当前位置:首页>文档>数学答案-金华十校2025-2026学年第一学期期末调研考试(1)_2026年1月_260124金华十校2025-2026学年第一学期高三期末调研考试

数学答案-金华十校2025-2026学年第一学期期末调研考试(1)_2026年1月_260124金华十校2025-2026学年第一学期高三期末调研考试

  • 2026-03-30 09:51:52 2026-02-12 15:42:15

文档预览

数学答案-金华十校2025-2026学年第一学期期末调研考试(1)_2026年1月_260124金华十校2025-2026学年第一学期高三期末调研考试
数学答案-金华十校2025-2026学年第一学期期末调研考试(1)_2026年1月_260124金华十校2025-2026学年第一学期高三期末调研考试
数学答案-金华十校2025-2026学年第一学期期末调研考试(1)_2026年1月_260124金华十校2025-2026学年第一学期高三期末调研考试
数学答案-金华十校2025-2026学年第一学期期末调研考试(1)_2026年1月_260124金华十校2025-2026学年第一学期高三期末调研考试
数学答案-金华十校2025-2026学年第一学期期末调研考试(1)_2026年1月_260124金华十校2025-2026学年第一学期高三期末调研考试
数学答案-金华十校2025-2026学年第一学期期末调研考试(1)_2026年1月_260124金华十校2025-2026学年第一学期高三期末调研考试
数学答案-金华十校2025-2026学年第一学期期末调研考试(1)_2026年1月_260124金华十校2025-2026学年第一学期高三期末调研考试
数学答案-金华十校2025-2026学年第一学期期末调研考试(1)_2026年1月_260124金华十校2025-2026学年第一学期高三期末调研考试
数学答案-金华十校2025-2026学年第一学期期末调研考试(1)_2026年1月_260124金华十校2025-2026学年第一学期高三期末调研考试
数学答案-金华十校2025-2026学年第一学期期末调研考试(1)_2026年1月_260124金华十校2025-2026学年第一学期高三期末调研考试
数学答案-金华十校2025-2026学年第一学期期末调研考试(1)_2026年1月_260124金华十校2025-2026学年第一学期高三期末调研考试

文档信息

文档格式
pdf
文档大小
1.078 MB
文档页数
7 页
上传时间
2026-02-12 15:42:15

文档内容

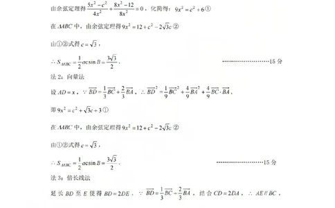
金华十校2026年1月高三模拟考试 数学参考答案 一、单选题:本题共8小题,每小题5分,共40分。在每小题给出的选项中,只有一项是 符合题目要求的. 1 2 3 4 5 6 7 8 C B B A D D A D 二、多选题:本题共3小题,共18分.在每小题给出的选项中,有多项符合题目要求。 9 10 11 AC ACD ABD 12. 3 13. 20 14. √21 四、解答题:本题共5小题,共77分.解答应写出文字说明,证明过程或演算步骤。 解析:(1)对于方案二,设事件 4为“4测试通过”,事件B为“B测试通过”,事件C 15. 为“C测试通过”,事件D为“测试产品为一等品”,事件E为“测试产品为二等品”,事件 F为“测试产品为三等品”,。 则P(F)=PA+P(4)P(B) 0.1+0.9×0.2= 0.28. ……………6分 = (2)记方案一和方案二中每件产品的获利分别为X和Y,显然有 E(X)=8, 而方案二中, P(D)=P(4)P(B)P(C₁) 0.9× 0.8× 0.5= 0.36 = P(E)=P(A)P(B,)P(C)= 0.9x×0.8×0.5= 0.36 则Y的分布列如下表: Y 10 8 6 P 0.36 0.36 0.28 .E(Y)=10×0.36+8×0.36+6×0.28=8.16 E(Y)>E(X), • ..使用方案二时,每件产品的获利均值更高。 .……..…..….…………13分16. 解析: (1)由正弦定理得 sin B·cos A (2sinC –sin A)·cos B, = ... sin Bcos A =2sin Cc os B - cos BsinA, . sin AcosB +cos Asin B = 2sin CcosB ,. sin(A+B)= 2sin CcosB,.cosB=0 B∈(0, π),∴ B. *: 3 (2)法1:余弦定理 5 设AD = x,‘ cos ∠ADB+ cos ∠CDB = 0, 5x²-c2 8x²-12 由余弦定理得 0, 化简得: 9x7² c²+6① 4x² 8x2 - = = 在△ABC中,由余弦定理得9x² 12+c²-2√3c② = 蠔 由①②式得c=√3, B-3√3 SM=aesin ·15分 2 2 神 法2:向量法 即9x² c²+√3c+3① = 在△ABC中,由余弦定理得9x² 12 + c² −2√3c② = 由①②式得C=√3 1 3√3 SAABC =acsin B ·15分 2 = 2 法3:倍长线法 BD=2DE∴D配+号丽,结合CD=2DA, 延长BD至£使得 AEIIB C. . 2, r(? 3)= 2|21² 9), - - 2时。 <一时, 2 综上所述:直线1的方程为x=±√5y+4. ・17分 法二: r_NA+NB- AB √(NA+ NB)² AB² +2NA:NB 4S -1=1+2dN-AB -1=1+45 AVAB -1 R AB AB AB AB2 AB 42m²-1 dN-AB √1+m² 2m²-1 AB 4√1+m² √m² +4 (1+m²Nm²+4 212-9 -21+21²-27-(2-9)212-3) 1=√m²+4>2 f(t) 则f'(t) =- t(12-3) = 1²(t²-3)2 12(t²-3)2 9 ①当1²≥一时,在1=3取最大值,则m= ±√5 2 ; ②当4<²<一一时时,,无最大值。 综上所述:直线1的方程为x=±√5y+4. 19. 解析: (1) f(x) = e* −x, 则f(x) = e* −1, ∴ſ(0) 1, ſ'(0) 0,则切线方程为y=1. = =(2) ①由(1)知ſ (x)≥ f₁ (0) 1,则 f₂(x)单调递增: = 又∫ュ(−2) 2 )= 1 (- 2)3 -< 0, f2(0) = 1> 0, = ー až 则存在−2 < a₂ < 0,使得 f2 (42) = é°2 2 二 ! 0, 则方(a) a 二”- 2 0二0“1-20 ……………11分 =e” - 3! 3 (3)由题知£(x) = ピーー =fn-1(x). (n-1)! 先证2月-1(x) > 0恒成立, y = f»(x) 单调递增且存在唯一零点−2n < 42„ < 0. 由(2)知,f(x)> 0, y = f₂(x) 单调递增且存在唯一零点−2 < a₂ < 0, 则£(42(a)3) = e (1-22)>0 则y = f(x)单调递增, f4(0) = 1, f4(-4)= 1 (-4) <0. e4 4! 则存在唯一零点−4 0 = (2n-1)! 2n-1 (2n)2n 1 则y f½n (x)单调递增,又 £2„ (0) 1, ſ2„(−2) <0, = = = e2znn (2n)! 则存在唯一零点−2n < а2„ < 0, 命题成立。 2n+2 azn (, (2n)² ①因为(。) >ea2 1- >0, 二 (2n+2)! ((2n+2)(2n+1) 又y f2n+2(x)单调递增,且f2月+2 (@2月+2) 0,所以 = = @2月キ2 202円 即证x₂ > 202„一》,即证 f2+1 (1) = f2月キ1 (2) > f2月年1 (242円一),2+1 (x) = £ 2n+1 (x)- F2n+1(2A2"-x)(x0, 反推可得到ㄣ(x)>0, h₂(x)<0, ...., 又ƒ2月+1 (а2n+1) ∫2月+1 (0) 1,则42月+1 +0> 242,即 a₂ = = 综上所述: A2n¥2