当前位置:首页>文档>精品解析:2023年广东省中考道德与法治真题(解析版)_中考真题_7.政治中考真题2015-2024年_2023政治真题7.20_精品解析:2023年广东省中考道德与法治真题

精品解析:2023年广东省中考道德与法治真题(解析版)_中考真题_7.政治中考真题2015-2024年_2023政治真题7.20_精品解析:2023年广东省中考道德与法治真题

  • 2026-04-09 11:05:38 2026-02-09 18:37:07

文档预览

精品解析:2023年广东省中考道德与法治真题(解析版)_中考真题_7.政治中考真题2015-2024年_2023政治真题7.20_精品解析:2023年广东省中考道德与法治真题
精品解析:2023年广东省中考道德与法治真题(解析版)_中考真题_7.政治中考真题2015-2024年_2023政治真题7.20_精品解析:2023年广东省中考道德与法治真题
精品解析:2023年广东省中考道德与法治真题(解析版)_中考真题_7.政治中考真题2015-2024年_2023政治真题7.20_精品解析:2023年广东省中考道德与法治真题
精品解析:2023年广东省中考道德与法治真题(解析版)_中考真题_7.政治中考真题2015-2024年_2023政治真题7.20_精品解析:2023年广东省中考道德与法治真题
精品解析:2023年广东省中考道德与法治真题(解析版)_中考真题_7.政治中考真题2015-2024年_2023政治真题7.20_精品解析:2023年广东省中考道德与法治真题
精品解析:2023年广东省中考道德与法治真题(解析版)_中考真题_7.政治中考真题2015-2024年_2023政治真题7.20_精品解析:2023年广东省中考道德与法治真题
精品解析:2023年广东省中考道德与法治真题(解析版)_中考真题_7.政治中考真题2015-2024年_2023政治真题7.20_精品解析:2023年广东省中考道德与法治真题
精品解析:2023年广东省中考道德与法治真题(解析版)_中考真题_7.政治中考真题2015-2024年_2023政治真题7.20_精品解析:2023年广东省中考道德与法治真题
精品解析:2023年广东省中考道德与法治真题(解析版)_中考真题_7.政治中考真题2015-2024年_2023政治真题7.20_精品解析:2023年广东省中考道德与法治真题
精品解析:2023年广东省中考道德与法治真题(解析版)_中考真题_7.政治中考真题2015-2024年_2023政治真题7.20_精品解析:2023年广东省中考道德与法治真题
精品解析:2023年广东省中考道德与法治真题(解析版)_中考真题_7.政治中考真题2015-2024年_2023政治真题7.20_精品解析:2023年广东省中考道德与法治真题
精品解析:2023年广东省中考道德与法治真题(解析版)_中考真题_7.政治中考真题2015-2024年_2023政治真题7.20_精品解析:2023年广东省中考道德与法治真题
精品解析:2023年广东省中考道德与法治真题(解析版)_中考真题_7.政治中考真题2015-2024年_2023政治真题7.20_精品解析:2023年广东省中考道德与法治真题
精品解析:2023年广东省中考道德与法治真题(解析版)_中考真题_7.政治中考真题2015-2024年_2023政治真题7.20_精品解析:2023年广东省中考道德与法治真题
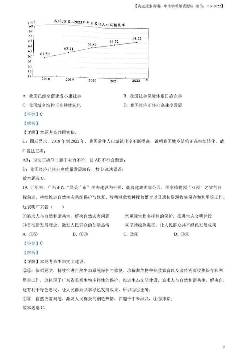
精品解析:2023年广东省中考道德与法治真题(解析版)_中考真题_7.政治中考真题2015-2024年_2023政治真题7.20_精品解析:2023年广东省中考道德与法治真题
精品解析:2023年广东省中考道德与法治真题(解析版)_中考真题_7.政治中考真题2015-2024年_2023政治真题7.20_精品解析:2023年广东省中考道德与法治真题
精品解析:2023年广东省中考道德与法治真题(解析版)_中考真题_7.政治中考真题2015-2024年_2023政治真题7.20_精品解析:2023年广东省中考道德与法治真题
精品解析:2023年广东省中考道德与法治真题(解析版)_中考真题_7.政治中考真题2015-2024年_2023政治真题7.20_精品解析:2023年广东省中考道德与法治真题

文档信息

文档格式
docx
文档大小
0.520 MB
文档页数
14 页
上传时间
2026-02-09 18:37:07

文档内容

【淘宝搜索店铺:中小学教辅资源店 微信:mlxt2022】 机密★启用前 2023 年广东省中考道德与法治真题 本试卷共6页,23小题,满分100分。考试用时60分钟。 注意事项:1.答卷前,考生务必用黑色字迹的钢笔或签字笔将自己的准考证号、姓名、考场 号和座位号填写在答题卡上。用2B铅笔在“考场号”和“座位号”栏相应位置填涂自己的考 场号和座位号。将条形码粘贴在答题卡“条形码粘贴处”。 2.作答选择题时,选出每小题答案后,用2B铅笔把答题卡上对应题目选项的答案信息点涂 黑;如需改动,用橡皮擦干净后,再选涂其他答案,答案不能答在试卷上。 3.非选择题必须用黑色字迹的钢笔或签字笔作答,答案必须写在答题卡各题目指定区域内相 应位置上:如需改动,先划掉原来的答案,然后再写上新的答案;不准使用铅笔和涂改液。 不按以上要求作答的答案无效。 4.考生必须保持答题卡的整洁。考试结束后,将试卷和答题卡一并交回。 一、选择题:本大题共20小题,每小题3分,共60分。在每小题给出的四个选项中,只有 一项是最符合题目要求的。 1. 随着我国航天事业的发展,“天宫课堂”不断升级。中国航天员在“九天之上”开展的科学实验,妙趣 横生,颠覆想象,为广大青少年打开了一扇触摸科学、爱上科学的窗口,激发了青少年对太空的无限向往。 这激励我们( ) ①热爱科学,开拓创新 ②激扬青春,我行我素 ③立志进取,明辨是非 ④自信自强,砥砺奋发 A. ①② B. ①④ C. ②③ D. ③④ 【答案】B 【解析】 【详解】本题考查弘扬创新精神。 ①④:题文中航天员开设“天宫课堂”有利于激励我们热爱科学,开拓创新的热情,有利于我们自信自强, 砥砺奋发,①④正确; ②:我行我素,是以自我为中心,不符合题意,②错误; ③:题文中开设“天宫课堂”未体现明辨是非,③不符合题意; 故本题选B。 2. 2023年3月,教育部等八部门联合印发了《全国青少年学生读书行动实施方案》。各地组织了各类读书 活动,引发了青少年爱读书、读好书、善读书的热潮。此类活动让青少年( ) A. 结束校园生活,规划好职业生涯 B. 激发学习热情,消除学习压力 C. 养成阅读习惯,树立终身学习观 D. 遵守公共秩序,推动社会进步 【答案】C 【解析】 1【淘宝搜索店铺:中小学教辅资源店 微信:mlxt2022】 【详解】本题考查终身学习。 C:教育部等八部门联合印发《全国青少年学生读书行动实施方案》,各地组织各类读书活动,有利于让 青少年养成阅读习惯,树立终身学习观,故C说法正确; A:青少年不能结束校园生活,故A说法错误; B:“消除学习压力”说法太绝对,故B说法错误; D:说法正确但与题干主旨不符,故D不符合题意; 故本题选C。 3. 在劳动中,青少年不断丰富对劳动意义的认识。从整理书包、家务劳动到志愿服务,劳动实践不仅让青 少年有能力做好自己的事,也为家人、朋友和社会带去爱与幸福。这告诉我们( ) ①热爱劳动能够传递美好的情感 ②参与劳动实践有利于塑造健康人格 ③在劳动实践中增强社会责任感 ④做更好的自己需要重视他人的评价 A. ①②③ B. ①②④ C. ①③④ D. ②③④ 【答案】A 【解析】 【详解】本题考查劳动的价值。 ①②③:劳动实践不仅让青少年有能力做好自己的事,也为家人、朋友和社会带去爱与幸福,告诉我们热 爱劳动能够传递美好的情感,参与劳动实践有利于塑造健康人格,在劳动实践中增强社会责任感 ,故 ①②③说法正确; ④:说法正确但不是劳动的价值,故④不符合题意; 故本题选A。 4. 为了帮助因先天性疾病而无法行走的小亮同学,全班同学组成互助小分队,男生负责背他上下楼,女生 负责背书包。在同学们的帮助下,小亮与同学们一起度过了快乐的中学时光。这让我们体会到( ) A. 诚实守信让我们崇德向善 B. 集体建设要避免内部竞争 C. 美好集体是民主和公正的 D. 美好集体充满关怀与友爱 【答案】D 【解析】 【详解】本题考查美好集体 的特征。 D:在同学们的帮助下,小亮与同学们一起度过了快乐的中学时光,让我们体会到美好集体充满关怀与友 爱,故D说法正确; AC:说法正确但与题干主旨不符,故AC不符合题意; B:集体建设要正确对待竞争,故B说法错误; 故本题选D。 2【淘宝搜索店铺:中小学教辅资源店 微信:mlxt2022】 5. 我国素来有“礼仪之邦”的美誉。“礼”体现一个人的尊重、谦让、与人为善等良好品质。下列行为能 体现此良好品质的是( ) A. 小吴聚餐时践行光盘行动 B. 小周积极参加校园活动 C. 小郑随手捡起地上的垃圾 D. 小王见到长辈主动问好 【答案】D 【解析】 【详解】本题考查文明礼仪的表现。 D:“礼”主要表现在语言文明、仪表端庄、举止文明等方面,小王见到长辈主动问好,体现语言文明、 对人有礼貌,D正确; A:体现勤俭节约的品质,未体现文明有礼,A不符合题意; B:参加校园活动,未体现文明有礼,B不符合题意; C:体现爱护环境的品质,未体现文明有礼,C不符合题意; 故本题选D。 6. 升入初中,几位同学交流了各自心中的小烦恼。以下相应建议合理的是( ) 小烦恼 建议 “唉,脸上长了好多症痘,真发愁呀……” ①悦纳生理变化,注重内在美 “马上要考试了,我焦虑得睡不着,怎么办呀?” ②尝试自我调节,转移注意力 “今天被老师批评了,他也太严格了!” ③对老师敬而远之,敬畏老师 “我一回到家,爸妈就唠叨我的学习,真烦!” ④培养批判性思维,拒绝沟通 A. ①② B. ①④ C. ②③ D. ③④ 【答案】A 【解析】 【详解】本题考查正确对待青春期的变化、正确对待考试焦虑。 ①:“唉,脸上长了好多症痘,真发愁呀……”这说明不能正确认识生理变化 ,建议他要悦纳生理变化, 注重内在美,故①正确; ②:“马上要考试了,我焦虑得睡不着,怎么办呀?”这说明存在考试压力和考试焦虑,建议他要尝试自 我调节,转移注意力,故②正确; ③:“今天被老师批评了,他也太严格了!”,我们要正确对待老师的批评,主动与老师沟通,不是敬而 远之,故③错误; ④:“我一回到家,爸妈就唠叨我的学习,真烦!”要加强与父母的互动沟通,理解父母行为中蕴含的爱, 3【淘宝搜索店铺:中小学教辅资源店 微信:mlxt2022】 不能拒绝沟通,故④错误; 故本题选A。 7. 图警示我们要( ) A. 自觉抵制不良诱惑,做到理性追星 B. 增强自我保护意识,慎重结交网友 C. 学会辨别网络信息,防范网络诈骗 D. 严格控制上网时间,合理使用手机 【答案】C 【解析】 【详解】本题考查理性参与网络生活。 C:漫画明星“招募”需谨慎,警示我们要学会辨别网络信息,防范网络诈骗,C正确; ABD:题文漫画明星“招募”需谨慎警示青少年要防范“招募”陷阱,未涉及理性追星、结交网友、控制 上网时间和使用手机的问题,ABD不符合题意; 故本题选C。 8. 2023年4月,全国工商联、教育部、人力资源和社会保障部启动了“百城万企”促就业行动,组织民营 企业参与校园招聘。这有利于实现公民的( ) A. 财产权 B. 劳动权 C. 物质帮助权 D. 受教育权 【答案】B 【解析】 【详解】本题考查劳动权。 B:依据教材知识,结合题文材料,“百城万企”促就业行动,组织民营企业参与校园招聘。这有利于实 现公民的劳动权,故B说法正确; ACD:题干强调的是劳动权,故ACD不符合题意; 故本题选B。 9. 党的二十大报告强调:“法治政府建设是全面依法治国的重点任务和主体工程。”在道德与法治课堂上, 同学们围绕“法治政府建设”主题开展讨论。下列选项符合主题的是( ) 4【淘宝搜索店铺:中小学教辅资源店 微信:mlxt2022】 A. 学校制定宿舍管理规定 B. 人民法院依法打击诈骗犯罪 C. 村民会议制定村规民约 D. 县民政局持续深化政务公开 【答案】D 【解析】 【详解】本题考查建设法治政府。 D:题文中县民政局持续深化政务公开,体现了依法行政,有利于建设法治政府,故D正确; A:学校不是政府部门,未体现法治政府建设,故A不符合题意; B:人民法院是我国的审判机关,未体现法治政府建设,故B不符合题意; C:村民会议的召开体现了基层民主,未体现法治政府建设,故C不符合题意; 故本题选D 。 10. 2023年广东省政府工作报告指出,实施国资国企高质量发展专项行动,推进战略性重组和专业化整合, 加快国有经济布局优化和结构调整,推动国有资本和国有企业做强做优做大。这是因为国有经济( ) 的 A. 是我国国民经济 主导力量 B. 是我国基本经济制度的基础 C. 在资源配置中起决定性作用 D. 是促进社会发展的决定因素 【答案】A 【解析】 【详解】本题考查国有经济、基本经济制度的相关知识。 A:题文中政府推动做强做优做大国民经济,是因为国有经济是我国国民经济的主导力量,故A正确; B:公有制经济是我国基本经济制度的基础,故B错误; C:市场在资源配置中起决定性作用,故C错误; D:创新是推动人类社会向前发展的重要力量,国有经济不是促进社会发展的决定因素,故D错误; 故本题选A。 11. 下列图示中“?”处应该填写的正确内容是( ) ? 被公安机关行政处罚 A. 赵某在电影院里接听电话 B. 李某借钱但到期不还 C. 王某多次打110谎报警情 D. 张某醉酒驾驶机动车 【答案】C 【解析】 【详解】本题考查违法行为的种类。 C:王某多次打110谎报警情,属于行政违法行为,会被公安机关行政处罚,故C说法正确; A:赵某在电影院里接听电话,是不道德行为,不构成违法,故A说法错误; 5【淘宝搜索店铺:中小学教辅资源店 微信:mlxt2022】 B:李某借钱但到期不还,属于民事违法行为,故B说法错误; D:张某醉酒驾驶机动车,属于刑事违法行为,故D说法错误; 故本题选C。 12. 2023年两会期间,十四届全国人大一次会议秘书处收到代表议案271件、代表建议8000多件,六成以 上是通过调研、走访等方式形成,承载着满满的民意。这表明( ) A. 全国人大代表密切联系人民群众 B. 全国人大是我国最高国家权力机关 C. 各级人民代表大会依法行使职权 D. 人民代表大会制度是基本政治制度 【答案】A 【解析】 【详解】本题考查人民代表大会的相关知识。 A:“十四届全国人大一次会议秘书处收到代表议案271件、代表建议8000多件,六成以上是通过调研、 走访等方式形成,承载着满满的民意”体现了全国人大代表更加密切地联系人民群众,依法行使人民赋予 的职权,故A符合题意; BC:“全国人大是我国最高国家权力机关”“各级人民代表大会依法行使职权”在题文材料中没有体现, 与题意内容无关,故BC不符合题意; D:人民代表大会制度是我国根本政治制度,故D说法错误; 故本题选A。 13. 下列信息表明( ) ◎2023年4月1日,《中华人民共和国黄河保护法》施行。 ◎2023年4月26日,《中华人民共和国青藏高原生态保护法》审议通过。 ◎2023年5月1日,新修订的《中华人民共和国野生动物保护法》施行。 A. 我国实现了经济社会可持续发展 B. 法律靠国家强制力保障实施 C. 全国人大行使了重大事项决定权 D. 国家加大生态环境保护力度 【答案】D 【解析】 【详解】本题考查生态文明建设。 D:题干中施行、通过的三部法律都是资源、环境保护方面的法律,体现了我国加大生态环境保护力度, 故D正确; ABC:题文中显示了我国生态环保方面的立法,未体现全国人大行使重大事项决定权、法律的强制性,也 6【淘宝搜索店铺:中小学教辅资源店 微信:mlxt2022】 不能表明我国实现了经济社会的可持续发展,故ABC不符合题意; 故本题选D。 14. 2023年4月,无障碍环境建设法草案二审稿提请全国人大常委会审议,拟推动既有住宅加装电梯或其 他无障碍设施,为残疾人、老年人等提供便利。这体现了( ) ①立法促进社会公平 ②同等情况同等对待的原则 ③司法守护社会正义 ④尊重和保障人权的宪法原则 A. ①② B. ①④ C. ②③ D. ③④ 【答案】B 【解析】 【详解】本题考查维护公平正义、尊重和保障人权。 ①④:题干中我国拟推动既有住宅加装电梯或其他无障碍设施,为残疾人、老年人等提供便利,这体现了 通过立法促进社会公平,尊重和保障人权的宪法原则,故①④正确; ②:题干未涉及同等情况同等对待的原则,故排除②; ③:题干未涉及司法守护社会正义,故排除③; 故本题选B。 15. 近五年来,人民法院审结一审知识产权案件219.4万件,同比增长221.1%。人民法院不断加大对关键 核心技术及新兴产业、重点领域等知识产权保护力度,严惩知识产权侵权行为。此举( ) ①是我们建设创新型国家、实现高质量发展的需要 ②可以加快缩短与发达国家的差距,扩大国际影 响 ③有利于激发企业自主创新活力,维护公平竞争 ④有利于推动大众创业万众创新,推进乡村振兴 A. ①② B. ①③ C. ②④ D. ③④ 【答案】B 【解析】 【详解】本题考查保护知识产权。 ①③:人民法院不断加大对关键核心技术及新兴产业、重点领域等知识产权保护力度,严惩知识产权侵权 行为,是我们建设创新型国家、实现高质量发展的需要,有利于激发企业自主创新活力,维护公平竞争, 故①③说法正确; ②④: 扩大国际影响、 推进乡村振兴不是严惩知识产权侵权行为 的意义,故②④不符合题意; 故本题选B。 16. 针对当前我国人口发展呈现少子化、老龄化、区域人口增减分化的趋势,2023年5月中央财经委员会 会议提出要“以人口高质量发展支撑中国式现代化”。这是因为( ) A. 我国人口基数大、人口众多的基本国情已经发生根本改变 7【淘宝搜索店铺:中小学教辅资源店 微信:mlxt2022】 B. 老龄化程度加深已严重制约我国经济与社会的可持续发展 C. 人口质量的高低是决定一个国家经济能否加速发展的关键变量 D. 高质量人口为全面建设社会主义现代化国家提供人力资源保障 【答案】D 【解析】 【详解】本题考查人口问题。 D:分析可知,中央财经委员会会议提出要“以人口高质量发展支撑中国式现代化”的原因是高质量人口 为全面建设社会主义现代化国家提供人力资源保障,故D符合题意; A:我国人口基数大、人口众多的基本国情没有发生根本改变,故A说法错误; B:材料未体现老龄化程度加深对我国经济与社会的可持续发展的不良影响,故B不符合题意; C:人口质量的高低是影响一个国家经济能否加速发展的关键变量,而不是决定一个国家经济能否加速发 展的关键变量,故C说法错误; 故本题选D。 17. 2023年3月修改的《中华人民共和国立法法》新增规定:“全国人民代表大会常务委员会工作机构根 据实际需要设立基层立法联系点,深入听取基层群众和有关方面对法律草案和立法工作的意见。”这一规 定有利于( ) A. 推进全过程人民民主的实践进程 B. 确保每项法律都得到严格执行 C. 保证法律制定的公平性与强制性 D. 拓宽基层群众自我管理的途径 【答案】A 【解析】 【详解】本题考查社会主义民主的相关知识。 A:题文中“全国人民代表大会常务委员会工作机构根据实际需要设立基层立法联系点,深入听取基层群 众和有关方面对法律草案和立法工作的意见”的规定体现了立法过程中的民主,有利于推进全过程人民民 主的实践进程,故A正确; BCD:题文中立法法对民主立法的规定,有利于民主立法、科学立法,不能确保严格执法,未体现立法的 强制性,未涉及拓宽基层群众自我管理的途径,故BCD不符合题意; 故本题选A。 18. 对图解读正确的是( ) 8【淘宝搜索店铺:中小学教辅资源店 微信:mlxt2022】 A. 我国已经全面建成小康社会 B. 我国社会保障体系日趋完善 C. 我国城乡结构正在持续转化 D. 我国经济正转向高速度发展 【答案】C 【解析】 【详解】本题考查共同富裕。 C:图示显示,2018年到2022年,我国常住人口城镇化率不断提高,说明我国城乡结构正在持续转化,故 C说法正确; AB:说法正确但与题干主旨不符,故AB不符合题意; D:我国经济已转向高质量发展阶段,故D说法错误; 故本题选C。 19. 近年来,广东正以“绿美广东”生态建设为引领,朝着建成国家公园、国家植物园“双园”之省的目 标前进,持续推进自然生态系统保护与修复、珍稀濒危物种拯救繁育以及遗传资源收集保存和利用等工作。 这表明广东省( ) ①追求人与自然和谐共生,解决自然灾害问题 ②重视生物多样性的保护,推进生态文明建设 ③贯彻新发展理念,激发人民群众的创造热情 ④坚持绿色惠民,让人民群众共享绿色发展成果 A. ①② B. ①③ C. ②④ D. ③④ 【答案】C 【解析】 【详解】本题考查生态文明建设。 ②④:依据题文,持续推进自然生态系统保护与修复、珍稀濒危物种拯救繁育以及遗传资源收集保存和利 用等工作,这体现了广东省重视生物多样性的保护,推进生态文明建设,追求人与自然和谐共生,解决自, 这有利于绿色惠民,让人民群众共享绿色发展成果,所以②④正确; ①③:自然灾害问题、激发人民群众的创造热情,在题干中未涉及,①③排除; 故本题选C。 9【淘宝搜索店铺:中小学教辅资源店 微信:mlxt2022】 20. 2023年3月15日,中共中央总书记、国家主席习近平在中国共产党与世界政党高层对话会上首次提出 全球文明倡议,倡议共同倡导尊重世界文明多样性、弘扬全人类共同价值、重视文明传承和创新以及加强 国际人文交流合作。这一倡议( ) ①体现了中国推动构建人类命运共同体的真诚愿望 ②展示了中国为人类谋进步、为世界谋大同的责任担当 ③贡献了解决当前国际社会全部难题与危机的中国智慧 ④提供了促进文明交流互鉴、人类和平与发展的中国方案 A. ①②③ B. ①②④ C. ①③④ D. ②③④ 【答案】B 【解析】 【详解】本题考查中国担当、构建人类命运共同体。 ①②④:习近平主席提出的全球文明倡议,倡议共同倡导尊重世界文明多样性、弘扬全人类共同价值、重 视文明传承和创新以及加强国际人文交流合作,体现了中国推动构建人类命运共同体的真诚愿望,展示了 中国为人类谋进步、为世界谋大同的责任担当,提供了促进文明交流互鉴、人类和平与发展的中国方案, 故①②④说法正确; ③:“全部难题与危机”说法太绝对,故③说法错误; 故本题选B 。 二、非选择题:本大题共3小题,第21小题10分,第22小题14分,第23小题16分,共40 分。 21. 阅读材料,回答问题。 2023年4月15日是我国第八个全民国家安全教育日。某学校通过图片宣传、案例分析等形式,开展 国家安全教育活动。 【图片宣传】图是学校宣传栏的图片: 【案例分析】中学生小东和小南假期结伴游玩,途经某军事基地,小东拿出相机准备拍照,小南提醒 10【淘宝搜索店铺:中小学教辅资源店 微信:mlxt2022】 他军事基地禁止拍照,小东边拍边说:“拍几张照片没什么大不了的,作为好朋友你要帮我保守秘密。” (1)学校宣传栏的图片,分别涉及国家安全体系的哪些领域? (2)请你运用所学知识,对小东的言行进行简要评析。 【答案】(1)(a)军事安全(b)生态安全 (2)小东的说法错误。①国家安全是人民幸福安康的前提;②国家安全是国家生存与发展的重要保障; ③作为公民,需要自觉维护国家安全,增强国家安全意识,树立国家安全利益高于一切的观念,自觉维护 国家安全;④通过各种方式为维护国家安全贡献智慧和力量,既可以为维护国家安全工作提供便利和协助, 也可以为维护国家安全积极建言献策;既可以检举、制止危害国家安全的行为,也可以监督和维护国家安 全工作的开展;⑤履行维护国家安全的法律义务,认真学习有关国家安全和保密工作的法律法规、规章制 度,增强维护国家安全的法治意识;⑥严格遵守有关国家安全的法律规定,积极履行维护国家安全的法定 义务,不断提高防范意识和防范能力,善于识别危害国家安全的各种伪装,为维护国家安全贡献自己的力 量。 【解析】 【分析】考点考查:维护国家安全。 能力考查:理解应用能力,获取和解读信息能力。 核心素养:法治观念,道德修养。 【小问1详解】 第一步:审设问,明确主体、作答范围及作答角度。 本题的设问主体为青少年, 需要运用国家安全的有关知识,从说明类习题的角度进行作答。 第二步:审材料,提取关键词,链接教材知识。 关键词①:未经允许,不能在军事基地、军用港口等地拍照→ 军事安全。 关键词②:不能携带国外的水果蔬菜、土壤、动物标本等入域→ 生态安全。 第三步:整合信息,组织答案。 【小问2详解】 第一步:读题,提炼辩题。 观点:拍几张照片没什么大不了的,作为好朋友你要帮我保守秘密。 第二步:根据所学知识和材料信息,判断观点正误。 正误判断:错误。 论据①:国家安全的重要性。 论据②:维护国家安全的做法。 第三步:整合信息,组织答案。 22. 阅读材料,回答问题。 2023年是毛泽东等老一辈革命家为雷锋同志题词60周年。 11【淘宝搜索店铺:中小学教辅资源店 微信:mlxt2022】 材料一:习近平总书记指出:“我们既要学习雷锋的精神,也要学习雷锋的做法,把崇高理想信念和 道德品质追求转化为具体行动,体现在平凡的工作生活中,作出自己应有的贡献,把雷锋精神代代传承下 去。” 材料二:平凡创造伟大,奉献成就精彩。 雷锋的故事 ●在鞍钢,雷锋从学徒做起,一步步成长为模范工人;他成为一名汽车兵后,通 过精心保养和排查“病因”,将一辆磨损严重、耗油量大的卡车变成了全连的“节油 标兵车”。 ●雷锋常常利用节假日和休息时间到部队驻地附近为群众做好事;他多次把自己 省吃俭用积存起来的钱用来帮助群众和家庭困难的战友。 志愿者的故事 ●邹德凤是一名普通的护士。30多年来,她坚持帮助和资助社区孤寡老人,她 还牵头成立学雷锋小组,带领更多的人开展志愿服务。以她名字命名的公益发展中 心,已发展到注册志愿者3000多人,累计服务对象200余万人次。2021年,她被授 予“全国优秀共产党员”称号。 ●“大学生志愿服务西部计划”自2003年实施以来,至今累计46.5万余名高校 毕业生和在读研究生响应国家“到西部去、到基层去、到祖国和人民最需要的地方 去”的号召,前往西部基层进行为期1至3年的志愿服务。服务期满后,一大批志愿 者选择继续留在当地就业,服务国家经济社会发展大局。 (1)结合雷锋和志愿者的故事,谈谈你对“平凡创造伟大”的理解。 (2)结合上述材料,说说青少年要如何在学习和生活中把雷锋精神传承下去。 【答案】(1)每个人的生命都有独特的使命,伟大在于创造和贡献,生命虽然平凡,但也能时时创造伟 大。 (2)①通过各种文化道德教育途径学习“雷锋精神”,深入挖掘中国传统文化内涵和精髓;②向“典型 模范”学习,对“雷锋精神”产生深厚的情感;③从自己做起,从现在做起,从小事做起,自觉高扬雷锋 精神,放飞梦想,创造精彩人生。 【解析】 【分析】考点考查:平凡中创造伟大、中华民族精神。 能力考查:获取和解读信息的能力、理解和应用信息的能力。 核心素养:道德修养、健全人格。 【小问1详解】 第一步:审设问,明确主体、作答范围及作答角度。 本题的设问主体为学生,需要运用平凡中创造伟大的有关知识,从体现类习题的角度进行作答。 第二步:审材料,提取关键词,链接教材知识。 12【淘宝搜索店铺:中小学教辅资源店 微信:mlxt2022】 关键词①:雷锋、志愿者→每个人的生命都有独特的使命; 关键词②:“节油标兵车”、帮助和资助社区孤寡老人→伟大在于创造和贡献;生命虽然平凡,但也能时 时创造伟大; 第三步:整合信息,组织答案。 【小问2详解】 第一步:审设问,明确主体、作答范围及作答角度。 本题的设问主体为青少年,需要运用中华民族精神的有关知识,从措施类习题的角度进行作答。 第二步:审材料,提取关键词,链接教材知识。 关键词①:学习上→通过各种文化道德教育途径学习“雷锋精神”;向“典型模范”学习; 关键词②:生活中→从自己做起,从现在做起,从小事做起; 第三步:整合信息,组织答案。 23. 阅读材料,回答问题。 习近平总书记高度重视博物馆(院)工作,强调“一个博物院就是一所大学校”。在第47个“国际博 物馆日”到来之际,学校组织学生走进博物馆观展、研学,开启一场“博悟之旅”。 【感悟文化现象】 博物馆热 悄然兴起 当下,博物馆已成为人们出游的热门“打卡地”之一,据国家文物局不完全统计,2023年“五一”假 期,全国6000多家博物馆共接待游客超5000万人次,达历史同期最高水平。 (1)“博物馆热”的悄然兴起传递出什么信息? 【领悟文化力量】 古今博览 文脉赓续 ◆1号展厅:推出“盛世修典——‘中国历代绘画大系’阶段性成果展”,展示1750件(套)历代绘 画佳作高清打样稿,再现中国古代绘画2000余年的发展历程。 ◆2号展厅:推出“人格的力量-—中国共产党人的家国情怀展”,陈列中国共产党人饱含深情的手稿、 书信等珍贵文献及实物170余件,用故事化的方式讲述党史。 ◆3号展厅:推出“逐梦寰宇问苍穹——中国载人航天工程30年成就展”,展出长征系列运载火箭等 模型和航天服、火箭发动机等实物,展示我国载人航天事业取得的历史性成就。 (2)同学们在观展后纷纷感叹:“这次参观让我们增强了文化自信!”结合材料,请你分析大家发出这 个感叹的理由。 【体悟文化担当】 展现行动 弘扬传播 近年来,各地各级博物馆积极联合中小学校开展“小小讲解员”培训活动,为青少年搭建一个学习历 13【淘宝搜索店铺:中小学教辅资源店 微信:mlxt2022】 史、展示自我、参与社会的平台。越来越多的青少年加入“小小讲解员”队伍,他们通过在博物馆的学习、 生活,将文化根植于心,肩负起文化传承的使命。 (3)如果你是博物馆的“小小讲解员”,你将如何讲好中华文化故事? 【答案】(1)国人高度重视中华文化的发展。 (2)坚持文化自信,既要夯实优秀传统文化根基,薪火相传,代代守护;又要在日新月异的社会生活中 与时俱进,实现创造性转化、创新性发展;还要跨越时空展示中华文化的独特魅力,在交流互鉴中丰富发 展。 (3)坚持以价值观为魂,通过融通古今中外的正确价值观引领讲好中华文化故事。坚持以形象化为基, 通过新技术造就的全媒体故事形式与内容完美契合推动讲好中华文化故事。坚持差异性为要,通过因人制 宜、因地制宜、因时制宜最大限度满足受众需求落实讲好中华文化故事。 【解析】 【分析】考点考查:文化自信 能力考查:调动和运用知识、描述和阐述事物 核心素养:政治认同 【小问1详解】 第一步:审设问,明确主体、作答范围及作答角度。 本题的设问主体为公民,需要运用文化的有关知识,从分析类习题的角度进行作答。 第二步:审材料,提取关键词,链接教材知识。 关键词:全国6000多家博物馆共接待游客超5000万人次,达历史同期最高水平→\国人高度重视中华文化 的发展。 第三步:整合信息,组织答案。 【小问2详解】 第一步:审设问,明确主体、作答范围及作答角度。 本题的设问主体为国家,需要运用自信、自强的有关知识,从分析类习题的角度进行作答。 第二步:审材料,提取关键词,链接教材知识。 关键词①:中国历代绘画大系、中国共产党人的家国情怀展、中国载人航天工程30年成就展→坚持文化自 信,发展中国特色社会主义文化。 第三步:整合信息,组织答案。 【小问3详解】 本题考查讲好中华文化故事,为开放试题,言之有理即可。 14