当前位置:首页>文档>湖北省部分高中协作体2025-2026学年高三上学期9月联考数学试卷(含答案)_2025年9月_250924湖北省部分高中协作体联考2025-2026学年高三上学期9月联考(全科)

湖北省部分高中协作体2025-2026学年高三上学期9月联考数学试卷(含答案)_2025年9月_250924湖北省部分高中协作体联考2025-2026学年高三上学期9月联考(全科)

  • 2026-04-14 00:57:17 2026-02-11 15:34:53

文档预览

湖北省部分高中协作体2025-2026学年高三上学期9月联考数学试卷(含答案)_2025年9月_250924湖北省部分高中协作体联考2025-2026学年高三上学期9月联考(全科)
湖北省部分高中协作体2025-2026学年高三上学期9月联考数学试卷(含答案)_2025年9月_250924湖北省部分高中协作体联考2025-2026学年高三上学期9月联考(全科)
湖北省部分高中协作体2025-2026学年高三上学期9月联考数学试卷(含答案)_2025年9月_250924湖北省部分高中协作体联考2025-2026学年高三上学期9月联考(全科)
湖北省部分高中协作体2025-2026学年高三上学期9月联考数学试卷(含答案)_2025年9月_250924湖北省部分高中协作体联考2025-2026学年高三上学期9月联考(全科)
湖北省部分高中协作体2025-2026学年高三上学期9月联考数学试卷(含答案)_2025年9月_250924湖北省部分高中协作体联考2025-2026学年高三上学期9月联考(全科)
湖北省部分高中协作体2025-2026学年高三上学期9月联考数学试卷(含答案)_2025年9月_250924湖北省部分高中协作体联考2025-2026学年高三上学期9月联考(全科)
湖北省部分高中协作体2025-2026学年高三上学期9月联考数学试卷(含答案)_2025年9月_250924湖北省部分高中协作体联考2025-2026学年高三上学期9月联考(全科)
湖北省部分高中协作体2025-2026学年高三上学期9月联考数学试卷(含答案)_2025年9月_250924湖北省部分高中协作体联考2025-2026学年高三上学期9月联考(全科)
湖北省部分高中协作体2025-2026学年高三上学期9月联考数学试卷(含答案)_2025年9月_250924湖北省部分高中协作体联考2025-2026学年高三上学期9月联考(全科)
湖北省部分高中协作体2025-2026学年高三上学期9月联考数学试卷(含答案)_2025年9月_250924湖北省部分高中协作体联考2025-2026学年高三上学期9月联考(全科)
湖北省部分高中协作体2025-2026学年高三上学期9月联考数学试卷(含答案)_2025年9月_250924湖北省部分高中协作体联考2025-2026学年高三上学期9月联考(全科)

文档信息

文档格式
docx
文档大小
0.111 MB
文档页数
7 页
上传时间
2026-02-11 15:34:53

文档内容

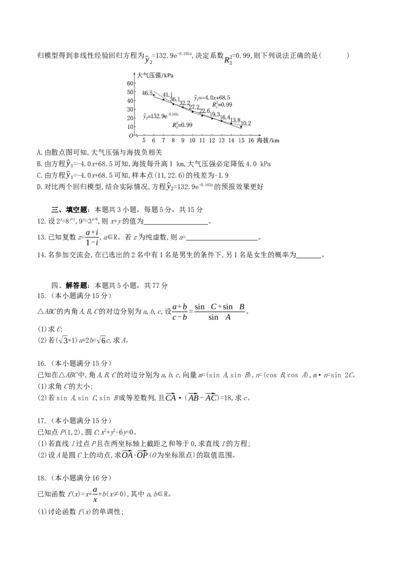
湖北省部分高中协作体2025—2026学年上学期9月联考 高三数学试题 本试卷共4页,19题,全卷满分150分,考试用时120分钟。 ★祝考试顺利★ 注意事项: 1、答题前,请将自己的姓名、准考证号、考场号、座位号填写在试卷和答题卡上,并将准考证号条 形码粘贴在答题卡上的制定位置。 2、选择题的作答:每小题选出答案后,用2B铅笔把答题卡上对应题目的答案标号涂黑,写在试卷、 草稿纸和答题卡上的非答题区域均无效。 3、非选择题作答:用黑色签字笔直接答在答题卡对应的答题区域内,写在试卷、草稿纸和答题卡上 的非答题区域均无效。 4、考试结束后,请将答题卡上交。 一、选择题:本题共8小题,每题5分,共40分,在每小题给出的四个选项中,只有一项是符合题目 要求的。 1 1 1.“00(x≠0),这时f(x)在(-∞,0),(0,+∞)上是增函数; = x2 x2 当a>0时,f'(x)=(x+√a)(x-√a),令f'(x)=0,解得x=± ,当x变化时,f'(x),f(x)的变化情况如下表: √a x2 (-∞, (-√a, (0, (√a, x -√a √a -√a) 0) √a) +∞) f'(x) + 0 - - 0 + 单调 单调 单调 单调 f(x) b-2√a 2√a+b 递增 递减 递减 递增 所以f(x)在(-∞,-√a)和(√a,+∞)上单调递增,在(-√a,0)和(0,√a)上单调递减。 (2)因为函数f(x)在(1,2)上为单调函数,故若f(x)在(1,2)上单调递增,则f'(x)≥0在x∈(1,2)时恒成立, 所以x2-a≥0,即a≤x2在x∈(1,2)时恒成立,所以a≤1。若f(x)在(1,2)上单调递减,则f'(x)≤0 在 x∈(1,2)时恒成立,所以x2-a≤0,即a≥x2在x∈(1,2)时恒成立,所以a≥4。综上所述,实数a的取值范围为 (-∞,1]∪[4,+∞)。 19.(本小题满分16分) 解 (1)更适宜的回归方程类型为②y=dcx+25。 (2)由y=dcx+25,可得y-25=dcx,对等式两边取自然对数,得ln(y-25)=ln d+xln c,令w=ln(y-25), 1 7 7 则w=ln d+xln c,计算,得x= ∑❑x=3,∑❑(x -x) 2 =28,结合题表中数据, 7 i i i=1 i=1 7 ∑❑(x -x)(w -w) i i -2.24 可得ln c=i=1 = =-0.08,结合参考数据可得c=e-0.08≈0.92, 7 28 ∑❑(x -x) 2 i i=1 由ln d=w-x·ln c,得ln d=4.09,结合参考数据可得d=e4.09≈60,所以该茶水温度y关于时间x的经验回 归方程为^y=60×0.92x+25。 (3)因为在25 ℃室温下,茶水温度降至60 ℃口感最佳,所以由60=60×0.92x+25, 60-25 7 7 得0.92x= = ,对等式两边取自然对数,得x·ln 0.92=ln =ln 7-2ln 2-ln 3≈-0.6, 60 12 12-0.6 -0.6 则x≈ = =7.5,所以在相同条件下,刚泡好的茶水大约需要放置7.5 min才能达到最佳饮用 ln e-0.08 -0.08 口感。