当前位置:首页>文档>七校联合体2024届高三第一次联考答案(8月)数学答案_2023年8月_01每日更新_9号

七校联合体2024届高三第一次联考答案(8月)数学答案_2023年8月_01每日更新_9号

  • 2026-04-09 15:12:37 2026-02-12 14:38:54

文档预览

七校联合体2024届高三第一次联考答案(8月)数学答案_2023年8月_01每日更新_9号
七校联合体2024届高三第一次联考答案(8月)数学答案_2023年8月_01每日更新_9号
七校联合体2024届高三第一次联考答案(8月)数学答案_2023年8月_01每日更新_9号
七校联合体2024届高三第一次联考答案(8月)数学答案_2023年8月_01每日更新_9号
七校联合体2024届高三第一次联考答案(8月)数学答案_2023年8月_01每日更新_9号
七校联合体2024届高三第一次联考答案(8月)数学答案_2023年8月_01每日更新_9号
七校联合体2024届高三第一次联考答案(8月)数学答案_2023年8月_01每日更新_9号
七校联合体2024届高三第一次联考答案(8月)数学答案_2023年8月_01每日更新_9号
七校联合体2024届高三第一次联考答案(8月)数学答案_2023年8月_01每日更新_9号
七校联合体2024届高三第一次联考答案(8月)数学答案_2023年8月_01每日更新_9号
七校联合体2024届高三第一次联考答案(8月)数学答案_2023年8月_01每日更新_9号

文档信息

文档格式
docx
文档大小
0.599 MB
文档页数
7 页
上传时间
2026-02-12 14:38:54

文档内容

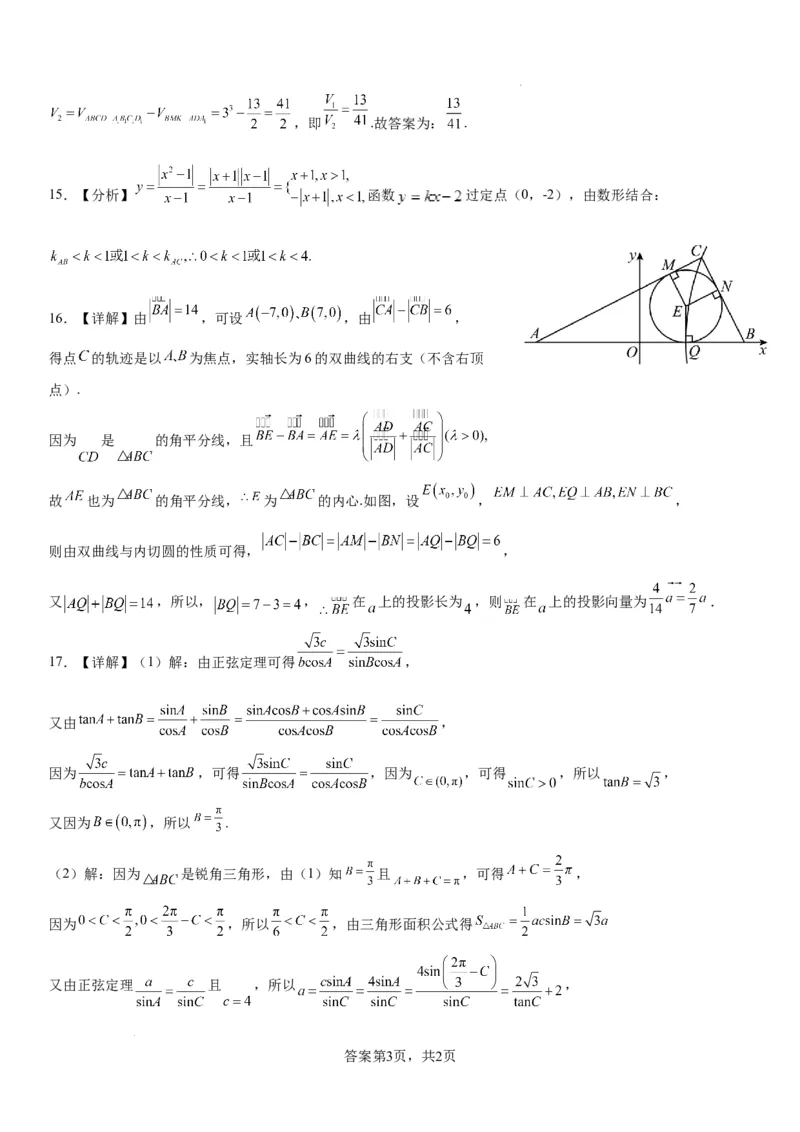
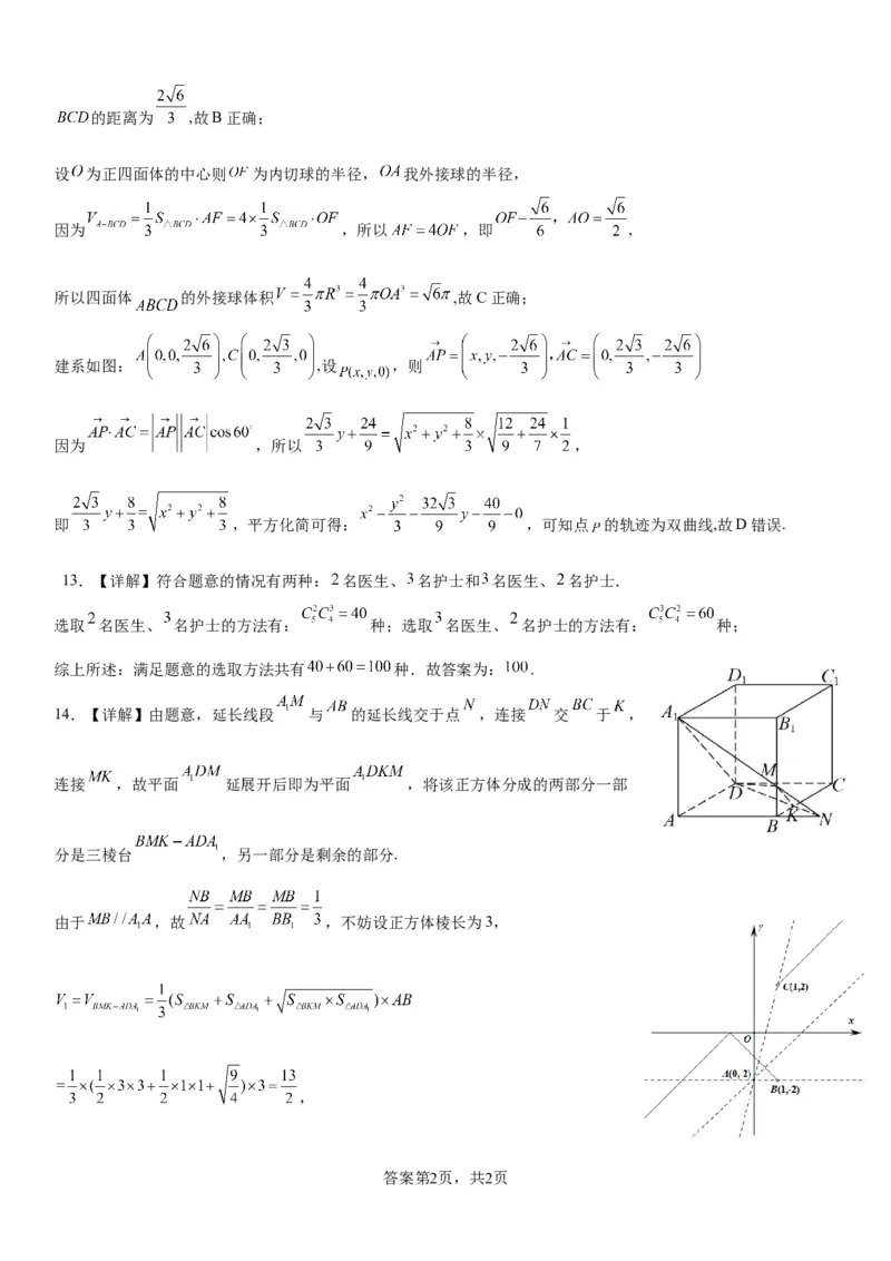
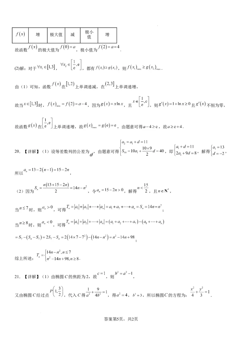
七校联合体 2024 届高三第一次联考试卷(8 月) 数学科目(答案) DDAB BCCD 8.【详解】根据正弦和角与差角公式化简函数式可得 ,( , ). 根据正弦函数单调递增区间可知 ,( )上单调递增, 化简得 , ;∴函数 的单调增区间为 ,( ). ∵在 上单调递减,可得 ,解得 ,( ).又 , 当 时,可得 ;当 时,可得 .故选:D. 9.AB 10.ACD. 11.BCD 11.对于D: , ,所以 是奇函数; 根据二次函数的单调性,易知 在 和 都是减函数,且在 处连续,所以 在 上是减函数,所以是“理想函数”.12.BC 12.【详解】取 中点 ,连接 ,可得 面 ,则 ,故A错误; 在四面体 中,过点 作 面 于点 ,则 为为底面正三角形 的重心,因为所有棱长均为 , ,即点 到平面 答案第1页,共2页 学科网(北京)股份有限公司的距离为 ,故B正确; 设 为正四面体的中心则 为内切球的半径, 我外接球的半径, 因为 ,所以 ,即 , 所以四面体 的外接球体积 ,故C正确; 建系如图: ,设 ,则 因为 ,所以 , 即 ,平方化简可得: ,可知点 的轨迹为双曲线,故D错误. 13.【详解】符合题意的情况有两种: 名医生、 名护士和 名医生、 名护士. 选取 名医生、 名护士的方法有: 种;选取 名医生、 名护士的方法有: 种; 综上所述:满足题意的选取方法共有 种.故答案为: . 14.【详解】由题意,延长线段 与 的延长线交于点 ,连接 交 于 , 连接 ,故平面 延展开后即为平面 ,将该正方体分成的两部分一部 分是三棱台 ,另一部分是剩余的部分. 由于 ,故 ,不妨设正方体棱长为3, , 答案第2页,共2页,即 .故答案为: . 15.【分析】 函数 过定点(0,-2),由数形结合: 16.【详解】由 ,可设 ,由 , 得点 的轨迹是以 为焦点,实轴长为6的双曲线的右支(不含右顶 点). 因为 是 的角平分线,且 故 也为 的角平分线, 为 的内心.如图,设 , , 则由双曲线与内切圆的性质可得, , 又 ,所以, , 在 上的投影长为 ,则 在 上的投影向量为 . 17.【详解】(1)解:由正弦定理可得 , 又由 , 因为 ,可得 ,因为 ,可得 ,所以 , 又因为 ,所以 . (2)解:因为 是锐角三角形,由(1)知 且 ,可得 , 因为 ,所以 ,由三角形面积公式得 又由正弦定理 且 ,所以 , 答案第3页,共2页 学科网(北京)股份有限公司因为 ,所以 ,所以 , 所以 ,即 面积的取值范围为 . 18.(1)因为三棱柱 是直三棱柱, 底面 , , , ,又 , 平面 .所以 两两垂直. 以 为坐标原点,分别以 所在直线为 轴建立空间直角坐标系,如图. , . 由题设 ( ).因为 , 所以 ,所以 . (2)设平面 的法向量为 ,因为 , 所以 ,即 .令 ,则 因为平面 的法向量为 ,设平面 与平面 的二面角的平面角为 , 则 .当 时, 取最小值为 , 此时 取最大值为 .所以 ,此时 . 19.(1)解:函数 的定义域为 , , 令 ,可得 或 ,列表如下: 答案第4页,共2页极小 增 极大值 减 增 值 故函数 的极大值为 ,极小值为 . (2)解:对于 , ,都有 ,则 . 由(1)可知,函数 在 上单调递减,在 上单调递增, 故当 时, ,因为 ,且 ,则 且 不恒为零, 故函数 在 上单调递增,故 ,由题意可得 ,故 . 20.【详解】(1)设等差数列的公差为 ,由题意可得 ,即 ,解得 , 所以 , (2)因为 ,令 ,解得 ,且 , 当 时,则 ,可得 ; 当 时,则 ,可得 ; 综上所述: . 21.【详解】(1)由椭圆C的焦距为2,故 ,则 , 又由椭圆C经过点 ,代入C得 ,得 , ,所以椭圆 的方程为: . 答案第5页,共2页 学科网(北京)股份有限公司(2)根据题意,直线 的斜率显然不为零,令 由椭圆右焦点 ,故可设直线l的方程为 , 与 联立得, ,则 , 设 , , , , 设存在点T,设T点坐标为 ,由 ,得 , 又因为 ,所以 , , 所以直线TA和TB关于x轴对称,其倾斜角互补,即有 , 则: ,所以 , 所以 , , 即 ,即 , 解得 ,符合题意,即存在点T 满足题意. 22.【详解】(1)由题知, 的取值可能为1,2,3所以 ; ; ; 所以 的分布列为: 1 2 3 所以数学期望为 . 答案第6页,共2页(2)令 ,则a^= y−b^x;,由题知: , , 所以 , 所以 , ,故所求的回归方程为: , 所以,估计 时, ;估计 时, ;估计 时, ; 预测成功的总人数为 . (3)由题知,在前 轮就成功的概率为 又因为在前 轮没有成功的概率为 , 故 . 答案第7页,共2页 学科网(北京)股份有限公司