题及解析
2018考研数学二真题公众号:小乖考研免费分享_05.数学二历年真题_普通版本数学二_2018年考研数学二真题及解析
2018考研数学二真题公众号:小乖考研免费分享_05.数学二历年真题_普通版本数学二_2018年考研数学二真题及解析
2018考研数学二真题公众号:小乖考研免费分享_05.数学二历年真题_普通版本数学二_2018年考研数学二真题及解析
2018考研数学二真题公众号:小乖考研免费分享_05.数学二历年真题_普通版本数学二_2018年考研数学二真题及解析

文档信息

文档格式
pdf
文档大小
0.250 MB
文档页数
3 页
上传时间
2026-02-06 17:59:35

文档内容

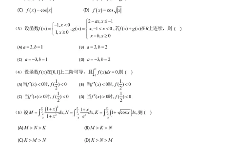
2018 年全国硕士研究生入学统一考试数学二试题 一、选择题:1~8小题,每小题4分,共32分。下列每题给出的四个选项中,只有一个选项是符合题目要求的. 1 (1)若lim(ex ax2 bx)x2 1,则( ) x0 1 1 1 1 (A)a  ,b1 (B)a  ,b1 (C)a ,b1 (D)a ,b1 2 2 2 2 (2)下列函数中,在x  0处不可导的是( ) (A) f x x sin x (B) f  x  x sin x (C) f xcos x (D) f  x cos x 2ax,x1 1,x0  (3)设函数f(x) ,g(x)x,1 x0 ,若f(x)g(x)在R上连续,则 ( ) 1,x0   xb,x0 (A)a 3,b1 (B) a 3,b2 (C) a 3,b1 (D) a 3,b2 1 (4)设函数f(x)在[0,1]上二阶可导,且 f(x)dx0,则( ) 0 1 1 (A)当f(x)0时, f( )0 (B) 当f(x)0时, f( )0 2 2 1 1 (C) 当f(x)0时, f( )0 (D) 当f(x)0时, f( )0 2 2   1x 2  1x    (5)设M  2 dx,N  2 dx,K  2 1 cosx dx,则( )   1x2   ex   2 2 2 (A)M  N  K (B)M K  N (C)K M  N (D)K  N M 0 2x2 1 2x2 (6) dx (1xy)dy dx (1xy)dy ( ) 1 x 0 x 5 5 7 7 (A) (B) (C) (D) 3 6 3 6 1 1 0   (7)下列矩阵中与矩阵 0 1 1 相似的为( )     0 0 1 1 1 1 1 0 1     (A) 0 1 1 (B) 0 1 1         0 0 1  0 0 1 1 1 1 1 0 1     (C) 0 1 0 (D) 0 1 0         0 0 1  0 0 1  (8)设A,B为n阶矩阵,记r  X 为矩阵X的秩, X,Y 表示分块矩阵,则( ) (A) r  A,AB r  A  (B) r  A,BA r  A  (C) r  A,B max  r  A  ,r  B  (D) r  A,B r  ATBT  二、填空题:9~14题,每小题4分,共24分. (9) lim x2[arctan(x1)arctanx] x (10)曲线y  x2 2lnx在其拐点处的切线方程是  1 (11) dx 5 x2 4x3 xcos3t  (12)曲线 ,在t  对应点处的曲率为 y sin3t 4 z (13)设函数z  x,y 由方程lnzez1 xy确定,则 1  x (2, ) 2 (14)设A为3阶矩阵,,,是线性无关的向量组,若A 2  ,A  2,A  , 1 2 3 1 1 2 3 2 2 3 3 2 3 则A的实特征值为 . 三、解答题:15~23小题,共94分。解答应写出文字说明、证明过程或演算步骤. (15)(本题满分10分) 求不定积分e2xarctan ex 1dx. (16)(本题满分10分) x x 已知连续函数f(x)满足 f(t)dt tf(xt)dt ax2 0 0 (I)求f(x); (II)若f(x)在区间[0,1]上的平均值为1,求a的值. (17)(本题满分10分) xtsint, 设平面区域D由曲线 (0t 2)与x轴围成,计算二重积分(x 2y)d. y 1cost D(18)(本题满分10分) 已知常数k ln21.证明:(x1)(xln2x2klnx1)0. (19)(本题满分10分) 将长为2m的铁丝分成三段,依次围成圆、正方形与正三角形.三个图形的面积之和是否存在最小值? 若存在,求出最小值. (20)(本题满分11分) 4 已知曲线L: y  x2(x0),点O  0,0  ,点A  0,1  .设P是L上的动点,S是直线OA与直线AP及曲线L 9 所围成图形的面积,若P运动到点 3,4 时沿x轴正向的速度是4,求此时S关于时间t的变化率. (21)(本题满分11分) 设数列 x 满足:x 0,x ex n1 ex n 1(n1,2,),证明 x 收敛,并求limx . n 1 n n n n (22)(本题满分11分) 设实二次型f(x ,x ,x )(x ,x x )2 (x x )2 (x ax )2,其中a是参数. 1 2 3 1 2 3 2 3 1 3 (I) 求f(x ,x ,x ) 0的解; 1 2 3 (II) 求f(x ,x ,x )的规范形. 1 2 3 (23)(本题满分11分) 1 2 a   1 a 2     已知a是常数,且矩阵A= 1 3 0 可经初等列变换化为矩阵B= 0 1 1 .         2 7 a  1 1 1 (I) 求a; (II) 求满足AP  B的可逆矩阵P.