当前位置:首页>文档>山东省泰安市2026届高三上学期期中考试数学答案_251118山东省泰安市2026届高三上学期期中考试(全科)

山东省泰安市2026届高三上学期期中考试数学答案_251118山东省泰安市2026届高三上学期期中考试(全科)

  • 2026-04-12 17:13:17 2026-02-08 18:59:40

文档预览

山东省泰安市2026届高三上学期期中考试数学答案_251118山东省泰安市2026届高三上学期期中考试(全科)
山东省泰安市2026届高三上学期期中考试数学答案_251118山东省泰安市2026届高三上学期期中考试(全科)
山东省泰安市2026届高三上学期期中考试数学答案_251118山东省泰安市2026届高三上学期期中考试(全科)
山东省泰安市2026届高三上学期期中考试数学答案_251118山东省泰安市2026届高三上学期期中考试(全科)
山东省泰安市2026届高三上学期期中考试数学答案_251118山东省泰安市2026届高三上学期期中考试(全科)
山东省泰安市2026届高三上学期期中考试数学答案_251118山东省泰安市2026届高三上学期期中考试(全科)
山东省泰安市2026届高三上学期期中考试数学答案_251118山东省泰安市2026届高三上学期期中考试(全科)
山东省泰安市2026届高三上学期期中考试数学答案_251118山东省泰安市2026届高三上学期期中考试(全科)
山东省泰安市2026届高三上学期期中考试数学答案_251118山东省泰安市2026届高三上学期期中考试(全科)
山东省泰安市2026届高三上学期期中考试数学答案_251118山东省泰安市2026届高三上学期期中考试(全科)

文档信息

文档格式
pdf
文档大小
0.234 MB
文档页数
6 页
上传时间
2026-02-08 18:59:40

文档内容

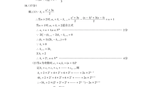
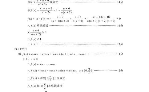
高 三 年 级 考 试 数学试题参考答案及评分标准 2025.11 一、单项选择题: 题 号 1 2 3 4 5 6 7 8 答 案 B D B C D A B A 二、多项选择题: 题 号 9 10 11 答 案 AC ACD ABD 三、填空题: 12. -2 13. [8 - 4 2,8 + 4 2 ] 14. 506 四、解答题: ( 分) 15. 13 解:(1)函数f x 的定义域为 ( ) (0,+∞) a x a 2 f' x x - ……………………………………………………… 分 ( ) = - x = x 1 当a 时,f' x f x 在 上单调递增………………………… 分 ≤ 0 ( ) > 0 , ( ) (0,+∞) 3 当a 时,令f' x ,解得x a ……………………………………… 分 > 0 ( ) = 0 = 4 当x a 时 f' x f x 单调递减 ∈ (0, ) , ( ) < 0, ( ) 当x a 时 f' x f x 单调递增 ……………………………… 分 ∈ ( ,+∞) , ( ) > 0, ( ) 6 ( 2)由(1)知,当a 时, f' x 在 上单调递增,无极值 …………………… 分 ≤ 0 ( ) (0,1] 8 当 a 即a 时,f x 在 上单调递减,无极值 ………………… 分 ≥ 1 ≥ 1 ( ) (0,1] 10 当 a 即 a 时,f x 在 a 单调递减,在 a 单调递增 0 < < 1 0 < < 1 ( ) (0, ) ( ,1] …………………………………………………………………………… 11分 所以f x 有极小值f a 1 a a a a a 7 a ,无极大值 ( ) ( ) = - ln + 3 = ( - ln ) 2 2 ……………………………………………………………………………… 分 13 16.( 15分) 解:(1) f x 为奇函数 ∵ ( ) 定义域关于原点对称 ∴ 而f x 定义域为 x|x a ( ) { ≠- } a 即a …………………………………………………………… 3分 ∴- = 0 = 0 x bx c c 则f x 2 + 2 + x b ( ) = x = + x + 2 高三数学试题参考答案 第 页 (共 页) 1 6f x f x ∵ (- ) =- ( ) b ……………………………………………………………………… 6分 ∴ = 0 (2) f x 图象过 且点 ab 在直线y x 上 ∵ ( ) (1,4) ( , ) = 2 + 1 ì b c ïï 1 + 2 + í4 = a 解得c ………………………………………… 8分 ∴ïïïï 1 + , = 1 îb a = 2 + 1 x a x 2 f x + (4 + 2) + 1 ∴ ( ) = x a + 又 f x 在 上有两个不同零点等价于g x x 2 a x 在 ∵ ( ) (-4,0) ( ) = +(4 + 2) + 1 (-4,0) 有两个不同零点且零点不为 a - ì a ïïïï -4 <-(2 + 1) < 0 í a 2 ∴ïï △ = (4 + 2) - 4 > 0 î ïïg 2 a (-4) = (-4) - 4(4 + 2) + 1 > 0 解得 a 9 ……………………………………………………………… 分 0 < < 12 16 又x a ≠- a a a 2 ∴(- ) +(4 + 2)(- ) + 1 ≠ 0 a 1 ……………………………………………………………………… 分 ∴ ≠ 14 3 综上,a的取值范围为 1 1 9 …………………………………… 分 (0, ) ⋃ ( , ) 15 3 3 16 17.( 15分) 解:(1) a C B b c A ∵ (cos - cos ) = ( + )cos A C A C B A B A ……………………… 2分 ∴ sin cos - cos sin = sin cos + cos sin A C A B C ………………………………………… 分 ∴ sin( - ) = sin( + ) = sin 3 A C C或A C C(舍去)……………………………………… 分 ∴ - = - = π - 4 A C……………………………………………………………………… 分 ∴ = 2 6 (2) S S S ,AD是 BAC的平分线,且AD ………………… 分 ∵ △ ABC = △ ABD + △ ACD ∠ = 2 8 1bc C 1 c AD C 1 b AD C ∴ sin2 = × × sin + × × × sin 2 2 2 bc C C b c ∴ sin2 = 2sin ( + ) bc C b c ∴ cos = + 又 C 3 cos = 5 3bc b c ……………………………………………… 11分 ∴ = + 5 高三数学试题参考答案 第 页 (共 页) 2 63 1 1 b c ∴ = c + b ( > 0, > 0) 5 b c 5 b c 1 1 …………………………………………… 13分 ∴ 2 + = (2 + )( b + c ) 3 b c 5 2 = (3 + c + b ) 3 b c b c 2 ∵ > 0, > 0, c + b ≥ 2 ………………………………………………… 14分 当且仅c b时等号成立 = 2 …………………………………………………… 15分 b c 10 2 ∴(2 + )min = 5 + 3 18.( 17分) n n 2 解:(1) S + 3 ∵ n = 2 n n n n 2 2 当n 时,a S S + 3 ( - 1) + 3( - 1) n ∴ ≥ 2 n = n - n -1 = - = + 1 2 2 当n 时,a S 适合上式 = 1 1 = 1 = 2 a n n N ………………………………………………………… 2分 ∴ n = + 1, ∈ b b b b ∵ 2 2n - ( n +1 - 2) n - n +1 = 0 b b b ∴( n + 1)(2 n - n +1) = 0 b ∵ n > 0 b b ∴ n +1 = 2 n 又b 1 = 2 b n n N …………………………………………………………… 4分 ∴ n = 2 , ∈ (2)当n为奇数时,c a b n n n = n n = ( + 1)2 记A c c c c ,则 n = 1 + 3 + 5 + …… + 2 n -1 A n n n = 2 × 2 1 + 4 × 2 3 + 6 × 2 5 + …… + 2 × 2 2 -1 A n n 4 n = 2 × 2 3 + 4 × 2 5 + 6 × 2 7 + …… + 2 × 2 2 +1 A n n n ∴-3 n = 2 ×(2 1 + 2 3 + 2 5 + …… + 2 2 -1 ) - 2 × 2 2 +1 n 2 1 - 2 2 +1 n 2 n +1 = 2 × - 2 × 2 1 - 4 1 n 2 n +2 4 = ( - ) × 2 - 3 3 n ∴ A n = ( - 1 ) × 2 2 n +2 + 4………………………………………………… 7 分 3 9 9 n n n n +2 当n为偶数时,c (2 - 3 )2 2 2 n = n n = n - n ( + 2) + 2 高三数学试题参考答案 第 页 (共 页) 6 * * 3记B c c c ,则 n = 2 + 4 + …… + 2 n n n 2 4 4 6 2 2 +2 B 2 2 2 2 2 2 n = ( - ) + ( - ) + …… + ( n - n ) 2 4 4 6 2 2 + 2 n n 2 +2 2 +1 2 2 ……………………………………………… 分 = 2 - n = 2 - n 11 2 + 2 + 1 n n ∴ T 2 n = A n + B n = ( - 1 ) × 2 2 n +2 - n 2 2 +1 + 22 ……………………… 12 分 3 9 + 1 9 ()由na λ a n 恒成立 3 n - ( n - 1)( + 2) - 6 < 0 可得n n λn n 恒成立 ( + 1) - ( + 2) - 6 < 0 n n 2 即λ + - 6恒成立 ………………………………………………… 分 > n n 14 2 + 2 n n n 2 设f n + - 6 + 6 ( ) = n n = 1 - n n 2 + 2 ( + 2) n n n n 2 f n f n + 7 + 6 + 13 + 18 ( + 1) - ( ) =- n n + n n = n n n n > 0 ( + 1)( + 3) ( + 2) ( + 1)( + 2)( + 3) f n 单调递增 …………………………………………………………… 分 ∴ ( ) 16 n 又 + 6 n n > 0 ( + 2) f n ∴ ( ) < 1 λ …………………………………………………………………… 17分 ∴ ≥ 1 19.( 17分) 解:f x a x x x x a x x x ………………………… 分 ( ) = sin - cos + sin = ( + 1)sin - cos 1 (1) a ∵ = 0 f x x x x ∴ ( ) = sin - cos f' x x x x x x x x π …………………… 分 ∴ ( ) = cos - cos + sin = sin , ∈[0, ] 2 2 f' x 在 π 上恒成立 ∴ ( ) ≥ 0 [0, ] 2 f x 在 π 上单调递增 ∴ ( ) [0, ] 2 又f f π (0) = 0, ( ) = 1 2 f x 值域为 ………………………………………………………… 分 ∴ ( ) [0,1] 3 (2)i) f' x a x x x x π ( ) = cos + sin , ∈[0, ] 2 当a 时,f' x 恒成立 ≥ 0 ( ) ≥ 0 f x 在 π 上单调递增,不合题意 …………………………………… 分 ∴ ( ) [0, ] 5 2 高三数学试题参考答案 第 页 (共 页) 4 6当a 时,设g x f' x a x x x,则 < 0 ( ) = ( ) = cos + sin g' x a x x x x ……………………………………………… 分 ( ) =- sin + sin + cos 6 x π ∵ ∈[0, ] 2 a x x x x ∴- sin ≥ 0, sin ≥ 0, cos ≥ 0 g x 恒成立 ∴ ′( ) ≥ 0 g x 在 π 上单调递增 ………………………………………………… 分 ∴ ( ) [0, ] 7 2 又g a g π π (0) = < 0, ( ) = > 0 2 2 x π ,使得g x ∴ ∃ 0 ∈[0, ] ( 0)= 0 2 当x x 时,f' x ,当x x π 时,f' x ∈[0, 0) ( ) < 0 ∈( 0, ] ( ) > 0 2 f x 存在唯一的极小值 ∴ ( ) a的取值范围为 …………………………………………………… 分 ∴ (-∞,0) 9 ii) a,使a f x t t R 恒成立,由i)知 x ,使得f x f x ∵ ∃ ≤ 2( ( ) + ) ( ∈ ) ∃ 0 ( ) ≥ ( 0) a f x t a x x x t ∴ ≤ 2( ( 0) + ) = 2[( + 1)sin 0 - 0cos 0 + ] t a 1 x x x x ……………………………………… 分 ∴ ≥ ( - sin 0) - sin 0 + 0cos 0 10 2 f' x a x x x ∵ ( 0) = cos 0 + 0sin 0 = 0 x x a 0sin 0 ……………………………………………………………… 分 ∴ =- x 11 cos 0 x x t 0sin 0 1 x x x x ∴ ≥- x ( - sin 0) - sin 0 + 0cos 0 cos 0 2 x 2 x 1 x x 0sin 0 - 0sin 0 x x x 2 = x - sin 0 + 0cos 0 cos 0 x 1 x x 0 - 0sin 0 x …………………………………………………… 分 2 = x - sin 0 13 cos 0 x 1 x x - sin 设φ x x,则 2 ( ) = x - sin cos 1 x x 1 x x x x 1 x x (1 - cos - sin )cos + sin ( - sin ) φ' x x 2 2 2 ( ) = x - cos 2 cos x 1 x x x (sin - )(sin cos + ) ………………………………………… 分 2 = x 15 2 cos 高三数学试题参考答案 第 页 (共 页) 5 6x π ∵ ∈[0, ] 2 当x π 时,φ' x φ x 单调递减 ∴ ∈[0, ] ( ) < 0 , ( ) 6 当x π π 时,φ' x φ x 单调递增 ∈[ , ] ( ) > 0 , ( ) 6 2 φ x φ π 3π 1,此时a 3π ………………………… 分 ∴ ( )min = ( ) = - =- 16 6 12 2 18 t 3π 1 ∴ ≥ - 12 2 t的最小值为 3π 1 …………………………………………………… 分 ∴ - 17 12 2 高三数学试题参考答案 第 页 (共 页) 6 6