当前位置:首页>文档>精品解析:2022年江苏省南京市数学中考真题(原卷版)_中考真题_2.数学中考真题2015-2024年_2022中考数学真题145份13_精品解析:2022年江苏省南京市数学中考真题

精品解析:2022年江苏省南京市数学中考真题(原卷版)_中考真题_2.数学中考真题2015-2024年_2022中考数学真题145份13_精品解析:2022年江苏省南京市数学中考真题

  • 2026-03-17 20:00:36 2026-02-09 05:15:09

文档预览

精品解析:2022年江苏省南京市数学中考真题(原卷版)_中考真题_2.数学中考真题2015-2024年_2022中考数学真题145份13_精品解析:2022年江苏省南京市数学中考真题
精品解析:2022年江苏省南京市数学中考真题(原卷版)_中考真题_2.数学中考真题2015-2024年_2022中考数学真题145份13_精品解析:2022年江苏省南京市数学中考真题
精品解析:2022年江苏省南京市数学中考真题(原卷版)_中考真题_2.数学中考真题2015-2024年_2022中考数学真题145份13_精品解析:2022年江苏省南京市数学中考真题
精品解析:2022年江苏省南京市数学中考真题(原卷版)_中考真题_2.数学中考真题2015-2024年_2022中考数学真题145份13_精品解析:2022年江苏省南京市数学中考真题
精品解析:2022年江苏省南京市数学中考真题(原卷版)_中考真题_2.数学中考真题2015-2024年_2022中考数学真题145份13_精品解析:2022年江苏省南京市数学中考真题
精品解析:2022年江苏省南京市数学中考真题(原卷版)_中考真题_2.数学中考真题2015-2024年_2022中考数学真题145份13_精品解析:2022年江苏省南京市数学中考真题
精品解析:2022年江苏省南京市数学中考真题(原卷版)_中考真题_2.数学中考真题2015-2024年_2022中考数学真题145份13_精品解析:2022年江苏省南京市数学中考真题
精品解析:2022年江苏省南京市数学中考真题(原卷版)_中考真题_2.数学中考真题2015-2024年_2022中考数学真题145份13_精品解析:2022年江苏省南京市数学中考真题
精品解析:2022年江苏省南京市数学中考真题(原卷版)_中考真题_2.数学中考真题2015-2024年_2022中考数学真题145份13_精品解析:2022年江苏省南京市数学中考真题
精品解析:2022年江苏省南京市数学中考真题(原卷版)_中考真题_2.数学中考真题2015-2024年_2022中考数学真题145份13_精品解析:2022年江苏省南京市数学中考真题
精品解析:2022年江苏省南京市数学中考真题(原卷版)_中考真题_2.数学中考真题2015-2024年_2022中考数学真题145份13_精品解析:2022年江苏省南京市数学中考真题
精品解析:2022年江苏省南京市数学中考真题(原卷版)_中考真题_2.数学中考真题2015-2024年_2022中考数学真题145份13_精品解析:2022年江苏省南京市数学中考真题

文档信息

文档格式
docx
文档大小
0.690 MB
文档页数
8 页
上传时间
2026-02-09 05:15:09

文档内容

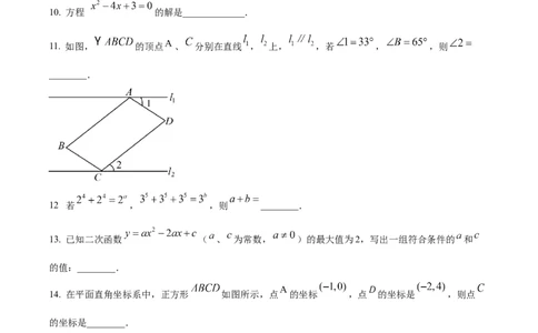
【淘宝搜索店铺:中小学教辅资源店 微信:mlxt2022】 南京市 2022 年初中学业水平考试 数学 一、选择题 1. ﹣3的相反数是( ) A. B. C. D. 2. 计算(a2)3,正确结果是( ) A. a5 B. a6 C. a8 D. a9 的 3. 估计12 算术平方根介于( ) A. 1和2之间 B. 2和3之间 C. 3和4之间 D. 4和5之间 4. 反比例函数 ( 为常数, )的图像位于( ) A. 第一、三象限 B. 第二、四象限 C. 第一、二象限 D. 第三、四象限 5. 已知实数 , , ,下列结论中一定正确的是( ) A. B. C. D. 6. 直三棱柱的表面展开图如图所示, , , ,四边形 是正方形,将其折叠 成直三棱柱后,下列各点中,与点 距离最大的是( )【淘宝搜索店铺:中小学教辅资源店 微信:mlxt2022】 A. 点 B. 点 C. 点 D. 点 二、填空题 的 7. 地球与月球 平均距离大约384000km,用科学记数法表示这个距离为__km. 8. 若 在实数范围内有意义,则 的取值范围是______. 9. 计算 的结果为__________. 10. 方程 的解是_____________. 11. 如图, 的顶点 、 分别在直线 , 上, ,若 , ,则 ________. . 12 若 , ,则 ________. 13. 已知二次函数 ( 、 为常数, )的最大值为2,写出一组符合条件的 和 的值:________. 14. 在平面直角坐标系中,正方形 如图所示,点 的坐标 ,点 的坐标是 ,则点 的坐标是________. 15. 如图,四边形 内接于 ,它的3个外角 , , 的度数之比为 ,【淘宝搜索店铺:中小学教辅资源店 微信:mlxt2022】 则 ________. 16. 如图,在平面直角坐标系,横、纵坐标均为整数的点案如下规律依序排列: , , , , , , , , , , , , , ,…按这个规律,则 是第________个点. 三、解答题 17. 先化简,再求值: ,其中 , . 18. 解不等式组: . 19. 某文印店用2660元购进一批白色复印纸和彩色复印纸,白色复印纸每箱80元,彩色复印纸每箱180 元,购买白色复印纸得箱数是彩色复印纸得箱数得5倍少3箱,求购买的白色复印纸得箱数和彩色复印纸 得箱数. 20. 某企业餐厅,有A、 两家公司可选择,该企业现连续10个工作日选择A公司,接着连续10个工作日 选择 公司,记录送餐用时(单位: )如下表:【淘宝搜索店铺:中小学教辅资源店 微信:mlxt2022】 1 2 3 4 5 6 7 8 9 10 3 2 2 A公司送餐用时 26 26 25 29 24 30 25 0 7 8 公司送餐用 2 3 1 20 18 16 32 15 35 15 时 1 4 4 根据上表数据绘制的折线统计图如图所示: (1)根据上述信息,请你帮该企业选择合适的公司订餐,并简述理由; (2)如果某工作日该企业希望送餐用时不超过 ,应选择哪家公司?请简述理由. 21. 甲城市有2个景点 、 ,乙城市由3个景点 、 、 ,从中随机选取景点游览,求下列事件的概 率: (1)选取1个景点,恰好在甲城市; (2)选取2个景点,恰好在同一个城市. 22. 如图, , 平分 ,交 于点 ,过点 作 ,交 于点 ,垂足 为 ,连接 ,求证:四边形 是菱形. 的 23. 如图,灯塔 位于港口 北偏东 方向,且 、 之间的距离为 ,灯塔 位于灯塔 的正 东方向,且 、 之间的距离为 ,一艘轮船从港口 出发,沿正南方向航行到达 处,测得灯塔【淘宝搜索店铺:中小学教辅资源店 微信:mlxt2022】 位于北偏东 方向上,这时, 处距离港口 有多远(结果取整数)?(参考数据: , , , , , ) 24. 如图,在 中, ,点 、 在 上, ,过 、 、 三点作 ,连接 并延长,交 于点 . (1)求证: ; (2)若 , , ,求 的半径长. 的 25. 某蔬菜基地有甲、乙两个用于灌溉 水池,他们的最大容量均为 ,原有水量分别为 、 ,现向甲、乙同时注水,直至两水池均注满为止,已知每分钟向甲、乙的注水量之和恒定为 ,若其中某一水池注满,则停止向该水池注水,改为向另一水池单独注水,设注水第 时,甲、 乙水池的水量分别为 、 .【淘宝搜索店铺:中小学教辅资源店 微信:mlxt2022】 (1)若每分钟向甲注水 ,分别写出 、 与 之间的函数表达式; (2)若每分钟向甲注水 ,画出 与 之间的函数图像; (3)若每分钟向甲注水 ,则甲比乙提前 注满,求 的值. 26. 如图,在矩形 中, , , 是 上一点, , 是 上的动点,连 接 , 是 上一点,且 ( 为常数, ),分别过点 、 作 、 的垂线相交 于点 ,设 的长为 , 的长为 . (1)若 , ,则 的值为________; (2)求 与 之间的函数表达式; (3)在点 从点 到点 的整个运动过程中,若线段 上存在点 ,则 的值应满足什么条件?直接 写出 的取值范围. 27. 在平面内,先将一个多边形以自身的一个顶点为位似中心放大或缩小,再将所得多边形沿过该点的直 线翻折,我们称这种变换为自位似轴对称变换,变换前后的图形成自位似轴对称. 例如:如图①,先将 以点 为位似中心缩小,得到 ,再将 沿过点 的直线 翻折, 得到 ,则 与 成自位似轴对称.【淘宝搜索店铺:中小学教辅资源店 微信:mlxt2022】 (1)如图②,在 中, , , ,垂足为 ,下列3对三角形:① 与 ;② 与 ;③ 与 .其中成自位似轴对称的是________(填 写所有符合条件的序号); (2)如图③,已知 经过自位似轴对称变换得到 , 是 上一点,用直尺和圆规作点 , 使 与 是该变换前后的对应点(保留作图痕迹,写出必要的文字说明); (3)如图④,在 中, 是 的中点, 是 内一点, , , 连接 ,求证: .【淘宝搜索店铺:中小学教辅资源店 微信:mlxt2022】