当前位置:首页>文档>河南省顶级名校2025-2026学年高三上学期9月月考数学试卷(含答案)_2025年9月_250925河南省顶级名校2026届高三上学期9月月考试

河南省顶级名校2025-2026学年高三上学期9月月考数学试卷(含答案)_2025年9月_250925河南省顶级名校2026届高三上学期9月月考试

  • 2026-04-09 08:09:55 2026-02-11 13:21:13

文档预览

河南省顶级名校2025-2026学年高三上学期9月月考数学试卷(含答案)_2025年9月_250925河南省顶级名校2026届高三上学期9月月考试
河南省顶级名校2025-2026学年高三上学期9月月考数学试卷(含答案)_2025年9月_250925河南省顶级名校2026届高三上学期9月月考试
河南省顶级名校2025-2026学年高三上学期9月月考数学试卷(含答案)_2025年9月_250925河南省顶级名校2026届高三上学期9月月考试
河南省顶级名校2025-2026学年高三上学期9月月考数学试卷(含答案)_2025年9月_250925河南省顶级名校2026届高三上学期9月月考试
河南省顶级名校2025-2026学年高三上学期9月月考数学试卷(含答案)_2025年9月_250925河南省顶级名校2026届高三上学期9月月考试
河南省顶级名校2025-2026学年高三上学期9月月考数学试卷(含答案)_2025年9月_250925河南省顶级名校2026届高三上学期9月月考试
河南省顶级名校2025-2026学年高三上学期9月月考数学试卷(含答案)_2025年9月_250925河南省顶级名校2026届高三上学期9月月考试
河南省顶级名校2025-2026学年高三上学期9月月考数学试卷(含答案)_2025年9月_250925河南省顶级名校2026届高三上学期9月月考试
河南省顶级名校2025-2026学年高三上学期9月月考数学试卷(含答案)_2025年9月_250925河南省顶级名校2026届高三上学期9月月考试
河南省顶级名校2025-2026学年高三上学期9月月考数学试卷(含答案)_2025年9月_250925河南省顶级名校2026届高三上学期9月月考试
河南省顶级名校2025-2026学年高三上学期9月月考数学试卷(含答案)_2025年9月_250925河南省顶级名校2026届高三上学期9月月考试
河南省顶级名校2025-2026学年高三上学期9月月考数学试卷(含答案)_2025年9月_250925河南省顶级名校2026届高三上学期9月月考试
河南省顶级名校2025-2026学年高三上学期9月月考数学试卷(含答案)_2025年9月_250925河南省顶级名校2026届高三上学期9月月考试
河南省顶级名校2025-2026学年高三上学期9月月考数学试卷(含答案)_2025年9月_250925河南省顶级名校2026届高三上学期9月月考试

文档信息

文档格式
docx
文档大小
0.641 MB
文档页数
10 页
上传时间
2026-02-11 13:21:13

文档内容

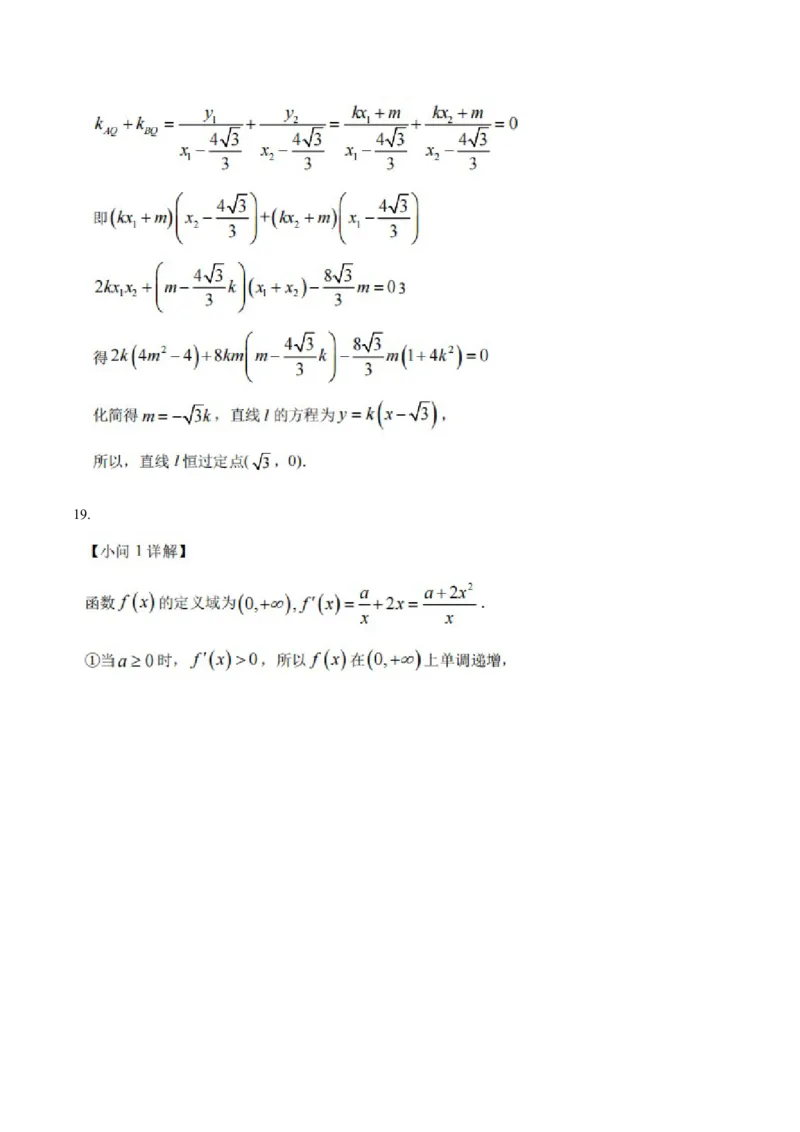
河南省顶级名校 2026 届高三上学期 9 月月考数学试卷 一、选择题:本题共8小题,每小题5分,共40分,在每小题给出的四个选项中,只有一项 是符合题目要求的. 1. 设集合 , ,则 ( ) A. B. C. D. 2. 已知命题: ,则 为( ) A. B. C. D. 3. 设 ,则“ ”是“ ” 的( ) A. 充分不必要条件 B. 必要不充分条件 C. 充要条件 D. 既不充分也不必要条件 4. 函数 在 上是减函数,则 的取值范围是 A. B. C. D. 5. 若 ,则( ) A. B. C. D. 6. 已知函数 在 单调递增,则 的取值范围是 ( ) A. B. C. D. 7. 函数 的图象大致为( )A. B. C. D. 8. 已知函数 ,则满足不等式 的实数 的取值范围是( ) A. B. C. D. 二、选择题:本题共3小题,每小题6分,共18分,在每小题给出的选项中,有多项符合题 目要求,全部选对的得6分,部分选对的得部分分,有选错的得0分. 9. 下列命题正确的是( ) A. B. 已知函数 在 上可导,若 ,则 . C 已知函数 ,若 ,则 D. 设函数 的导函数为 ,且 ,则 10. 定义在 上的函数 满足 ,且 为奇函数,已知当 时, ,则下列结论正确的是( )A. B. 在区间 上单调递减 C. D. 11. 已知函数 ,则下列说法正确的有( ) A. B. 有3个实数根 C. 若 有4个实数根,从小到大分别为 ,则 D. 若 有8个实数根,则 三、填空题:本题共3小题,每小题5分,共15分. 12. 若关于 的不等式 的解集为 ,则 的值为__________. 13. 已知 分别是方程 与 的根,则 的值为______. 14. 函数 有两个零点,则m的取值范围是__________. 四、解答题:本题共5小题,共77分,解答应写出必要的文字说明、证明过程或演算步骤. 15. 已知 , ,全集 (1)若 ,求 ; (2)若 ,求实数 的取值范围. 16. 求值: (1) ;(2) . 17. 已知函数 是 上的奇函数,函数 . (1)求实数 的值; 的 (2)若函数 在 上 最小值为11,求实数 的值. 18. 已知椭圆 的方程为 ,且椭圆的短轴长为2,离心率为 . (1)求椭圆 的方程; (2)已知不垂直于 轴的直线 与椭圆相交于 两点,点 ,若 所在的直线与 所在的 直线关于 轴对称,直线 是否恒过定点,若是,求出该定点的坐标. 19. 已知函数 ,其中 . (1)讨论 的单调性; (2)当 时,求证: ; (3)求证:对任意的 且 ,都有 (其中 为自然对数的底数). 参考答案 1-8.BDBDB DBC 9-11.AC ABD ABC 12.-18 13.8 14. 15.16.17. 18.19.