当前位置:首页>文档>精品解析:2022年湖南省娄底市中考生物真题(原卷版)_中考真题_8.生物中考真题2015-2024年_2022年全国中考生物114份14

精品解析:2022年湖南省娄底市中考生物真题(原卷版)_中考真题_8.生物中考真题2015-2024年_2022年全国中考生物114份14

  • 2026-04-02 08:19:34 2026-02-09 08:45:31

文档预览

精品解析:2022年湖南省娄底市中考生物真题(原卷版)_中考真题_8.生物中考真题2015-2024年_2022年全国中考生物114份14
精品解析:2022年湖南省娄底市中考生物真题(原卷版)_中考真题_8.生物中考真题2015-2024年_2022年全国中考生物114份14
精品解析:2022年湖南省娄底市中考生物真题(原卷版)_中考真题_8.生物中考真题2015-2024年_2022年全国中考生物114份14
精品解析:2022年湖南省娄底市中考生物真题(原卷版)_中考真题_8.生物中考真题2015-2024年_2022年全国中考生物114份14
精品解析:2022年湖南省娄底市中考生物真题(原卷版)_中考真题_8.生物中考真题2015-2024年_2022年全国中考生物114份14
精品解析:2022年湖南省娄底市中考生物真题(原卷版)_中考真题_8.生物中考真题2015-2024年_2022年全国中考生物114份14
精品解析:2022年湖南省娄底市中考生物真题(原卷版)_中考真题_8.生物中考真题2015-2024年_2022年全国中考生物114份14
精品解析:2022年湖南省娄底市中考生物真题(原卷版)_中考真题_8.生物中考真题2015-2024年_2022年全国中考生物114份14
精品解析:2022年湖南省娄底市中考生物真题(原卷版)_中考真题_8.生物中考真题2015-2024年_2022年全国中考生物114份14
精品解析:2022年湖南省娄底市中考生物真题(原卷版)_中考真题_8.生物中考真题2015-2024年_2022年全国中考生物114份14
精品解析:2022年湖南省娄底市中考生物真题(原卷版)_中考真题_8.生物中考真题2015-2024年_2022年全国中考生物114份14
精品解析:2022年湖南省娄底市中考生物真题(原卷版)_中考真题_8.生物中考真题2015-2024年_2022年全国中考生物114份14
精品解析:2022年湖南省娄底市中考生物真题(原卷版)_中考真题_8.生物中考真题2015-2024年_2022年全国中考生物114份14
精品解析:2022年湖南省娄底市中考生物真题(原卷版)_中考真题_8.生物中考真题2015-2024年_2022年全国中考生物114份14

文档信息

文档格式
docx
文档大小
0.629 MB
文档页数
10 页
上传时间
2026-02-09 08:45:31

文档内容

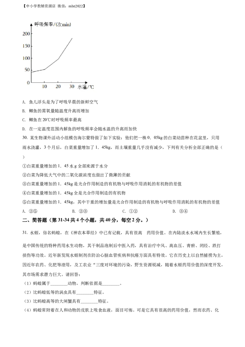
【中小学教辅资源店 微信:mlxt2022】 2022 年湖南省娄底市中考生物试卷 一、选择题(30个小题,共60分。每小题2分。每小题只有一个正确答案) 1. 今年五一劳动节,天气晴朗,中午,小明在公园的裸地、草坪、树林三个地方分别测得空气湿度为 32%、41%、52%。请据此分析,得出结论( ) A. 生物可以影响环境 B. 影响空气湿度的只有植物蒸腾作用 C. 小草的蒸腾作用比树木的蒸腾作用强 D. 晴天的湿度比雨天高 2. 某班学生在学习使用显微镜。以下操作正确的是( ) A. 捂住右眼,用左眼观察,先对光再用低倍镜观察 B. 若想把左上方的细胞移到视野中央,应将玻片标本往右下方移 C. 换高倍物镜后,视野变暗,可用凹面镜反光使视野变亮 D. 换高倍物镜后,若想使视野更清晰,可调节粗准焦螺旋 3. 生物实验小组分别用黄瓜表层果肉细胞和人的口腔上皮细胞做材料制成临时装片,在显微镜下观察,并 绘制出细胞简图如图:据此分析正确的是( ) A. 两种细胞共有的结构有:细胞壁、细胞质、细胞核等 B. ②是细胞壁,对细胞起保护和支持作用 C. 甲图中的能量转换器只有线粒体 D. ④是细胞核,内有遗传物质DNA 4. 北欧人的鼻子高且长,这是与寒冷气候相适应的,由此你可以想到( ) ①鼻、咽、喉、气管、支气管、肺组成了呼吸道 ②呼吸道都有骨或软骨做支架,保证气体顺畅通过 ③北欧人鼻子高且长,有利于对吸入的寒冷干燥气体进行处理,使到达肺部的气体温暖、湿润 ④人呼吸时,会厌软骨会盖住喉口 . A ①② B. ②③ C. ①④ D. ②④ 5. 下列生活中常见的现象描述正确的是( ) A. “藕断丝连”中的“丝”来自植物体的营养组织【中小学教辅资源店 微信:mlxt2022】 B. 皮肤划破时人会感到疼痛说明皮肤内包含了神经组织等 C. 给栽培的果树打针输液,是为了输入有机物 D. 剥去树皮破坏了导管,植物会死亡 6. 娄底作为宜居城市,绿化完善、物种丰富,对于常见植物的描述,正确的是( ) A. 银杏的果皮为白色,俗称“白果” B. 油松的种子长在它的果实——球果里 C. 桃树种子外而包被甜美的果实有利于传播 D. 肾蕨具有类似茎和叶的分化,有假根,茎中没有导管 7. 观察比较兔和狼的牙齿,能分析得出( ) A. 兔的门齿发达适于磨碎食物 B. 狼的犬齿发达适于切断食物 C. 兔的牙齿包括门齿、犬齿和臼齿 D. 牙齿的分化提高了哺乳动物摄取和消化食物的能力 8. 关于谚语、诗句所蕴含的生物学知识,下列说法正确的是( ) A. “一猪生九仔,连母十个样”描述了生物的遗传现象 B. “落红不是无情物,化作春泥更护花”体现了微生物的分解作用 C. “一朝被蛇咬,十年怕井绳”体现的是非条件反射 D. “停车坐爱枫林晚,霜叶红于二月花”主要体现了光照对生物的影响 9. 如下表列出了4种食物(各100g)中除水和无机盐以外的主要成分,据表分析正确的是( ) 脂肪 蛋白质 维生素A(毫 维生素C(毫 维生素D(毫 食物 糖(克) (克) (克) 克) 克) 克) A 0.4 90 6 4 7 40 B 48.2 7 38 40 12 0 C 52 0.1 2.5 0 1 0 D 18 2 6 3 220 0【中小学教辅资源店 微信:mlxt2022】 A. 等量食物含能量最高的是C B. 最适合坏血病患者食用的是食物B C. 最有助于防治夜盲症的是食物D D. 食物A的消化更依赖于肝脏的功能 10. 如图表示人由受精卵发育成婴儿的过程,下列说法正确的是( ) A. ①②③表示细胞分化过程,④表示细胞分裂过程 B. 受精卵不断分裂,发育成胚泡,最终附着在输卵管内 C. 通过①②③④过程所产生的体细胞中染色体数量不变 D. 胎儿与母体进行物质交换的结构是羊水 11. 小雅喜欢听音乐,在听觉形成的过程中( ) A. 声波感受器位于鼓膜 B. 鼓膜产生振动通过听小骨传到内耳 C. 在耳蜗内形成听觉 D. 半规管内的感觉细胞感受声波产生神经冲动 12. 塞罕坝曾森林茂密,后因过度围是变为荒原。为防风固沙,在5年内,经三代人的努力,再次创造了 荒漠变绿洲的奇迹。对此,你有何认识( ) A. 人类活动对环境造成 的破坏都是无法修复的 B. 人类活动既有可能破坏环境,也可以改善环境 C. 植树造林只是为了获得大量的木材 D. 植树造林一定程度上可增强温室效应 13. 如图所示是人脑的结构,下列说法正确的是( ) A. ①是大脑,是运动、感觉、语言等生命活动的中枢 B. ③是脑干,是调节人体生理活动的最高级中枢 C. ②是小脑,是调节心跳等人体基本生命活动的中枢【中小学教辅资源店 微信:mlxt2022】 D. 婴儿尿床是因为③没有发育完全 14. 欣欣和父母一起观看冬奥会,当看到我国运动员夺冠时,一家人激动不已。不知不觉,神经系统和内 分泌系统在调节他们的情绪和行为。以下说法正确的是( ) A. 此时心跳加快、血压升高只是肾上腺素的作用 B. 此时大脑皮层特别兴奋,使肾上腺素分泌增多 C. 肾上腺素分泌增加,抑制大脑的兴奋性 D. 肾上腺素是垂体分泌的 15. 如图为某人血常规检验单,据图表分析正确的是( ) 医院检验科报告单(部分) 化验项目 测定值 正常参考值 (RBC)红细胞 3.8×1012个/L (4.0﹣5.5)×1012个/L (WBC)白细胞 11.8×109 (4.0﹣1.0)×109个/L (Hh)血红蛋白 85g/L 120﹣160g/L (PLT)血小板 210×109 (100﹣300)×109个/L A. ②数量过少,可能患贫血 B. ①数量过多,可能患炎症 C. ③数量正常,凝血功能正常 D. 血红蛋白低,高原反应不会过于强烈 的 16. 鳖,俗名“甲鱼”,营养价值高,乃宴席上品。关于它 说法,正确的是( ) A. 体表覆盖角质鳞片 B. 生殖和发育离不开水 C. 既能在陆地上生活又能在水中生活,属于两栖动物 D. 与鳄属于同一类动物 17. 许多动物都有保护色,这对它躲避敌害或捕食猎物非常有利,某实验小组通过实验模拟了保护色的形 成过程,下列说法正确的是( ) A. 小纸片模拟“猎物”,彩纸模拟“捕食者”的生活环境 B. “捕食者”可以特意寻找某种颜色的小纸片【中小学教辅资源店 微信:mlxt2022】 C. 每一代的“幸存者”不需要和它们产生的“后代”充分混合 D. 与彩纸颜色相同的“猎物”被“捕食”的概率高 18. 关于酒,有许多的脍炙人口诗句,读:“酒逢知己千杯少,话不投机半句多”。有所感悟,其中符合 健康生活理念的是( ) A. 常邀好友三五饮酒作乐 B. 与人交流讲究方法和技巧 C. 知心朋友可以开怀畅饮 D. 心情郁闷时找人喝酒聊天 19. 观察动物的行为非常有趣,下列观察笔记合理的是( ) A. 幼小的黑猩程模仿成年黑猩猩用蘸水的树技从蚊穴钓取白蚁的行为属于先天性行为 B. 蝶蛾类昆虫的雌虫分泌性外激素吸引雄虫的行为属于社会行为 C. 刚从受精卵孵化出来的菜青虫总是取食十字花科植物叶子的行为属于先天性行为 D. 马蜂受到袭击时,蜂群共同向侵犯者进攻,其行为属于攻击行为 20. 很多植物的花儿颜色鲜艳,内含花蜜,有关解释全部合理的是( ) ①是自然选择的结果 ②花蜜能为植物自己生长提供营养 ③能吸引昆虫传播花粉 ④美丽的花儿专为人类欣赏而开 ⑤体现了生物对环境的适应 A. ①②③ B. ①②④ C. ①③⑤ D. ①②⑤ 21. 细菌和真菌并非都有害,有些对人类是有益的。下列关于有益菌的说法正确的是( ) A. 制作葡萄酒用到的“菌”有成形的细胞核 B. 制作酸奶用到的乳酸菌可以进行孢子生殖 C. 人们利用毛霉制作豆腐乳,组成毛霉的直立菌丝能够深入到豆腐内部吸收营养 D. 甲烷菌是一种好氧菌,能利用有机物分解产生的氢,和二氧化碳结合生成甲烷 22. 某同学在《植物志》中检索到高粱、玉米、小麦、大豆、花生,发现它们在生物学上都属于被子植物, 若想把上述植物分为两类,则分类依据为( ) A. 有无种子 B. 胚内子叶的数目 C. 有无果实 D. 能否进行光合作用 23. 近年来,由于湿地面积的大量减少,丹顶鹤的生存受到严重威胁。为保护丹顶鹤,我国采取的主要措 施包括就地保护和迁地保护,并进行了相关研究和种群复壮工作,这说明( ) ①我国生物多样性面临着严重威胁,这绝不是危言耸听 ②为丰富我国的动植物资源,我国应大力引进外来物种,增加生物的多样性 ③对于珍稀濒危物种,要严格保护,除特殊需要经过批准,禁止一切形式的猎采和买卖 ④迁地保护是保护生物多样性最有效的措施 A. ①② B. ①④ C. ②③ D. ①③ 24. 生物通过生殖和发育,世代延续,生生不息。下列有关表述正确的是( )【中小学教辅资源店 微信:mlxt2022】 A. 竹子用地下茎生殖的方式属于有性生殖 B. 扦插薄荷时,插条下方的切口是水平的,上方的切口是斜向的 C. 若将黄色南瓜的柱头上授以白色南瓜的花粉,结出的果实颜色是白色 D. 采用茎尖进行植物组织培养可以有效的脱去病毒,从而获得更加健康的植株 25. 如图是蝗虫、家蚕、青蛙娃的发育示意图,下列分析正确的是( ) A. 青蛙的幼体用肺和皮肤呼吸 B. 家蚕的发育是完全变态发育 C. 青蛙的发育过程经过受精卵→幼蛙→成蛙三个过程 D. 在蝗虫的发育过程中,若虫对农作物的危害最大 26. 遗传使生命得以延续,变异使生物得以发展,下列关于遗传和变异的说法正确的是( ) A. 北极熊为了适应冰天雪地的环境而定向产生了白色的有利变异 B. 由于土壤肥力不同,两块地里的玉米茎秆高度不同,这样的变异是可遗传的变异 C. 一对灰毛家鼠杂交,子代出现了灰毛和黑毛,则理论上子代中灰毛:黑毛=1:1 D. 近亲结婚,后代患隐性遗传病的可能性会大大增加 27. 生命的起源充满奥秘,吸引人们不断探索,根据已有研究作出的推测,合理的是( ) A. 地质学研究表明,原始大气中存在着氧气和二氧化碳 B. 美国学者米勒的模拟实验可证明原始地球上能形成原始生命 C. 原始生命起源于原始海洋 D. 在现有的环境条件下,地球上还会形成原始生命 28. 研究生物进化的历程需要有一定的证据支持,下列有关证据及推测合理的是( ) A. 研究生物进化的唯一证据是化石 B. 一般来说,亲缘关系越近的生物,共同特征越少 C. 形成晚的地层中,化石种类少,结构复杂而高等 D. 马的前肢和鹰的翅膀虽有差别,但骨骼排列相似,可能是由共同的祖先进化而来的 29. 花花是一个善于思考的小女孩,一个夏天的早晨,花花注意到池塘里的鱼儿都浮在水面急促的张合着 小嘴,为此她设计了温度对鲫鱼呼吸频率影响的探究实验,并将实验结果绘制成以如图曲线图,经过分析 得出的结论正确的是( )【中小学教辅资源店 微信:mlxt2022】 A. 鱼儿浮头是为了呼吸早晨的新鲜空气 B. 鲫鱼的需氧量随温度升高而增加 C. 鲫鱼在20℃时呼吸频率最高 D. 在一定温度范围内解鱼的呼吸频率会随水温的升高而加快 30. 某生物课外活动小组模仿海尔蒙特做了如下实验:他们把一株0.05kg的白菜幼苗种在花盆里,只用 雨水浇灌,3个月后,白菜重量增加了1.45kg,而土壤重量几乎没有减少,下列有关分析全部正确的是( ) ①白菜重量增加的1.45水g全部来源于水分 ②白菜为降低大气中的二氧化碳浓度也做出了微薄的贡献 ③白菜重量增加的1.45kg是光合作用制造的有机物与呼吸作用消耗的有机物的差值 ④白菜重量增加的1.45kg全是光合作用制造的有机物 ⑤白菜重量增加的1.45kg,其中干重的增加量是光合作用制造的有机物与呼吸作用消耗的有机物的差值 A. ②⑤ B. ②③ C. ①② D. ③④ 二、简答题(第31-34共4个小题,共40分,每空2分。) 的 31. 水蛭,俗名蚂蝗,在《神农本草经》中已有记载,具有很高 药用价值。在内陆淡水水域内生长繁殖, 是中国传统的特种药用水生动物,其干制品泡制后中医入药,具有治疗中风、高血压、青瘀、闭经、跌打 损伤等功效。近年新发现水蛭制剂在防治心脑血管疾病和抗癌方面具有特效。它在历史上以自然捕捞为主, 因近年农药、化肥等澄用,及工农业“三废对环境的污染,野生资源锐减,随着水蛭药用价值的深度开发, 其市场需求潜力巨大。请回答: (1)蚂蝗属于________动物,判断依据是________。 (2)比蚂蝗低等的涡虫具有________特征。 (3)比蚂蝗高等的大闸蟹具有________特征。 (4)蚂蝗常附着在人和动物的皮肤上吸食血液,面目可怖。可是它具有很高的药用价值,然而农药、化【中小学教辅资源店 微信:mlxt2022】 肥的滥用和环境污染,蚂蝗数量锐减,对此,你有什么好的建议? 答:________。 . 32 根据人体循环系统模式图,用字母回答问题(必须用字母作答): (1)请写出肺循环的流程________。 (2)通过________处(除内脏器官)的气体交换,动脉血变成静脉血。 (3)人体代谢产生的大部分尿素是由血液流经________处滤出。 (4)营养物质吸收的主要部位是________。 (5)静脉注射青霉素会最先到达心脏的________处。 33. 新冠疫情仍在全球肆虐,我国为世界疫情防控做出巨大贡献。截至5月12日,我国累计报告接种新冠 疫苗33亿5857.6万剂次,接种总人数达到12亿8719.5万,覆盖人数占全国总人口的91.3%。我国己 向世界提供新冠疫苗和原液超7亿剂,数量超过其他国家的总和。让疫苗成为全球公共产品,中国做到了! 请回答下列问题: (1)新冠肺炎的传播途径主要是________。 (2)疫苗通常是指________。 (3)新冠病毒和感染新冠病毒的人在传染病学上分别叫做________。 (4)注射新冠疫苗增强对新冠病毒的免疫力属于人体的第________道防线。 (5)请简述疫苗的作用机理________。 34. 为探究种子萌发的环境条件,小芳进行了如下实验设计: 第一步:将4个罐头瓶贴上标签,分别编号为1、2、3、4,放倒,每个瓶中放上两张餐巾纸,再向每个瓶【中小学教辅资源店 微信:mlxt2022】 中撒上10粒绿豆种子; 第二步:向2、3号瓶中洒一些水,使里面的餐巾纸湿润,向4号瓶中倒入较多的水,直到水即将从瓶口流 出为止; 第三步:将1、2、4号瓶放入橱柜中,将3号瓶放到冰箱里; 第四步:过几天再观察各瓶内种子萌发的情况。 (1)请预测:种子能正常萌发的是________。 (2)1与2对照说明________。 (3)2与3对照说明________。 (4)2与4对照说明________。 (5)3与4是否能作为对照试验?为什么?________。【中小学教辅资源店 微信:mlxt2022】