当前位置:首页>文档>数学-2024届新高三开学摸底考试卷(九省新高考通用)03(答案及评分标准)_2024届新高三开学摸底考试卷_数学-2024届新高三开学摸底考试卷

数学-2024届新高三开学摸底考试卷(九省新高考通用)03(答案及评分标准)_2024届新高三开学摸底考试卷_数学-2024届新高三开学摸底考试卷

  • 2026-03-24 16:02:41 2026-02-12 13:24:57

文档预览

数学-2024届新高三开学摸底考试卷(九省新高考通用)03(答案及评分标准)_2024届新高三开学摸底考试卷_数学-2024届新高三开学摸底考试卷
数学-2024届新高三开学摸底考试卷(九省新高考通用)03(答案及评分标准)_2024届新高三开学摸底考试卷_数学-2024届新高三开学摸底考试卷
数学-2024届新高三开学摸底考试卷(九省新高考通用)03(答案及评分标准)_2024届新高三开学摸底考试卷_数学-2024届新高三开学摸底考试卷
数学-2024届新高三开学摸底考试卷(九省新高考通用)03(答案及评分标准)_2024届新高三开学摸底考试卷_数学-2024届新高三开学摸底考试卷
数学-2024届新高三开学摸底考试卷(九省新高考通用)03(答案及评分标准)_2024届新高三开学摸底考试卷_数学-2024届新高三开学摸底考试卷
数学-2024届新高三开学摸底考试卷(九省新高考通用)03(答案及评分标准)_2024届新高三开学摸底考试卷_数学-2024届新高三开学摸底考试卷
数学-2024届新高三开学摸底考试卷(九省新高考通用)03(答案及评分标准)_2024届新高三开学摸底考试卷_数学-2024届新高三开学摸底考试卷
数学-2024届新高三开学摸底考试卷(九省新高考通用)03(答案及评分标准)_2024届新高三开学摸底考试卷_数学-2024届新高三开学摸底考试卷
数学-2024届新高三开学摸底考试卷(九省新高考通用)03(答案及评分标准)_2024届新高三开学摸底考试卷_数学-2024届新高三开学摸底考试卷
数学-2024届新高三开学摸底考试卷(九省新高考通用)03(答案及评分标准)_2024届新高三开学摸底考试卷_数学-2024届新高三开学摸底考试卷
数学-2024届新高三开学摸底考试卷(九省新高考通用)03(答案及评分标准)_2024届新高三开学摸底考试卷_数学-2024届新高三开学摸底考试卷
数学-2024届新高三开学摸底考试卷(九省新高考通用)03(答案及评分标准)_2024届新高三开学摸底考试卷_数学-2024届新高三开学摸底考试卷
数学-2024届新高三开学摸底考试卷(九省新高考通用)03(答案及评分标准)_2024届新高三开学摸底考试卷_数学-2024届新高三开学摸底考试卷
数学-2024届新高三开学摸底考试卷(九省新高考通用)03(答案及评分标准)_2024届新高三开学摸底考试卷_数学-2024届新高三开学摸底考试卷
数学-2024届新高三开学摸底考试卷(九省新高考通用)03(答案及评分标准)_2024届新高三开学摸底考试卷_数学-2024届新高三开学摸底考试卷
数学-2024届新高三开学摸底考试卷(九省新高考通用)03(答案及评分标准)_2024届新高三开学摸底考试卷_数学-2024届新高三开学摸底考试卷
数学-2024届新高三开学摸底考试卷(九省新高考通用)03(答案及评分标准)_2024届新高三开学摸底考试卷_数学-2024届新高三开学摸底考试卷
数学-2024届新高三开学摸底考试卷(九省新高考通用)03(答案及评分标准)_2024届新高三开学摸底考试卷_数学-2024届新高三开学摸底考试卷
数学-2024届新高三开学摸底考试卷(九省新高考通用)03(答案及评分标准)_2024届新高三开学摸底考试卷_数学-2024届新高三开学摸底考试卷
数学-2024届新高三开学摸底考试卷(九省新高考通用)03(答案及评分标准)_2024届新高三开学摸底考试卷_数学-2024届新高三开学摸底考试卷
数学-2024届新高三开学摸底考试卷(九省新高考通用)03(答案及评分标准)_2024届新高三开学摸底考试卷_数学-2024届新高三开学摸底考试卷

文档信息

文档格式
docx
文档大小
0.617 MB
文档页数
17 页
上传时间
2026-02-12 13:24:57

文档内容

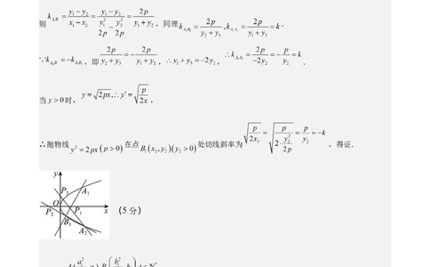
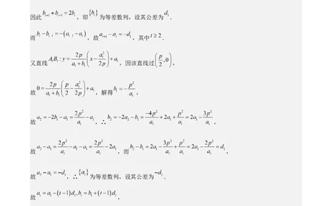
数学-2024届新高三开学摸底考试卷(九省新高考通用)03 数学·答案及评分标准 1 2 3 4 5 6 7 8 9 10 11 12 B C C B A D D B ABC AC AD CD 13. 14. 15. 16.5(答案不唯一) 17. 【答案】(1) (2) 【分析】(1)先由同角三角函数的平方关系结合角的象限计算 ,再由商数关系计算 ; (2)先由二倍角公式计算 和 ,再代入和差角公式计算即可. 【详解】(1) , , (5分) (2)由(1)得 , 所以 , , 所以 (10分) 18. 【答案】(1)证明见解析 (2)证明见解析 【分析】(1)设 ,可用点的坐标表示 ,根据斜率关系可得的关系,根据导数求出点 处切线斜率,从而可证抛物线在点 处切线斜率为 ;. (2) 设 ,根据题设的共点的直线的斜率关系可得 , 从而可证 、 为等差数列,故可证 为等差数列. 【详解】(1)设 则 ,同理 . ,即 , , . 当 时, , ∴抛物线 在点 处切线斜率为 ,得证. (5分) (2)设 , 故直线 , 令 ,则 ,故 ,同理 .当 时, 故 ,当 时,同理有 , ∵ ,故 , 整理得到: ,因此 , 由 可得 ,故 , 因此 ,即 为等差数列,设其公差为 . 而 ,故 ,其中 . 又直线 ,因该直线过 , 故 ,解得 , 故 ,∴ , 故 ,而 , 故 ,∴ 为等差数列,设其公差为 . 故 , 故当 时, , 该数为常数. 当 时, ,该数为常数, 而 , 故 ,故 ,故对任意的 , 为常数,故数列 为等差数列.(12分) 19. 【答案】(1)证明见解析; (2) 【分析】(1)通过勾股定理,证明出 可证得 平面 . (2)作 ,垂足为H,连结 ,证得 为 与平面 所成的角,在 中求 即可. 【详解】(1)∵ , , , 由勾股定理得: , 中, , ∵ ,∴ , 又因为 底面 , 底面 ,所以 , 又因为 且 平面 ,∴ 平面 ,(6分) (2)作 ,垂足为H,连结 , 因为 平面 , 平面 ,所以 , 又因为 且 平面 ,所以 平面 , 所以 为 与平面 所成的角, 中, , , 所以直线 与平面 所成角的余弦值为 . (12分)20. 【答案】(1) (2) (3)证明见解析 【分析】(1)由已知可得 , ,然后即可根据等差数列的前n项和公式,即可得出答案; (2)由(1)可推得 ,然后根据错位相减以及等比数列的前n项和公式,即可得出答案; (3)由(1)可推得 ,进而可得当 时, .裂项求和即可得出证明. 【详解】(1)由已知 , 所以 , 所以, .(2分) (2)由(1)可知, , , 所以 , 所以 ①, ②, 所以① ②可得 , 所以 .(6分)(3)由(1)可推得 . 当 时, , 所以 ,, 所以当 时, .(12分) 21. 【答案】(1) (2) 【分析】(1)利用椭圆过点 ,得到 ,再由椭圆的离心率为 ,求出 的值,从而求到椭圆 的标准方程; (2)对直线 的斜率为0、斜率不存在及斜率存在且不为0三种情况讨论,从而求出 ,得到结论. 【详解】(1)因为椭圆过点 ,所以 , 又 , ,所以 ,得到 , 所以椭圆 的标准方程为 .(4分) (2)当直线斜率 存在且不为0时,设直线 的方程为 , 联立直线 和椭圆 的方程得 ,消去 并整理,得 , 因为直线 与椭圆 有且只有一个公共点,所以方程有两个相等的根, , 化简整理得 因为直线 与 垂直,所以直线 的方程为 ,联立得 ,解得 , , 所以 把 代入上式得, ,所以 ,为定值; 当直线 斜率为0时,直线 ,过点 作直线 的垂线,则垂线方程为 ,此时 或 , ,为定值; 当直线 斜率不存在时,直线 ,过点 作直线 的垂线,则垂线方程为 , 此时 或 , ,为定值; 综上所述, ,为定值.(12分) 22. 【答案】(1) (2) 【分析】(1)根据椭圆离心率和焦点三角形周长可求得 ,即可得出椭圆C的标准方程; (2)易知 的轨迹是以OM为直径的圆与圆 的交点,求出AB所在的直线方程,并于椭圆 方程联立根据弦长公式求得 的面积的表达式,再化简变形构造函数即可求得其取值范围. 【详解】(1)设椭圆焦距为2c,根据椭圆定义可知, 的周长为 ,离心率 联立 ,解得 , , 所以 , 即椭圆C的标准方程 .(4分) (2)设点 ,又 为切点,可知 ,所以 四点共圆,即 在以OM为直径的圆上, 则以OM为直径的圆的方程为 , 又 在圆 上, 两式相减得直线AB的方程为 ,如下图所示:设 , ,由 , 消去y整理后得 , , , 所以 , 又点O到直线PQ的距离 , 设 的面积为S,则 , 其中 ,令 ,则 ,设 , ,则 , 所以 在区间 上单调递增,从而得 ,于是可得 , 即 的面积的取值范围为 .(12分)公众号:高中试卷君