当前位置:首页>文档>数学(全国甲卷文科)(参考答案)_2023高考押题卷_学易金卷-2023学科网押题卷(各科各版本)_2023学科网押题卷-学易金卷-数学_数学(全国甲卷文科)-学易金卷:2023年高考考前押题密卷

数学(全国甲卷文科)(参考答案)_2023高考押题卷_学易金卷-2023学科网押题卷(各科各版本)_2023学科网押题卷-学易金卷-数学_数学(全国甲卷文科)-学易金卷:2023年高考考前押题密卷

  • 2026-05-10 21:02:32 2026-02-12 11:28:27

文档预览

数学(全国甲卷文科)(参考答案)_2023高考押题卷_学易金卷-2023学科网押题卷(各科各版本)_2023学科网押题卷-学易金卷-数学_数学(全国甲卷文科)-学易金卷:2023年高考考前押题密卷
数学(全国甲卷文科)(参考答案)_2023高考押题卷_学易金卷-2023学科网押题卷(各科各版本)_2023学科网押题卷-学易金卷-数学_数学(全国甲卷文科)-学易金卷:2023年高考考前押题密卷
数学(全国甲卷文科)(参考答案)_2023高考押题卷_学易金卷-2023学科网押题卷(各科各版本)_2023学科网押题卷-学易金卷-数学_数学(全国甲卷文科)-学易金卷:2023年高考考前押题密卷
数学(全国甲卷文科)(参考答案)_2023高考押题卷_学易金卷-2023学科网押题卷(各科各版本)_2023学科网押题卷-学易金卷-数学_数学(全国甲卷文科)-学易金卷:2023年高考考前押题密卷
数学(全国甲卷文科)(参考答案)_2023高考押题卷_学易金卷-2023学科网押题卷(各科各版本)_2023学科网押题卷-学易金卷-数学_数学(全国甲卷文科)-学易金卷:2023年高考考前押题密卷
数学(全国甲卷文科)(参考答案)_2023高考押题卷_学易金卷-2023学科网押题卷(各科各版本)_2023学科网押题卷-学易金卷-数学_数学(全国甲卷文科)-学易金卷:2023年高考考前押题密卷
数学(全国甲卷文科)(参考答案)_2023高考押题卷_学易金卷-2023学科网押题卷(各科各版本)_2023学科网押题卷-学易金卷-数学_数学(全国甲卷文科)-学易金卷:2023年高考考前押题密卷
数学(全国甲卷文科)(参考答案)_2023高考押题卷_学易金卷-2023学科网押题卷(各科各版本)_2023学科网押题卷-学易金卷-数学_数学(全国甲卷文科)-学易金卷:2023年高考考前押题密卷
数学(全国甲卷文科)(参考答案)_2023高考押题卷_学易金卷-2023学科网押题卷(各科各版本)_2023学科网押题卷-学易金卷-数学_数学(全国甲卷文科)-学易金卷:2023年高考考前押题密卷
数学(全国甲卷文科)(参考答案)_2023高考押题卷_学易金卷-2023学科网押题卷(各科各版本)_2023学科网押题卷-学易金卷-数学_数学(全国甲卷文科)-学易金卷:2023年高考考前押题密卷
数学(全国甲卷文科)(参考答案)_2023高考押题卷_学易金卷-2023学科网押题卷(各科各版本)_2023学科网押题卷-学易金卷-数学_数学(全国甲卷文科)-学易金卷:2023年高考考前押题密卷
数学(全国甲卷文科)(参考答案)_2023高考押题卷_学易金卷-2023学科网押题卷(各科各版本)_2023学科网押题卷-学易金卷-数学_数学(全国甲卷文科)-学易金卷:2023年高考考前押题密卷

文档信息

文档格式
docx
文档大小
0.447 MB
文档页数
8 页
上传时间
2026-02-12 11:28:27

文档内容

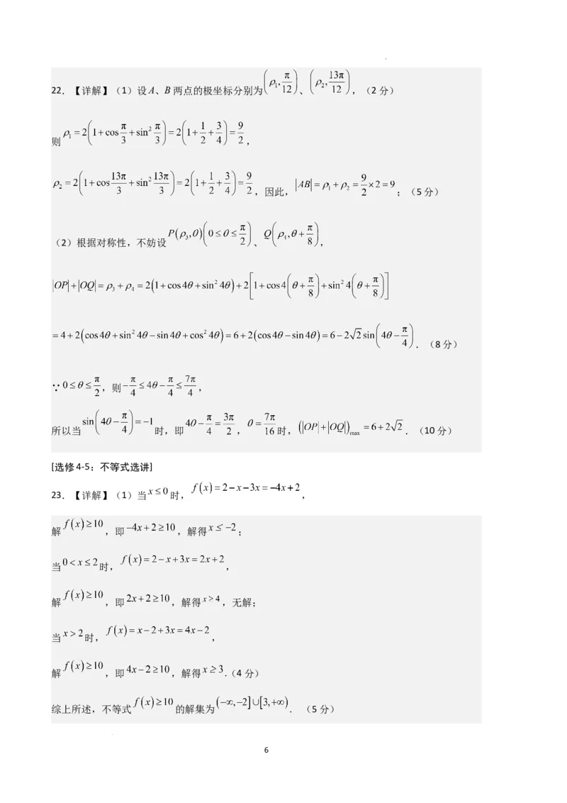
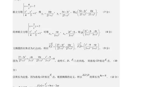
2023 年高考考前押题密卷(全国甲卷) 数学(文科) 参考答案 1 2 3 4 5 6 7 8 9 10 11 12 C B D C D A D B B B D D 二、填空题:本题共4小题,每小题5分,共20分. 13.【答案】 14.【答案】 15.【答案】 (答案不唯一) 16.【答 案】 三、解答题:共70分.解答应写出文字说明、证明过程或演算步骤.第17~21题为必考题,每个 试题考生都必须作答.第22、23题为选考题,考生根据要求作答. (一)必考题:共60分. 17.【详解】(1)∵ , 则 , (3分) ∴ . (4分) (2)由(1)可得 ,由正弦定理可得 , (5分) 若选条件①:由余弦定理 ,即 , (7分) 注意到 ,解得 ,则 ,由三角形的性质可知此时 存在且唯一确定, (9分) ∵ ,则 ,可得 , (11分) ∴ 的面积 . (12分) 若选条件②:∵ ,可得 ,则有: 若 为锐角,则 ,由余弦定理 ,即 , 整理得: ,且 ,解得 ,则 ;(7分) 1 学科网(北京)股份有限公司若 为钝角,则 ,由余弦定理 ,即 , 整理得: ,且 ,解得 ,则 ;(10分) 综上所述:此时 存在但不唯一确定,不合题意.(12分) 若条件③:由题意可得: ,即 ,解得 ,则 ,(6分) 由三角形的性质可知此时 存在且唯一确定,(7分) 由余弦定理可得 ,(9分) 则 ,可得 ,(11分) ∴ 的面积 .(12分) 18.【详解】(1)解:令 ,则 关于 的线性回归方程为 , (1分) 由题意可得 , , (3分) 则 ,所以, 关于 的回归方程为 . (5分) (2)解:由 可得 , (7分) 年利润 , (9分) 当 时,年利润 取得最大值,此时 , (11分) 所以,当年技术创新投入为 千万元时,年利润的预报值取最大值. (12分) 19.【详解】(1)证明:如图,作 中点 ,连接 , 2 学科网(北京)股份有限公司因为 是平行四边形,所以 , (2分) 在 中, 为中位线,故 ,所以 ,故 四点共面. (5分) (2)设 到平面 的距离为 ,点 到平面 的距离为 , (7分) 在 中, .故 的面积 . (9分) 同理 ,由三棱锥 的体积 , (10分) 所以 ,得 .故 到平面 的距离为 . (12分) 20.【详解】(1)由已知得: , , , 设 ,因为M在椭圆上,所以 ①(2分) 因为 , 将①式代入,得 ,得 ,(4分) 所以椭圆 .(5分) 3 学科网(北京)股份有限公司(2)①证明:设 ,则 , ,同理可得 , , (6分) 联立方程 ,得 , ,则 . (7分) 同理联立方程 ,可得 , ,则 . (8分) 又椭圆的右焦点为 ,所以 , ,(9分) 因为 ,说明C,D, 三点共线, 即直线CD恒过 点.(10 分) ②周长为定值.因为直线CD恒过 点,根据椭圆的定义,所以 的周长为 .(12分) 21.【详解】(1)∵ , ∴ , ,记 ,(1分) ①当 ,即 时, 恒成立, 所以 在 上恒成立,所以 在 上单调递增.(2分) 4 学科网(北京)股份有限公司②当 ,即 时, 方程有两个不等实根,且 , , ∴ , , , 单调递增, , , , 单调递减, , , , 单调递增,(4分) 综上所述:①当 时, 在 上单调递增,②当 时, 在 和 上单调递增,在 上单调递减.(5分) (2)∵ ,∴ ,(6分) 由(1)可知 时, 在 上单调递增,故不妨设 , 要证: ,即证: ,(7分) 又∵当 时, 在 上单调递增,∴只需证 , 又∵ ,∴只需证: ,(8分) 即证: ,( ),记 , , , ∴当 时, 恒成立, 单调递增,(11分) ∴ ,∴原命题得证.即 .(12分) (二)选考题:共10分.请考生在第22、23题中任选一题作答.如果多做,则按所做的第一题计 分. [选修4-4:坐标系与参数方程] 微信搜索“高中试卷君”公众号 领取押题卷联考卷 5 学科网(北京)股份有限公司22.【详解】(1)设A、B两点的极坐标分别为 、 ,(2分) 则 , ,因此, ;(5分) (2)根据对称性,不妨设 、 , .(8分) ∵ ,则 , 所以当 时,即 , 时, .(10分) [选修4-5:不等式选讲] 23.【详解】(1)当 时, , 解 ,即 ,解得 ; 当 时, , 解 ,即 ,解得 ,无解; 当 时, , 解 ,即 ,解得 .(4分) 综上所述,不等式 的解集为 . (5分) 6 学科网(北京)股份有限公司(2)由(1)可知, . 当 时, ;当 时, ; 当 时, ,(7分) 所以函数 的最小值为2,所以 ,所以 .(8分) 由柯西不等式可得, ,(9分) 当且仅当 时,等号成立.所以 ,所以 。(10分) 7 学科网(北京)股份有限公司8 学科网(北京)股份有限公司