当前位置:首页>文档>浙江省天域全国名校协作体2026届高三上学期10月联考生物试题(含答案)_2025年10月_251013浙江省天域全国名校协作体2026届高三上学期10月联考(全科)

浙江省天域全国名校协作体2026届高三上学期10月联考生物试题(含答案)_2025年10月_251013浙江省天域全国名校协作体2026届高三上学期10月联考(全科)

  • 2026-04-23 10:52:22 2026-02-11 14:04:29

文档预览

浙江省天域全国名校协作体2026届高三上学期10月联考生物试题(含答案)_2025年10月_251013浙江省天域全国名校协作体2026届高三上学期10月联考(全科)
浙江省天域全国名校协作体2026届高三上学期10月联考生物试题(含答案)_2025年10月_251013浙江省天域全国名校协作体2026届高三上学期10月联考(全科)
浙江省天域全国名校协作体2026届高三上学期10月联考生物试题(含答案)_2025年10月_251013浙江省天域全国名校协作体2026届高三上学期10月联考(全科)
浙江省天域全国名校协作体2026届高三上学期10月联考生物试题(含答案)_2025年10月_251013浙江省天域全国名校协作体2026届高三上学期10月联考(全科)
浙江省天域全国名校协作体2026届高三上学期10月联考生物试题(含答案)_2025年10月_251013浙江省天域全国名校协作体2026届高三上学期10月联考(全科)
浙江省天域全国名校协作体2026届高三上学期10月联考生物试题(含答案)_2025年10月_251013浙江省天域全国名校协作体2026届高三上学期10月联考(全科)
浙江省天域全国名校协作体2026届高三上学期10月联考生物试题(含答案)_2025年10月_251013浙江省天域全国名校协作体2026届高三上学期10月联考(全科)
浙江省天域全国名校协作体2026届高三上学期10月联考生物试题(含答案)_2025年10月_251013浙江省天域全国名校协作体2026届高三上学期10月联考(全科)
浙江省天域全国名校协作体2026届高三上学期10月联考生物试题(含答案)_2025年10月_251013浙江省天域全国名校协作体2026届高三上学期10月联考(全科)
浙江省天域全国名校协作体2026届高三上学期10月联考生物试题(含答案)_2025年10月_251013浙江省天域全国名校协作体2026届高三上学期10月联考(全科)
浙江省天域全国名校协作体2026届高三上学期10月联考生物试题(含答案)_2025年10月_251013浙江省天域全国名校协作体2026届高三上学期10月联考(全科)
浙江省天域全国名校协作体2026届高三上学期10月联考生物试题(含答案)_2025年10月_251013浙江省天域全国名校协作体2026届高三上学期10月联考(全科)
浙江省天域全国名校协作体2026届高三上学期10月联考生物试题(含答案)_2025年10月_251013浙江省天域全国名校协作体2026届高三上学期10月联考(全科)
浙江省天域全国名校协作体2026届高三上学期10月联考生物试题(含答案)_2025年10月_251013浙江省天域全国名校协作体2026届高三上学期10月联考(全科)

文档信息

文档格式
pdf
文档大小
0.647 MB
文档页数
10 页
上传时间
2026-02-11 14:04:29

文档内容

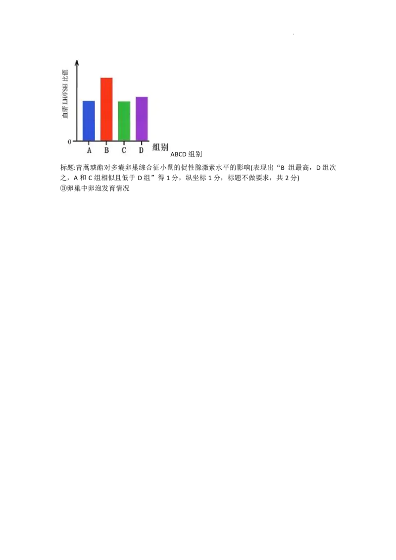
2025年10月天域全国名校协作体联考高三年级生物学科试题 一、选择题(本大题共20小题,每小题2分,共40分。每小题列出的四个备选项中只有一 个是符合题目要求的,不选、多选、错选均不得分) 1.近年来,超强台风出现的频率不断上升,这与人类活动导致的环境破坏密切相关。下列行 为不利于环境保护的是 A.合理设定空调温度 B.大量燃烧化石燃料 C.坚持绿色出行,倡导光盘行动 D.工业污水无害化、减量化处理后排放 2.细胞膜的功能主要靠膜蛋白实现,下列生命活动中不需要膜蛋白参与的是 A.CO 扩散离开细胞 2 B.吞噬细胞识别并胞吞病原体 C.Na+顺浓度进入细胞内 D.细胞主动转运氨基酸 3.丝氨酸蛋白酶是溶酶体中众多水解酶中的一种,可以将蛋白质水解成肽段。下列叙述错误 的是 A.该酶的合成在游离的核糖体上完成 B.高尔基体会对该酶进行加工、包装 C.该酶在适宜条件下可催化肽键断裂 D.植物液泡中可能存在与该酶功能类似的酶 4.生物技术就像一把“双刃剑”,它既可以造福人类,也可能在使用不当时给人类带来潜在的 危害,因此需要理性看待。下列叙述错误的是 A.生物武器一般由致病微生物、毒素、昆虫等组成 B.转基因生物可能会带来食品安全、环境安全等风险 C.研究转基因植物应防止外源基因随花粉传播,出现遗传漂变 D.我国坚持反对人的生殖性克隆、支持人的治疗性克隆的立场 5.金银花根系发达,适宜在盐碱地种植。研究发现,适量的外源钙离子可提高细胞中钙调蛋 白水平,从而增加可溶性蛋白含量,提升耐盐性。下列叙述正确的是 A.钙是植物生长发育所必需的微量元素 B.外源钙离子浓度越高,金银花耐盐性越强 C.可溶性蛋白含量增加可增大细胞渗透压,提升耐盐性 D.无机盐主要以离子的形式存在于细胞中,为金银花生长提供能量 6.研究人员通过“以蚊治蚊”控制伊蚊数量:方式①释放经辐照的绝育雄伊蚊,让野生雌伊蚊 无法产生后代;方式②培育不吸血的华丽巨蚊,让其幼虫吞伊蚊幼虫。下列叙述错误的是 A.方式①可以降低伊蚊出生率 B.方式②会影响伊蚊的年龄结构 C.方式②控制伊蚊数量属于生物防治 D.这2种方式均影响伊蚊的环境容纳量 7.取两种植物成熟种子萌发形成的根,用秋水仙素处理适当时间后制成临时装片,显微摄像 分别获得如图所示的细胞分裂图像,用于染色体组型制作。下列相关叙述正确的是 学科网(北京)股份有限公司A.经解离、染色、漂洗后制成临时装片 B.秋水仙素可以抑制纺锤丝的形成 C.右图圈内是一对联会的同源染色体 D.图示细胞均处于有丝分裂前期 8.现代人类丧失了部分苦味受体,因为其在日常生活中接触到苦味物质的概率降低,导致苦 味受体基因的变异类型即受体功能丧失的性状保密。下列推测错误的是 A.生物进化的实质是基因频率发生改变 B.现代人类部分苦味受体的丧失是对饮食环境变化的适应 C.苦味受体基因的变异类型出现意味着种群基因库发生改变 D.若某人长期不需要某一种味觉功能,则该味觉受体的功能就会减弱或者丧失 9.研究人员对杭州3种不同城市化区域(市区、近郊、远郊)的鸟类巢址选择进行调查,统计 在不同高度筑巢的鸟类物种数,结果如图,3种区域中在树冠筑巢的鸟类物种数相差不大。 下列叙述错误的是 A.乌类物种丰富度随城市化于扰强度的下降而上升 B.不同鸟类的巢址分布在不同高度体现群落的垂直结构 C.市区鸟类在地面和灌丛筑巢比例低于郊和远郊区域 D.不同区域鸟类巢址的选择由食物的分布情况决定 10.将线粒体悬浮在缓冲液中并加入不同物质后,检测0 消耗量和ATP合成量,其中氰化物 2 会阻断电子传递链过程,结果如图所示。下列相关叙述错误的是 学科网(北京)股份有限公司A.氰化物作用于线粒体内膜 B.物质X是呼吸底物葡萄糖 C.ATP在线粒体基质和内膜合成 D.加入氰化物导致需氧呼吸第二阶段也受阻 11.图为DNA复制的部分示意图,其中一条链采用分段式合成模式。下列说法错误的是 A.两条子链的合成时均需引物参与 B.DNA的合成需遵循碱基互补配对原则 C.一条子链分段式合成与子链只能向3’端延伸有关 D.经复制最终形成的两条子链一条连续,一条不连续 12.视网膜上的感光细胞是一种特殊的神经细胞,在蓝光的刺激 下可以产生兴奋并传入下丘脑某处的神经中枢,通过传出神经元 激活棕色脂肪组织,促进脂肪细胞的代谢活动。下列相关叙述正 确的是 A.感光细胞的轴突末梢是反射弧的感受器 B.刺激神经中枢可直接引起脂肪细胞的反射活动 C.在反射过程中兴奋在神经纤维上单向传导 D.传出神经元释放的神经递质进入脂肪细胞中起作用 13.兰州百合是我国食用百合中唯一的甜百合,具有广阔的发展前景。科学家通过多种育种 方式提升百合品质。下列叙述错误的是 A.杂交育种可将多个兰州百合品系的优良性状组合在一起 B.杂交育种时,基因重组发生在雌、雄配子随机结合过程中 C.辐射、温度剧变和亚硝酸等可使兰州百合突变频率上升 D.与杂交育种相比,单倍体育种可明显缩短育种年限 14.科学家将人白细胞介素-2基因导入牛的体细胞中,并通过核移植技术获得转基因克隆牛, 利用牛乳腺生物反应器生产人白细胞介素-2。下列相关叙述正确的是 A.通过显微注射法将PCR扩增得到的目的基因直接导入受体细胞 B.通过超数排卵获得大量次级卵母细胞去核作为细胞核的受体细胞 C.取囊胚的滋养层进行性别鉴定,选雌性胚胎移植到代孕母牛的输卵管 D.转基因克隆牛只有乳腺细胞中含人白细胞介素-2基因 15.近期广东佛山基孔肯雅病毒感染的患者呈上升趋势,其主要通过伊蚊叮咬传播。患者的 主要症状有高热、剧烈关节疼痛、皮疹等。下列叙述错误的是 A.辅助性T细胞在接受吞噬细胞的两种信号刺激后分泌细胞因子 B.患者康复后一般不会二次感染,原因是人体有相应的抗体和记忆细胞 C.经吞噬细胞摄取处理的基孔肯雅病毒成为致敏B细胞的第一个信号 D.效应细胞毒性T细胞能够识别被病毒感染的体细胞上的抗原-MHC复合体 学科网(北京)股份有限公司16.大肠杆菌通过一系列酶促反应可将苏氨酸转化为异亮氨酸,苏氨酸脱水酶是其中一个关 键酶。当异亮氨酸浓度较高时,异亮氨酸可与苏氨酸脱水酶结合,抑制酶活性。科学家利用 蛋白质工程技术改造苏氨酸脱水酶中异亮氨酸的结合位点,获得高产菌株。下列叙述正确的 是 A.异亮氨酸抑制苏氨酸脱水酶活性属于负反馈调节,有利于异亮氨酸的生产 B.改造大肠杆菌时,需用基因工程技术改变苏氨酸脱水酶基因的核苷酸序列 C.在发酵过程中,将苏氨酸从发酵液中移除可显著提高该高产菌株的发酵效率 D.增加传代次数有利于维持该高产菌株遗传性状和生产能力的稳定性 17.科研工作者以拟南芥为实验材料,研究了施加外源1nmol油菜素内酯(BL)与不同浓度IAA 对植物侧根形成的影响,结果如图。据图分析,以下说法正确的是 A.该实验因变量为IAA浓度和是否添加BL B.从不加BL组可知,1~20nmol的IAA抑制侧根的形成 C.IAA浓度为20、50nmol时,BL和IAA均促进侧根的形成 D.随IAA浓度的增加,添加BL对侧根形成的影响逐渐增强 18.现利用同属于十字花科芸薹属的油菜(植物A)和黑芥(植物B)进行植物体细胞杂交,获得 种间杂种植物油菜-黑芥。下列叙述正确的是 原生质体A A.步骤①在较高渗透压环境下用盐酸或酶解法去除植物细胞壁 B.步骤②前可通过观察原生质体能否正常分裂来检测原生质体活性 C.可用稀释涂布法对原生质体计数,之后按1:1混合2种原生质体 D.通过上述技术获得种间杂种植物难度一般低于属间杂种植物 19.某一精原细胞(2n=4)经多次胞质分裂,最终产生如图所示的6种共16个精细胞。下列分 析错误的是 学科网(北京)股份有限公司A.同源染色体的非姐妹染色单体间发生交叉互换导致①和④的出现 B.①和⑥可来自同一次级精母细胞,②和④可来自另一次级精母细胞 C.若①类型细胞只有1个,则②类型的细胞数目最少1个,最多7个 D.若16个精细胞中有6个为⑤类型,则②④⑥类型细胞各只有1个 20.X染色体上的B基因异常会导致人体患病,在女性群体中的发病率为1/40000。某患病男 孩的B基因异常由染色体结构变异引起。研究人员依据基因B所在染色体的DNA序列,设 计了如图所示的引物,并对患病男孩及其正常双亲的体细胞提取DNA并进行PCR检测,结 果如图所示。不考虑基因D异常对人体的影响,下列分析错误的是 注:“+”表示扩增得到条带,“-”表示扩增未得到条带。 A.该患病男孩的B基因异常由倒位引起 B.母亲再生一名男孩,使用引物R /R 扩增可判断男孩是否患病 2 1 C.母亲减数分裂时发生染色体畸变,产生异常B基因遗传给男孩 D.人群中女性发病率低于男性,正常女性携带异常B基因的概率为2/201 二、非选择题(本大题共5小题,共60分) 21.(11分)某一河道周边为居民生活和农业种植区,生活污水、农作物种植污染物通过地表 径流进入河道,河道底泥淤积,水体污染严重。现对该河道开展如图所示的河岸被缓冲带以 及水下森林系统构建等生态修复工程。回答下列问题: (1)判断水质污染情况,可通过检测水体的氨氨浓度、总磷浓度、 ▲ 等参数来确定, 前两者浓度过高造成水体 ▲ 。输入该河道生态系统的总能量为,生态系统中的 ▲ 会利用河底淤积的动植物残体,加速物质循环的过程。 学科网(北京)股份有限公司(2)河岸植被缓冲带是指位于水体与陆地之间的过渡地带,具有截留污染物、提供生物栖息 地、调节河流微气候、稳固河岸、美化景观等生态功能,这体现了生物多样性 ▲ 的 价值。从深水区浅水区到陆域配置不同种类的植被,丰富了群落的 ▲ 结构。选择沉 水植物矮生苦草用于构建水下森林,种植时需要考虑矮生苦草的 ▲ 和位置分布,避免 与原有土生狐尾藻发生而出现剧烈的种间竞争。 (3)河道水生生态系统的恢复增加了水生动物的活动,其中“狐尾藻→草鱼→乌鳢”构成一条 捕食食物链。该食物链的能量流动情况如下所示(单位:J/cm2·a),草鱼的净次级生产量为 ▲ ,从草鱼到乌鳢的能量传递效率为 ▲ 。乌鳢和草鱼需要定期捕捞,从物质循 环角度分析,该操作的目的是 ▲ 。 生物 呼吸作用散 用于生长、繁 分解者利用 未利用的能 同化外来有 失的能量 殖的能量 的能量 量 机物的能量 狐尾藻 42 68 9 44 0 草鱼 17 ? 4 6 15 乌鳢 ? 7 2 5 12 22.(11分)在自然界中,光波动时常发生。植物已经发展出一系列捕光调节策略,以实现光 能利用最大化。 (1)绿色植物利用类囊体膜上的 ▲ 吸收光能,用于光反应合成 ▲ ,为碳反 应提供物质基础。此外,光还可以作为 ▲ ,调节植物生命活动,调整光能分配。 (2)类囊体膜的状态转换是维持两个光系统(PSⅠ和PSⅡ)光能分配的一个调节机制之一。 注:TM是类囊体膜,IHC是捕光复合体,促进光能吸收。 已知 PSⅠ优先吸收远红光(波长>700nm),而PSⅡ优先吸收红光(波长<700nm)。当提供较强 的红光照射时, ▲ 吸收过多光能。为防止其结构受损, ▲ 。该过程是植物 长期 ▲ 的结果,从而适应多变的环境。 (3)上述状态转换的关键反应是LHCⅡ 蛋白(PSⅡ捕光复合体)的磷酸化和去磷酸化。当被远红 光照射时,LHCⅡ蛋白磷酸化程度显著下降。为找到能催化LHCⅡ蛋白磷酸化的酶,选用多 种相关蛋白质进行实验,最终支持S蛋白催化LHCⅡ蛋白磷酸化的证据是:在 ▲ (填 “远红光”或“红光”照射下,与 ▲ (2分)相比,添加S蛋白抑制剂的组别中LHC Ⅱ蛋白磷酸化程度 ▲ 。 (4)此外,植物还可通过胞质环流,调整 ▲ ,从而适应强光环境。 23.(12分)某二倍体两性花植物的红花和白花是一对相对性状,其中基因 A控制红花,基因 A 控制白花。研究人员对红花植株进行诱变处理,获得了一株紫花植株甲,植株甲中出现 1 新的等位基因A 。回答下列问题: 2 (1)将甲分别与红花、白花进行杂交实验,结果如下。 实验组别 亲本 F 1 杂交组合① 甲×红花 紫花:红花=1:1 杂交组合② 甲×白花 紫花:红花-1:1 杂交实验前,需要对母本进行 ▲ 处理。花色的遗传遵循 ▲ 定律,根据结果 判断花色基因之间的显隐性关系为 ▲ (用 A、A 、A 和“>”表示),其中植株甲的基 1 2 学科网(北京)股份有限公司因型为 ▲ 。取杂交②中的 植株随机交配获得 F ,F 的表型及比例为 ▲ 。 2 2 (2)测定基因A和 A 的编码链序列。测序使用与 NTP结构相似的双脱氧核苷酸(ddNTP)。PCR 2 扩增体系中额外加入 ddNTP,子链延伸时若连接上 ddNTP,则子链合成停止,由此得到不 同长度的脱氧核苷酸链,电泳后结果如图(仅展示存在差异的局部序列)。根据结果发现,基 因A突变为基因 A 时发生 ▲ 。这种变化使最终编码的蛋白质的氨基酸数发生改变, 2 具体变化为 ▲ 。 注:A、T、C、G 表示在 PCR 扩增体系中分别加入 ddATP、ddTTP、ddCTP 和 ddGTP 的电泳 结果UAA、UAG、UGA 为终止密码子。 (3)通过转基因技术在植株甲中导入一个外源抗病基因D并整合到了染色体上,获得了抗病 紫花植株。请通过1次杂交实验确定基因D在染色体上的位置。 实验方案: ▲ ,统计子代表型及比例。 预期结果:①若抗病紫花:不抗病红花=1:1,则基因D位于 ▲ ; ②若抗病红花:不抗病紫花=1:1,则基因D位于 ▲ ; ③若 ▲ ,则基因D与花色基因位于非同源染色体上。 24.(13 分)紫杉醇是一种重要的抗癌药物,但其天然来源(紫杉树皮)稀缺,化学合成复杂。因 此,利用酵母菌合成紫杉醇前体紫杉二烯是一种可行的替代方案。已知酵母菌培养过程可分 为快速生长期和生长稳定期两个阶段。酵母菌的甲羟戊酸途径(MVA)可生成异戊烯焦磷酸 (IPP),IPP可在紫杉二烯合成酶(TS酶)作用下合成紫杉二烯。同时 IPP可在酵母菌体内存在 的角鲨烯合酶(ERG7酶)作用下转化为麦角固醇,该固醇是酵母生长所必需的物质。具体途径 如下图。 基于此,研究者设计了如下方案,获得紫杉二烯,回答下列问题。 (1)为防止IPP大量转化为麦角固醇,需要将ERG7基因进行 ▲ ,同时在培养基中添 加 ▲ ,才能保证酵母菌生长。 (2)考虑到上述培养基制备成本较高,因此研究者提出了另一种方法。研究者设计了两种质 粒,并将两种质粒导入酵母菌体内。 学科网(北京)股份有限公司注:Px为酵母菌内源启动子,在细胞快速生长期开启基因转录,但进入生长稳定期后即停止 基因转录;UBR1基因编码 UBR1短肽,为降解标签,可被酵母菌内源蛋白酶系统特异性识别 并以一定速率降解。P 为半乳糖诱导型启动子。 Gal1 为了提高质粒导入酵母菌的成功率,需要使用特定试剂将酵母菌制备成 ▲ 细胞。质 粒中的抗性基因的作用是 ▲ 。为使 ERG7和 UBR1基因融合,需在其融合处构建_ ▲ 黏性末端,同时剔除ERG7基因中的 ▲ ,使ERG7酶带上降解标签。构建质 粒①时,在融合基因前插入启动子--Px,其主要目的是 ▲ (2分),使酵母菌数量增多。 当酵母菌生长至稳定期,将其置于含 ▲ 的培养液中。此时,ERG7酶 ▲ (2 分),TS酶大量合成,从而获得大量紫杉二烯。 (3)紫杉二烯在细胞内产生,且不易穿过细胞膜。为获得转基因酵母菌发酵产生的紫杉二烯, 可通过 ▲ 方式获得菌体,并 ▲ ,从中提取产物。 25.(13 分)多囊卵巢综合征是青春期和育龄女性中常见的内分泌失调疾病,患者雄激素水平 过高存在排卵障碍,卵巢中有多个未成熟的小卵泡。回答下列问题: (1)体内的促性腺激素由 ▲ 分泌,其分泌活动同时受 ▲ 激素的调控,使促 性腺激素含量相对稳定。促性腺激素中的促黄体生成素(LH)刺激卵泡膜细胞产生雄激素,促 卵泡激素(FSH)促进雄激素转化为雌激素。与正常人相比,多囊卵巢综合征患者体内LHFSH 比值 ▲ 。 (2)多囊卵巢综合征患者会并发糖尿病,且患者体内胰岛素处于持续较高水平,说明存在 ▲ 现象。糖尿病患者症状之一为多饮,出现该现象的原因是 ▲ 。 (3)临床上采用糖尿病药物二甲双胍治疗多囊卵巢综合征。青蒿琥酯是一种青蒿素类衍生物, 为探究青蒿琥酯能否改善多囊卵巢综合征,研究人员以发育情况相似的3周龄健康雌性小鼠 为实验材料进行如下研究。 1)完善实验方案: 组别 前期处理 后期处理 检测 A组 ① ▲ ② ▲ 每隔一段时间检测各 B组 每日固定时间颈背部皮 灌胃等量生理盐水 组小鼠的血清中 FSH C组 下注射等量适宜浓度的 ③ ▲ 和 LH 的含量,并计 D组 DHEA 溶液(溶于玉米油) 灌胃等量适宜浓度的青蒿琥酯溶液 算 LHFSH 比值。 2)分析与讨论: ①B、C、D组注射 DHEA 溶液的目的是 ▲ 。A、B、C组均为对照组,其中C组的 对照类型 ▲ 为对照组。 ②研究发现,青蒿琥酯可以缓解多囊卵巢综合征。请用柱形图表示最后一次实验结果。 ▲ ③除抽血检测外,本实验还可以选择 ▲ 作为检测指标。 学科网(北京)股份有限公司2025-2026学年第一学期天域全国名校协作体联考高三年级生物学科参考答案 一、选择题(本大题共 余题,对不越2分,其:分。每不遇列出的丗界备选项中只有一个是 符合题目要求的,不选、多选、错选均不得分) BAACC DBDDB DCBBC BCDCC 二、非选择题(本大题共5小题,共60分) 21.(每空1分,共11分) (1)透明度、溶解氧浓度、pH、温度(答出1点合理即可) 富营养化 生产者固定的太阳能 和人工输入有机物中的化学能 分解者 (2)直接和间接(使用) 水平 种植密度/种植数量 生态位重叠 (3)13J/cm2.a 10% 使氮、磷营养物质随乌鳢和草鱼捕捞而离开该生态系统 22.(除特殊标注外,每空1分,共11分) (1)光合色素 ATP和NADPH 信号/物理信息 (2)PSII 部分LHCII转移至PSI 进化 (3)红光 添加其他蛋白抑制剂和对照组(2分) 更低 (4)叶绿体分布 23.(除特殊标注外,每空1分,共12分) (1)去雄和套袋 分离 A >A>A A A 紫花:红花:白花=7:5:4(2分) 2 1 2 (2)碱基对的替换 增加3个氨基酸(残基) (3)将抗病的紫花植株和不抗病白花(不抗病红花)植株杂交 A 基因所在的染色体上 A基因所在的染色体上 2 抗病紫花:不抗病红花:抗病红花:不抗病紫花=1:1:1:1 24.(除特殊标注外,每空1分,13分) (1)基因敲除/抑制表达 麦角固醇 (2)感受态 便于筛选导入重组质粒的受体细胞 相同的 编码终止密码的序列 在 快速生长期促使(ERG7和UBR1)融合基因表达(1分),产生ERG7酶,化麦角固醇合成(1分)(共 2分) 半乳糖 不再合成且残留的ERG7酶逐渐被降解(2分) (3)过滤/离心/静置 破碎酵母菌/破碎细胞 25.(除特殊标注外,每空1分,共13分) (1)腺垂体 促性腺激素释放激素和性激素 升高 (2)胰岛素抵抗/胰岛素不敏感 血浆中葡萄糖浓度过高,血浆渗透压升高,刺激机体产生 兴奋传至大脑皮层形成渴觉,主动饮水 (3) 1)A组处理:①每日固定时间颈背部皮下注射等量玉米油;②灌胃适量生理盐水 C组处理:③灌胃等量适宜浓度的二甲双胍溶液 2)①构建多囊卵巢综合征模型 阳性 ② 学科网(北京)股份有限公司ABCD组别 标题:青蒿琥酯对多囊卵巢综合征小鼠的促性腺激素水平的影响(表现出“B 组最高,D组次 之,A和C组相似且低于D组”得1分,纵坐标1分,标题不做要求,共2分) ③卵巢中卵泡发育情况 学科网(北京)股份有限公司