当前位置:首页>文档>2018考研数学二真题公众号:小乖考研免费分享_05.数学二历年真题_普通版本数学二_2018年考研数学二真题及解析

2018考研数学二真题公众号:小乖考研免费分享_05.数学二历年真题_普通版本数学二_2018年考研数学二真题及解析

  • 2026-04-06 04:00:59 2026-02-06 17:59:31

文档预览

2018考研数学二真题公众号:小乖考研免费分享_05.数学二历年真题_普通版本数学二_2018年考研数学二真题及解析
2018考研数学二真题公众号:小乖考研免费分享_05.数学二历年真题_普通版本数学二_2018年考研数学二真题及解析
2018考研数学二真题公众号:小乖考研免费分享_05.数学二历年真题_普通版本数学二_2018年考研数学二真题及解析
2018考研数学二真题公众号:小乖考研免费分享_05.数学二历年真题_普通版本数学二_2018年考研数学二真题及解析
2018考研数学二真题公众号:小乖考研免费分享_05.数学二历年真题_普通版本数学二_2018年考研数学二真题及解析
2018考研数学二真题公众号:小乖考研免费分享_05.数学二历年真题_普通版本数学二_2018年考研数学二真题及解析
2018考研数学二真题公众号:小乖考研免费分享_05.数学二历年真题_普通版本数学二_2018年考研数学二真题及解析
2018考研数学二真题公众号:小乖考研免费分享_05.数学二历年真题_普通版本数学二_2018年考研数学二真题及解析

文档信息

文档格式
docx
文档大小
0.130 MB
文档页数
4 页
上传时间
2026-02-06 17:59:31

文档内容

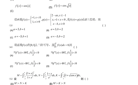
2018年全国硕士研究生入学统一考试数学二试题 一、选择题:1~8小题,每小题4分,共32分。下列每题给出的四个选项中,只有一个选项是符合题目要求的. (1) ( ) (A) (B) (C) (D) (2)下列函数中,在 处不可导的是( ) (A) (B) (D) (C) (3) ( ) (A) (B) (C) (D) (4) ( ) (A) (B) (C) (D) (5)设 则( ) (A) (B) (C) (D) (6) ( ) (A) (B) (C) (D) (7)下列矩阵中与矩阵 相似的为( )(A) (B) (C) (D) (8) 则( ) (A) (B) (C) (D) 二、填空题:9~14题,每小题4分,共24分. (9) (10) (11) (12) (13) (14) 则 的实特征值为 . 三、解答题:15~23小题,共94分。解答应写出文字说明、证明过程或演算步骤. (15)(本题满分10分) (16)(本题满分10分) (I) (II) (17)(本题满分10分)(18)(本题满分10分) 证明: 已知常数 (19)(本题满分10分) (20)(本题满分11分) 曲线 已知 (21)(本题满分11分) (22)(本题满分11分) (I) (II) (23)(本题满分11分) (I) (II)