当前位置:首页>文档>江西省2026届高三11月一轮复习阶段检测数学答案_251115上进联考·江西省2026届高三11月一轮复习阶段检测(全)

江西省2026届高三11月一轮复习阶段检测数学答案_251115上进联考·江西省2026届高三11月一轮复习阶段检测(全)

  • 2026-04-04 09:10:46 2026-02-08 20:28:18

文档预览

江西省2026届高三11月一轮复习阶段检测数学答案_251115上进联考·江西省2026届高三11月一轮复习阶段检测(全)
江西省2026届高三11月一轮复习阶段检测数学答案_251115上进联考·江西省2026届高三11月一轮复习阶段检测(全)
江西省2026届高三11月一轮复习阶段检测数学答案_251115上进联考·江西省2026届高三11月一轮复习阶段检测(全)
江西省2026届高三11月一轮复习阶段检测数学答案_251115上进联考·江西省2026届高三11月一轮复习阶段检测(全)
江西省2026届高三11月一轮复习阶段检测数学答案_251115上进联考·江西省2026届高三11月一轮复习阶段检测(全)
江西省2026届高三11月一轮复习阶段检测数学答案_251115上进联考·江西省2026届高三11月一轮复习阶段检测(全)
江西省2026届高三11月一轮复习阶段检测数学答案_251115上进联考·江西省2026届高三11月一轮复习阶段检测(全)
江西省2026届高三11月一轮复习阶段检测数学答案_251115上进联考·江西省2026届高三11月一轮复习阶段检测(全)
江西省2026届高三11月一轮复习阶段检测数学答案_251115上进联考·江西省2026届高三11月一轮复习阶段检测(全)
江西省2026届高三11月一轮复习阶段检测数学答案_251115上进联考·江西省2026届高三11月一轮复习阶段检测(全)

文档信息

文档格式
pdf
文档大小
0.304 MB
文档页数
6 页
上传时间
2026-02-08 20:28:18

文档内容

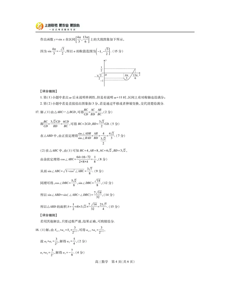
江西省 2026届高三 11月一轮复习阶段检测 数学参考答案及评分细则 1.【答案】A 【解析】依题意,A={x|-5≤x≤5},瓓B={x|x≤2},故A∪(瓓B)={x|x≤5}.故选A. U U 2.【答案】B a-a 【解析】记等差数列{a}的公差为d,依题意,S=7a=35,故a=5,则d=4 2=2.故选B. n 7 4 4 4-2 3.【答案】A 1 1 【解析】m=log10,n=log =-log10,4m·9n=4 log210×9 -log310=100× =1.故选A. 2 310 3 100 4.【答案】B 【解析】依题意,f(x)的定义域为(-4,4),关于原点对称.由函数 f(x)为奇函数,则 f(x)+f(-x)=ln(x+4)+ aln(4-x)+ln(-x+4)+aln(4+x)=(a+1)ln(16-x2)=0,解得a=-1.故选B. 5.【答案】C 【解析】构造平行四边形如下图所示,观察可知,x>0,y<0,x+y>0(当点P在x轴上时,x+y=0).故选C. & " ! # $ % 6.【答案】D ( π) π π 【解析】f(x)=2槡3sinxcosx-2cos2x+1-1=槡3sin2x-cos2x-1=2sin2x- -1.令2x- = +kπ(k∈Z),则2x= 6 6 2 2π 2π +kπ(k∈Z),则tan2m=tan =-槡3.故选D. 3 3 7.【答案】C ( π ) 【解析】易知f(x)的图象关于y轴对称,且在区间(0,+!)上单调递增,在区间(-!,0)上单调递减,故 f -x> 2 π π f(x) -x>xx< .故选C. 2 4 8.【答案】D 3m2+4m+12n-5n2 3m 4 125n 3m 4 125n 3m 2m+6n6m+18n5n 5m 【解析】依题意, ≥2λ,则 + + - ≥2λ.由 + + - = + + - = + mn n n m m n n m m n n m m n 13n 5m 13n +12≥2 槡 · +12=2槡65+12,当且仅当5m2=13n2时等号成立,则2槡65+12≥2λ,即 λ≤槡65+6,故实 m n m 数λ的取值范围为(-!,槡65+6].故选D. 高三数学 第 1页(共6页) 书书书9.【答案】ABD(每选对1个得2分) ( 1) x ( 1) m ( 1) n 2 【解析】因为y= 在R上单调递减,且m<n,所以 > ,故A正确;因为y=x3在区间(-!,0)上单调 2 2 2 递减,所以槡 3 m2>槡 3 n2,故B正确;因为y=x2-2x在区间(-!,0)上单调递减,所以 m2-2m>n2-2n,故 D正确;因 1 1 lg3 lg3 为-m>-n>0,所以1-m>1-n>1,所以lg(1-m)>lg(1-n)>0,所以 < ,所以 < ,即 lg(1-m)lg(1-n) lg(1-m)lg(1-n) log 3<log 3,故C错误.故选ABD. (-m+1) (-n+1) 10.【答案】AD(每选对1个得3分) 2 2 【解析】因为a∥b,所以3λ=(-2) ×(-1),解得 λ= ,故 A正确;因为 b⊥c,所以-1×2+ μ=0,解得 μ=3,则 3 3 (a-c)·c 槡2 c=(2,3),c=槡22+32=槡13,故 B错误;由 a-c=(1,-5),则 cos〈a-c,c〉= =- ,则〈a-c,c〉= a-c c 2 c 135°,故C错误;a-c在c上的投影向量为 a-c·cos〈a-c,c〉· =(-2,-3),故D正确.故选AD. c 11.【答案】ACD(每选对1个得2分) (1-3n+4)n (5-3n)n S 3n 5 S 【解析】若a=-3n+4,则 S= = ,故 n=- + .易知{ n }是递减数列,则数列{a}具有 n n 2 2 n 2 2 n n S S S “和性质”,故A正确;依题意, n > n+1 ,等价于(n+1)S>n(S+a ),等价于 S>na ,即 n >a ,故 B错误;令 n n+1 n n n+1 n n+1 n n+1 f(n)=S-na ,故f(n+1)-f(n)=(n+1)(a -a ),注意到 a -a =18n2-92n+111,因此当 n=2或3时, n n+1 n+1 n+2 n+1 n+2 a -a <0,当n=1或n≥4时,a -a >0,则f(1)<f(2)>f(3)>f(4)<f(5)<f(6)<…,则 f(n) =min{f(1), n+1 n+2 n+1 n+2 min f(4)},又f(1)=S-a=111>0,f(4)=S-4a=170>0,所以f(n)>0对任意n∈N恒成立,则数列{a}具有“和 1 2 4 5 n n 性质”,故C正确;记{b}的前n项和为T,h=b-b>0,h-h =n(b-b )(n≥2),h=h+∑(h-h )=b- n n 1 1 2 n n-1 n n+1 n 1 i i-1 1 i=2 b+2b-2b+3b-3b+…+nb-nb =T-nb >0,ab+ab+…+ab=S(b-b)+S(b-b)+…+S (b -b)+ 2 2 3 3 4 n n+1 n n+1 11 22 nn 1 1 2 2 2 3 n-1 n-1 n S S S S S S S Sb=1 (b-b)+2 (2b-2b)+…+n-1 [(n-1)b -(n-1)b] +n ·nb= 1 h+2 (h-h)+…+n-1 (h - n n 1 1 2 2 2 3 n-1 n-1 n n n 1 1 2 2 1 n-1 n-1 S (S S) (S S) (S S) ST S S h )+n ·nb=h 1-2 +h 2-3 +…+h n-1-n +n n ,因为 k > k+1 以及 h>0,所以 ab+ab+…+ n-2 n n 1 1 2 2 2 3 n-1 n-1 n n k k+1 k 11 22 ST ST na ·nb ab> n n ,而S>na ,T>nb ,故ab+ab+…+ab> n n > n+1 n+1=na b ,故数列{ab}具有“和性 n n n n n+1 n n+1 11 22 n n n n n+1 n+1 n n 质”,故D正确.故选ACD. 12.【答案】一 { 槡a2+b2-4=a, 【解析】设z=a+bi(a,b∈R),故槡a2+b2-4+8i=a+bi,则 解得a=6,b=8,故在复平面内,复数z所 b=8, 对应的点为(6,8),位于第一象限. 13.【答案】(-!,8] 【解析】依题意,x≠0,易知f(x)为偶函数,当x>0时,f(x)=logx+2x-8,此时f(x)单调递增,且 f(3)=log3+2× 3 3 3-8<0,f(4)=log4+2×4-8>0,故f(x)有2个零点x,x,其中x∈(-4,-3),x∈(3,4),则(n-m) =8,故实 3 1 2 1 2 min 数λ的取值范围为(-!,8]. 高三数学 第 2页(共6页)14.【答案】槡30 1 2 32 8 34-16cosC 【解析】依题意, absinC=4,而b=4a,则 a2= ,b2= ,ab= ,而 c2=a2+b2-2abcosC= , 2 sinC sinC sinC sinC 则c2sinC+16cosC=槡c4+162sin(C+φ)=34,故槡c4+162≥34,则c≥槡30,故c的最小值为槡30. 2 2 15.解:(1)当m=2时,f(x)=2x-2lnx- ,则f(1)=2×1-2ln1- =0,(2分) x 1 2 2 而f′(x)=2- + ,(3分) x x2 2 2 则f′(1)=2- + =2,(4分) 1 1 故所求切线方程为y-0=2(x-1),即y=2x-2.(6分) 2 m (2)依题意,f′(x)=m- + ,x∈(0,+!).(7分) x x2 2 m 2x 2 令f′(x)≥0,则m- + ≥0,得m≥ = ,(9分) x x2 x2+1 1 x+ x 1 1 而x+ ≥2 槡 x· =2,(10分) x x 当且仅当x=1时等号成立.(11分) 2 故 ≤1,则m≥1,即实数m的取值范围为[1,+!).(13分) 1 x+ x 【评分细则】 1.第(1)小题中直线方程用一般式或者斜截式均给满分; 2.第(2)小题中若使用其他方法,过程正确也给满分. π 5π π 5π 16.解:(1)由题意可知 ·ω- =kπ(k∈Z),则 ·ω= +kπ(k∈Z), 6 6 6 6 故ω=5+6k(k∈Z),(2分) T π π π 而 ≥ ,即 ≥ ,则0<ω≤12,故ω=5或ω=11.(4分) 2 12 ω 12 ( π) 当ω=5时,f(x)在区间 0, 上单调递增,符合题意;(6分) 12 ( 5π) (5π π) 当ω=11时,f(x)在区间 0, 上单调递增,在区间 , 上单调递减,不合题意,舍去.(7分) 66 6612 综上所述,ω=5.(8分) (2)令g(x)=0,则f(x)=a, ( 5π) ( π) 由(1)可知,f(x)=cos5x- =sin5x- ,(10分) 6 3 [ π π] π [4π13π] 故当x∈ , 时,5x- ∈ , ,(12分) 3 2 3 3 6 高三数学 第 3页(共6页)[4π13π] 作出函数y=sinx在区间 , 上的大致图象如下所示, 3 6 因为sin 4π =- 槡3 ,所以a的取值范围为 ( -1,- 槡3] .(15分) 3 2 2 " ! " # !$ ! %! !$! # " $ & #! 【评分细则】 1.第(1)小题中求出ω后未说明单调性,但是有说明ω=11时,区间上有对称轴也给满分; 2.第(2)小题中若是直接给出图象扣3分,若是通过平移或者伸缩变换,交代清楚给满分. BC AC AB 17.解:(1)由△ABC∽△BCD,可得 = = ,(2分) CD BD BC BC 3槡2CD 4CD 3槡2 即 = = ,可得BC=2CD,BD= CD.(5分) CD BD BC 2 sin∠ADB AB 4 4槡2 在△ABD中,由正弦定理得 = = = .(7分) sin∠BAD BD 3槡2 3 2 (2)在△ABC中,由(1)可知BC=4,AB=8,AC=6槡2,BD=3槡2, 64+16-72 1 由余弦定理得cos∠ABC= = ,(8分) 2×8×4 8 3槡7 从而sin∠ABC=槡1-cos2∠ABC= .(9分) 8 5槡2 槡14 同理可得,cos∠DBC= ,sin∠DBC= ,(12分) 8 8 7槡14 所以sin∠ABD=sin(∠ABC-∠DBC)= ,(14分) 32 1 7槡14 21槡7 所以△ABD的面积S= ×8×3槡2× = .(15分) 2 32 4 【评分细则】 若用其他解法,只要过程严谨,结果正确,可酌情给分. 3 3 18.(1)解:由S +a=S+ ,可得a +a= , n+1 n n 2n+1 n+1 n 2n+1 3 5 故a+a= ,解得a= ,(2分) 2 1 22 2 4 3 7 a+a= ,解得a=- .(4分) 3 2 23 3 8 高三数学 第 4页(共6页)1 ( 1) (2)解:由(1)可得a - =-a- ,(6分) n+1 2n+1 n 2n 1 1 又a- =-1≠0,故数列{a- }是以-1为首项、-1为公比的等比数列, 1 21 n 2n 1 1 则a- =(-1)n,即a=(-1)n+ .(9分) n 2n n 2n ( 1) n (3)证明:由(2)可得b=1-(-1)na=-- ,(10分) n n 2 1 [ ( 1) n] · 1-- 2 2 1[ ( 1) n] T= = 1-- .(12分) n ( 1) 3 2 1-- 2 1[ ( 1) n] 当n为奇数时,T= 1+ , n 3 2 易知T随着n的增大而减小, n 1 1 所以 <T≤T= .(14分) 3 n 1 2 1[ ( 1) n] 当n为偶数时,T= 1- , n 3 2 易知T随着n的增大而增大, n 1 1 所以 >T≥T= .(16分) 3 n 2 4 1 1 综上所述, ≤T≤ .(17分) 4 n 2 【评分细则】 1.第(1)小题直接给出a,a的值不扣分; 2 3 1 1 2.第(2)小题未说明a- =-1≠0,{a- }是等比数列,不扣分; 1 21 n 2n 3.第(3)小题若使用其他方法,过程正确也给满分. 1 19.(1)解:依题意,f′(x)=lnx+1,令f′(x)=0,解得x= ,(1分) e ( 1) 故当x∈ 0, 时,f′(x)<0,f(x)单调递减, e ( 1 ) 当x∈ ,+! 时,f′(x)>0,f(x)单调递增,(3分) e ( 1) 1 故f(x)的极小值为f =- ,无极大值.(4分) e e f(x) lnx (2)(i)证明:依题意,g(x)= = . x2 x 要证当x∈[2,+!)时,g(x+2)≤g(x),即证当x∈[2,+!)时,(x+2)lnx-xln(x+2)≥0. 令m(x)=(x+2)lnx-xln(x+2),x∈[2,+!), 高三数学 第 5页(共6页)x x+2 x 则m′(x)=ln + - ,(6分) x+2 x x+2 x 1 令r= ,设h(r)=lnr+ -r,r∈[0.5,1), x+2 r ( 1)2 3 -r- - 2 4 则h′(r)= <0,(8分) r2 所以h(r)为减函数,则h(r)>h(1)=0,则m′(x)>0,m(x)为增函数, 故m(x)≥m(2)=0,结论得证.(10分) (ii)证明:依题意,x∈[a,+!),g(x+t)≤g(x),则(x+t)lnx-xln(x+t)≥0. 令n(x)=(x+t)lnx-xln(x+t),x∈[a,+!), x x+t x 则n′(x)=ln + - ,(11分) x+t x x+t 1 由(2)知h(r)=lnr+ -r>0,所以n′(x)>0,所以n(x)为增函数, r 故n(x)≥n(a)=(a+t)lna-aln(a+t)≥0,a∈(1,e), 故原命题等价于当a∈(1,e)时,若x∈[a,+!),(a+t)lna-aln(a+t)≥0,求t需满足的条件.(14分) a 设I(t)=(a+t)lna-aln(a+t),则I(t)≥0,I′(t)=lna- , a+t a 由I′(t)=0得,t= -a,记为t, lna 0 故当0<t<t时,I′(t)<0,当t>t时,I′(t)>0,(15分) 0 0 因为I(0)=0,故I(t)<0; 0 又当t→+!时,I(t)→+!,故存在t∈(t,+!),使得I(t)=0, 1 0 1 所以当t∈(0,t)时,I(t)<0,当t∈(t,+!)时,I(t)>0, 1 1 ( ( a )) [ (2a2 )] ( a ) 又I2 -a =a2-ln -a2 <0,所以t>2 -a, lna lna 1 lna ( a ) tlna 所以由I(t)≥0可知,t>2 -a成立,即 >a-alna.(17分) lna 2 【评分细则】 使用其他方法过程正确也给满分. 高三数学 第 6页(共6页)