当前位置:首页>文档>甘肃省金太阳2025届高三1月联考政治(含答案)_2025年1月_250114甘肃省金太阳2025届高三1月联考(全科)

甘肃省金太阳2025届高三1月联考政治(含答案)_2025年1月_250114甘肃省金太阳2025届高三1月联考(全科)

  • 2026-04-17 04:52:02 2026-02-11 16:46:08

文档预览

甘肃省金太阳2025届高三1月联考政治(含答案)_2025年1月_250114甘肃省金太阳2025届高三1月联考(全科)
甘肃省金太阳2025届高三1月联考政治(含答案)_2025年1月_250114甘肃省金太阳2025届高三1月联考(全科)
甘肃省金太阳2025届高三1月联考政治(含答案)_2025年1月_250114甘肃省金太阳2025届高三1月联考(全科)
甘肃省金太阳2025届高三1月联考政治(含答案)_2025年1月_250114甘肃省金太阳2025届高三1月联考(全科)
甘肃省金太阳2025届高三1月联考政治(含答案)_2025年1月_250114甘肃省金太阳2025届高三1月联考(全科)
甘肃省金太阳2025届高三1月联考政治(含答案)_2025年1月_250114甘肃省金太阳2025届高三1月联考(全科)
甘肃省金太阳2025届高三1月联考政治(含答案)_2025年1月_250114甘肃省金太阳2025届高三1月联考(全科)
甘肃省金太阳2025届高三1月联考政治(含答案)_2025年1月_250114甘肃省金太阳2025届高三1月联考(全科)
甘肃省金太阳2025届高三1月联考政治(含答案)_2025年1月_250114甘肃省金太阳2025届高三1月联考(全科)
甘肃省金太阳2025届高三1月联考政治(含答案)_2025年1月_250114甘肃省金太阳2025届高三1月联考(全科)
甘肃省金太阳2025届高三1月联考政治(含答案)_2025年1月_250114甘肃省金太阳2025届高三1月联考(全科)
甘肃省金太阳2025届高三1月联考政治(含答案)_2025年1月_250114甘肃省金太阳2025届高三1月联考(全科)

文档信息

文档格式
pdf
文档大小
0.430 MB
文档页数
8 页
上传时间
2026-02-11 16:46:08

文档内容

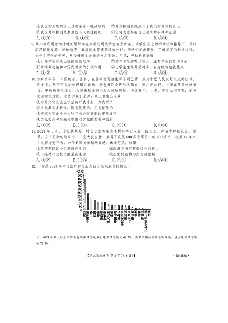
高三思想政治试卷 本试卷满分100分,考试用时75分钟。 注意事项: 1.答题前,考生务必将自己的姓名、考生号、考场号、座位号填写在答题卡上。 2.回答选择题时,选出每小题答案后,用铅笔把答题卡上对应题目的答案标号涂黑。 如需改动,用橡皮擦干净后,再选涂其他答案标号。回答非选择题时,将答案写在答题卡 上。写在本试卷上无效。 3.考试结束后,将本试卷和答题卡一并交回。 4.本试卷主要考试内容:高考全部内容。 一、选择题:本题共16小题,每小题3分,共48分。在每小题给出的四个选项中,只有一个是符 合题目要求的。 1.从井冈山上的艰辛求索,到“农村包围城市、武装夺取政权”的革命创举;从“山沟沟里的马克 思主义”,到“走自己的道路,建设有中国特色的社会主义”的伟大抉择……一百多年来,中国 共产党人始终“靠马克思列宁主义的真理吃饭,靠实事求是吃饭,靠科学吃饭”,不断寻找符合 中国实际的正确道路。这说明 ①马克思主义找到了变革社会的力量 ②党不断推进理论创新和实践创新 ③党坚持用自我革命引领社会革命 ④党始终坚持解放思想、实事求是 A.①③ B.①④ C.②③ D.②④ 2. “十个明确”“十四个坚持”“十三个方面成就”作为习近平新时代中国特色社会主义思想的主 要内容,它们不是一个平行排列摆放在一块儿的“拼盘”,而是具有理论上严谨的内在逻辑关 系,是一个有机的科学体系。对此,下列解读正确的是 ①“十个明确”是支撑习近平新时代中国特色社会主义思想的“四梁八柱” ②“十四个坚持”集中反映了我们党对科学社会主义在当今时代的理论思考 ③“十三个方面成就”是对党的治国理政重大方针、原则的最新概括 ④习近平新时代中国特色社会主义思想是一个相互贯通的思想理论体系 A.①② B.①④ C.②③ D.③④ 3.2024 年5月,国家金融监管总局印发《关于银行业保险业做好金融“五篇大文章”的指导意 见》,明确大力支持绿色金融,引导银行保险机构积极支持重点行业和领域节能、减污、降碳、 增绿、防灾,促进清洁低碳能源体系建设和绿色技术推广应用;丰富绿色金融产品和服务,发展 碳排放权、排污权等环境权益抵质押融资,探索绿色保险费率调节机制,推动环境保护、绿色产 业和技术等领域绿色保险业务发展。对此,下列推导合理的是 ①发展绿色保险业务→发挥社会保险互济功能→增强企业绿色发展信心→推动企业绿色低碳转型 【高三思想政治 第1页(共6页)】 ·25-255C·②强化绿色融资支持→满足重点行业和领域融资需求→加快转变发展方式→提高生态修复能力 ③丰富绿色金融产品→满足市场投资需求→撬动资金投向绿色领域→助力实现节能减排目标 ④发展环境权益抵质押融资→降低企业融资成本→增强企业绿色发展意愿→推动建设美丽中国 A.①② B.①④ C.②③ D.③④ 4.近年来,甘肃将财政支出的80%左右用于改善民生,优化助企稳岗拓岗措施,构建高质量教育体 系,实施全民健康工程,着力提供更多优质高效的公共服务,城乡居民收入增速连年跑赢经济增 速。可见,甘肃 ①完善分配体制机制,实现分配公平 ②始终坚持以人民为中心的发展思想 ③不断从人民群众中汲取智慧和力量 ④不断保障和改善民生,增进人民福祉 A.①③ B.①④ C.②③ D.②④ 5.2024年12月,习近平总书记在《求是》杂志发文指出,不谋私利就有了彻底的自我革命精神, 就能谋根本、谋大利,就能坚持真理、修正错误,敢于检视自身、常思己过。这告诉广大党员干 部 ①要牢记党的宗旨、初心和使命 ②要坚持和加强党中央集中统一领导 ③要发扬斗争精神,时刻保持清醒的头脑 ④要坚守自己的原则和底线,放弃个人利益 A.①③ B.①④ C.②③ D.②④ 6.近年来,某地积极构建“区街一体,条抓块统”的基层治理模式,成立由区委书记担任组长的 “党建引领网格化治理工作领导小组”;建立全触角信息掌握机制,绘制区域民情图、网格分布 图、网格信息图“三图”;积极引导协调辖区单位、非公经济组织和社会组织免费开放文体社区 和活动场所。该地的治理实践 ①创新了基层群众性自治组织的实现形式 ②赋予了基层党组织的治理职能与责任 ③在多方联动中有效激发基层治理活力 ④能及时全面了解辖区内不同群体的需求 A.①② B.①③ C.②④ D.③④ 7.黄河是中华民族的母亲河,保护黄河是事关中华民族伟大复兴的千秋大计。2023 年4月1日, 《中华人民共和国黄河保护法》正式施行。法律实施一年多,十四届全国人大常委会决定开展黄 河保护法执法检查,此次执法检查实现沿黄9省区的全覆盖。开展黄河保护法执法检查旨在 ①推动黄河保护法得到全面有效实施 ②进一步健全我国生态保护法律体系 ③巩固和强化黄河保护法的权威地位 ④用法治力量推动黄河流域生态保护 A.①③ B.①④ C.②③ D.②④ 8.面对复杂未知的地月空间环境,面对深远星际的测控通信难题,从2004年1月我国探月工程立项 开始,20年来,中国航天人弘扬探月精神,勇攀科技高峰,走出了一条高质量、高效益的月球探 测之路,实现从“望月”到“奔月”再到“揽月”,从“跟跑”到“并跑”再到“领跑”的重大 成就。材料说明 【高三思想政治 第2页(共6页)】 ·25-255C·①我国对月球的认识过程不是一帆风顺的 ②月球探测实践深化了我们对月球的认识 ③我国月球探测是渐进性与飞跃性的统一 ④任何真理都有自己适用的条件和范围 A.①③ B.①④ C.②③ D.②④ 9.某小学利用劳动课时间组织学生在学校周边的空地上种菜。同学们在老师的带领和指导下,开始 学习挖地拔草、耙地施肥、栽苗浇水等蔬菜种植技能。同学们走出课堂,了解蔬菜的种植过程, 体会了劳作的辛苦,更加懂得了食物的来之不易。可见,劳动教育能够 ①引导学生形成正确的价值取向 ②培养学生的劳动观念,涵育学生的劳动情感 ③发挥劳动精神对国民教育的引领作用 ④让学生懂得劳动越多,自身的价值就越大 A.①② B.①③ C.②④ D.③④ 10.200多年前,中国的茶、香料、瓷器等就远渡重洋来到巴西,成为中巴人民友好交流的纽带。 近年来,巴西可爱的波萨诺瓦音乐、特色舞蹈桑巴和战舞在中国广受欢迎,中国春节等传统节 日、中医药等传统文化为越来越多的巴西人民所熟知,两国青年、记者、学者互动频繁,地方 交往积极活跃。这告诉我们来源:高三答案公众号 ①对外文化交流应该坚持以我为主、为我所用 ②文化具有多样性,既是民族的,又是世界的 ③交流互鉴是不同文明寻求合作共赢的重要途径 ④文化交流和交融可以推动文化的发展和创新 A.①② B.①④ C.②③ D.③④ 11.2024年5月,为扭转颓势,时任E国首相宣布提前举行议会下院大选,并请求解散议会。结 果,在7月初的选举中,工党大获全胜,赢得下议院600多个席位中的400多个;执政14年之 久的保守党下台,时任E国首相黯然离场。由此可见,该国 ①政府是以议会为基础产生的 ②政府首脑有解散议会的权力 ③下院是行政权力的最高来源 ④国家的结构形式为两党制 A.①② B.①③ C.②④ D.③④ 12.下图是2023年中国出口部分亚太经合组织成员的情况: 注:2023年亚太经合组织成员的出口总额占全球出口总额的49.9%,其中中国的出口总额最高,占全球出口总额 的28.8%。 【高三思想政治 第3页(共6页)】 ·25-255C·据此,下列判断正确的是 ①亚太经合组织为成员之间的经济合作提供了平台 ②亚太经合组织以开放性的方式推进成员间的合作 ③中国积极参与亚太经合组织各层次各领域的合作 ④中国高水平推进与亚太经合组织成员的经贸合作 A.①③ B.①④ C.②③ D.②④ 13.刘某与葛某是上下楼邻居,他们居住的楼体中间有一个公共天井。葛某在天井窗外安装了护 栏,且在护栏底部垫放了隔板,而护栏下方是刘某家的厨房及卫生间窗户。刘某以该护栏及护 栏底部的隔板影响了其厨房排烟及厨房与卫生间的采光为由,要求葛某拆除护栏底部的隔板。 葛某不肯,双方因此产生矛盾。葛某的做法 ①损害了刘某的用益物权 ②背离了民法典确立的自愿原则 ③违背了权利与义务相一致的原则 ④违背了不动产相邻关系的处理原则 A.①② B.①③ C.②④ D.③④ 14.孔某应聘到某公司,公司屡次要求他订立劳动合同,但孔某多次拒绝。后来,孔某把公司告到 劳动争议仲裁委员会,要求公司支付未订立书面劳动合同的双倍工资差额120 000元。 《中华人民共和国劳动合同法》第八十二条第一款规定:用人单位自用工之日起超过一个月不满一年未 与劳动者订立书面劳动合同的,应当向劳动者每月支付二倍的工资。 对此,下列解读正确的是 ①劳动仲裁委应当拒绝受理孔某的仲裁申请 ②该公司应及时书面通知孔某终止劳动关系 ③孔某未遵循订立劳动合同的诚实信用原则 ④该公司应当依法支付给孔某双倍工资差额 A.①② B.①④ C.②③ D.③④ 15. “凡到会的都是优秀学生,小林到会了,所以,小林是优秀学生。”该三段论推理 A.符合三段论推理规则,结构正确 B.犯了“大项不当扩大”的错误 C.犯了“四概念”的错误 D.犯了“中项不周延”的错误 16.在盐碱环境下,盐土植物能通过蒸腾作用,选择性地吸收盐分和水分。经过多年摸索后,人们 注意到自然界中盐生植物具有高效提取特定物质的能力。受此启发,我国某研究团队开发了界 面光热盐湖提锂装置。该装置通过吸收太阳光产生热能,再利用热能驱动蒸腾作用,实现对锂 的高效提取,解决了我国盐湖型锂矿开采的难题。由此可见 ①从盐土植物到盐湖提锂装置的开发主要运用了仿生学的模拟方法 ②盐湖提锂装置是在比较的基础上就盐土植物功能进行类比的结果 ③创新思维只有善于联想,才能在实践基础上发挥比较推理的作用 ④类比在科技创新中具有前锋作用,可助力人们解决思想上的困惑 A.①② B.①③ C.②④ D.③④ 【高三思想政治 第4页(共6页)】 ·25-255C·二、非选择题:本题共4题,共52分。 17.阅读材料,完成下列要求。(17分) 丝绸古道驼铃声,黄河两岸面飘香。兰州牛肉拉面“生”在兰州,“香”飘世界。 【从地方小吃到大众快餐】 改革开放前,全兰州仅有零星的十几家牛肉拉面馆。随着社会消费水平的提高,牛肉拉面如何 吃出时代感? 这一问题成为摆在兰州人面前的时代课题。1998年,兰州将多个老字号牛肉拉面馆整 合,并制定了“八个统一”标准。2009年,兰州市政府选定某企业作为兰州牛肉拉面示范企业,向 全省、全国和海外推广,该企业被授权使用“中国兰州牛肉拉面”商标。为适应外地市场,让更多 的人了解牛肉拉面,兰州牛肉拉面的外地店在保留传统特色的同时创新推出更符合消费者需求的配 套美食。截至2024年,兰州牛肉拉面店已遍布全国各地,国内开店5.8万余家,年销售额超过600 亿元,从业人员40万余人。 (1)结合材料,运用《经济与社会》的知识,谈谈兰州牛肉拉面的成功之路。(9分) 【兰州牛肉拉面也是“世界牛肉拉面”】 据甘肃省商务厅统计,兰州牛肉拉面已在美国、澳大利亚等全球60多个国家和地区开店600余 家。不同于西式快餐容易实现工业化生产,兰州牛肉拉面离不开拉面师傅。为培养更多的拉面师 傅,兰州成立了牛肉拉面职业培训学校;截至2024年12月,学校已培训来自法国、意大利、瑞士 等40多个国家的230余名外籍学员。此前,兰州资源环境职业技术大学联合培黎职业学院等多家机 构在新西兰成立了首家以弘扬中国特色饮食文化的兰州牛肉拉面研学体验工坊——培黎工坊。工坊 集技能培训、趣味研学、经营用餐、文化体验于一体,突破了出海开店的传统模式,带领海外学员 直接感受中餐文化的独特魅力。截至2024年12月,工坊已吸引500 多名当地学员加入。 (2)结合材料,运用《当代国际政治与经济》的知识,说明兰州牛肉拉面成功走向世界的示范价值。 (8分) 18.阅读材料,完成下列要求。(10分) 为深入贯彻落实习近平总书记关于“人大代表要更加密切联系群众”重要指示精神,2024年7 月,某省人大常委会党组成员、主任会议成员,深入110余个市(州)、县(市区)、乡(镇、街道)、 村(社区)、园区代表联络站展开实地调研,研究出台了《关于进一步加强和规范全省人大代表联络 站工作的意见》(以下简称《意见》)。《意见》明确提出,全省人大代表联络站建设要以乡镇、街 道为主体,社区(村)、选区、片区、园区、行业、产业链等为延伸,线下线上相结合的立体网络体 系为标准,按照方便代表联系群众、方便群众找到代表、方便代表开展活动的原则,综合考虑人 口、代表分布等因素,充分利用现有设施、场地,优化代表联络站设置,按照有场地、有设备、有 人员、有制度、有活动、有经费等为基本标准建设。 结合材料,运用《政治与法治》的知识,阐述进一步加强和规范人大代表联络站建设的意义。 19.阅读材料,完成下列要求。(7分) 2019年6月至2020年8月,被告人李某伙同傅某、潘某等人,在未经注册商标所有权人苏州 某日用品有限公司许可的情况下,生产、销售假冒某品牌纸巾,非法获利,被公诉机关 【高三思想政治 第5 页(共6页)】 ·25-255C·依法起诉。 结合材料,运用《法律与生活》的知识,评析李某等人的行为。 20.阅读材料,完成下列要求。(18分) 学习好贯彻好党的二十届三中全会精神是当前和今后一个时期全党全国的一项重大政治任 务。 材料一 当前,我国在实践中存在着政策不一致的情况,并因此产生了“合成谬误”或“分解谬 误”。比如,有的政策“政出多门、九龙治水”,甚至相互掣肘、彼此打架;有的政策局部合理, 但叠加后反而产生负面效应,导致“局部用力、全局不利”。自2023年底以来,中央经济工作会 议、中央政治局会议、《政府工作报告》等重要会议和文件都反复强调要“增强宏观政策取向一致 性”。党的二十届三中全会明确提出,必须完善宏观调控制度体系,统筹推进财税、金融等重点领 域改革,增强宏观政策取向一致性。增强宏观政策取向一致性,需要贯穿从政策谋划到实施的全过 程,着力提升各领域政策目标、工具、力度、时机、节奏的一致性和匹配度。 材料二 文化关乎国本、国运,文化兴则国运兴,文化强则民族强。党的二十届三中全会通过的《中 共中央关于进一步全面深化改革、推进中国式现代化的决定》,立足强国建设、民族复兴的战略高 度,着眼赓续中华文脉、推动文化繁荣的重大使命,聚焦建设社会主义文化强国,提出深化文化体 制机制改革重大任务,明确改革路径和具体举措,为新时代新征程文化改革发展提供了根本遵循、 指明了前进方向。 (1)结合材料一,运用整体与部分的知识,论述增强宏观政策取向一致性的必要性。(8分) (2)结合材料二,运用《逻辑与思维》的知识,分析党的二十届三中全会提出深化文化体制机制改 革重大任务是如何运用超前思维的。(6分) (3)结合材料二,运用文化传承与文化创新的知识,就如何深化文化体制机制改革提出两条合理性 建议。(4分) 【高三思想政治 第6页(共6页)】 25-255C高三思想政治试卷参考答案 1. D 2. B 3. C 4. D 5. A 6. D 7. B 8. C 9. A 10. C 11. B 12. B 13. D 14. C 15. A 16. A 17.(1)①顺应时代发展潮流,面向市场组织生产,改善兰州牛肉拉面供给侧,把兰州牛肉拉面供给 与市场需求有机结合起来。(3分) ②推动有效市场和有为政府更好结合,制定行业标准,加强品牌建设,提高兰州牛肉拉面的质 量、市场知名度和竞争力。(3分) ③坚持创新发展,走产业化发展之路,积极开拓外地市场,在保留兰州牛肉拉面传统特色的同时 提高兰州牛肉拉面的适应性和市场占有率。(3分) (2)①抓住经济全球化的机遇,实行更加积极主动的开放战略,开拓国际市场,增强国内国际两 个市场两种资源联动效应。(3分) ②既注重对外开放、合作共赢,又强调保持自身特色。立足自身独特优势,创新合作模式,提高 合作质量。(3分) ③搭建交流平台,加深国外民众对本产品的认识;加大人才培训力度,提升本产品的国际影响 力。(2分)(考生如从其他角度作答,言之有理可酌情给分) 18.①有利于坚持和加强党对新时代人大工作的全面领导。(2分) ②有利于进一步健全代表联络机制,更好发挥人大代表作用。(2分) ③有利于密切人大代表与人民群众的联系,更好地听取和反映人民群众的意见和要求。(2分) ④有利于促进人大代表努力为人民服务,对人民负责,受人民监督。(2分) ⑤有利于保障人民当家作主(或“全过程人民民主”),推进社会主义民主政治建设。(2分)(考生 如从其他角度作答,言之有理可酌情给分) 19.①商标注册人享有注册商标专用权。(1分)李某等人在未经注册商标所有权人苏州某日用品有限 公司许可的情况下使用与注册商标相同的商标,构成侵权,应当停止侵害并赔偿损失。(2分) ②经营者应当遵循公平、诚信的原则,合法从事生产经营活动。(1分)李某等人实施混淆行为, 属于不正当竞争,(1分)既损害了他人的商业信誉,又对消费者构成欺诈,损害了社会公共利 益。(2分) 20.(1)整体居于主导地位,整体统率着部分,部分的功能及其变化会影响整体的功能,这就要求我 们树立全局观念,掌握系统优化的方法,用综合的思维方法认识事物。(3分)增强宏观政策取向 一致性需要着眼于经济社会发展的大局,贯穿从政策谋划到实施的全过程,提升各领域政策的一 致性和匹配度,(2分)只有这样才能使各项具体政策服从和服务于经济社会发展的整体目标,才 能使多方面因素之间相互协调、相互配合,形成合力,从而最大程度提升宏 【高三思想政治·参考答案 第1 页(共2页)】 ·25-255C·观调控的整体效果,推动经济社会发展。(3分)(考生如从其他角度作答,言之有理可酌情给分) (2)超前思维要以事物发展的状况为根据,运用矛盾分析法,对事物未来的发展趋势进行预测。(3 分)党中央立足我国实际,聚焦建设社会主义文化强国,深刻把握了我国文化发展的内在矛盾,对 新时代新征程文化改革发展作出了正确的判断和预见,为我国文化改革发展提供了根本遵循、指 明了前进方向。(3分) (3)答案示例: ①坚持马克思主义在意识形态领域的指导地位,坚定不移用习近平文化思想指导文化体制机制改 革,自觉把这一思想贯彻落实到文化改革全过程各方面。 ②充分运用中华优秀传统文化的宝贵资源,发展面向现代化、面向世界、面向未来的,民族的科 学的大众的社会主义文化,巩固文化主体性。(每条建议2分,共4分。本问具有开放性,考生如 有其他答案,言之有理均可得分) 【高三思想政治·参考答案 第2 页(共2页)】 ·25-255C·