当前位置:首页>文档>专题16有机化学基础综合题-三年(2022-2024)高考化学真题分类汇编(全国通用)(学生卷)_近10年高考真题汇编(必刷)_十年(2014-2024)高考化学真题分项汇编(全国通用)

专题16有机化学基础综合题-三年(2022-2024)高考化学真题分类汇编(全国通用)(学生卷)_近10年高考真题汇编(必刷)_十年(2014-2024)高考化学真题分项汇编(全国通用)

  • 2026-04-02 08:31:00 2026-02-12 15:47:24

文档预览

专题16有机化学基础综合题-三年(2022-2024)高考化学真题分类汇编(全国通用)(学生卷)_近10年高考真题汇编(必刷)_十年(2014-2024)高考化学真题分项汇编(全国通用)
专题16有机化学基础综合题-三年(2022-2024)高考化学真题分类汇编(全国通用)(学生卷)_近10年高考真题汇编(必刷)_十年(2014-2024)高考化学真题分项汇编(全国通用)
专题16有机化学基础综合题-三年(2022-2024)高考化学真题分类汇编(全国通用)(学生卷)_近10年高考真题汇编(必刷)_十年(2014-2024)高考化学真题分项汇编(全国通用)
专题16有机化学基础综合题-三年(2022-2024)高考化学真题分类汇编(全国通用)(学生卷)_近10年高考真题汇编(必刷)_十年(2014-2024)高考化学真题分项汇编(全国通用)
专题16有机化学基础综合题-三年(2022-2024)高考化学真题分类汇编(全国通用)(学生卷)_近10年高考真题汇编(必刷)_十年(2014-2024)高考化学真题分项汇编(全国通用)
专题16有机化学基础综合题-三年(2022-2024)高考化学真题分类汇编(全国通用)(学生卷)_近10年高考真题汇编(必刷)_十年(2014-2024)高考化学真题分项汇编(全国通用)
专题16有机化学基础综合题-三年(2022-2024)高考化学真题分类汇编(全国通用)(学生卷)_近10年高考真题汇编(必刷)_十年(2014-2024)高考化学真题分项汇编(全国通用)
专题16有机化学基础综合题-三年(2022-2024)高考化学真题分类汇编(全国通用)(学生卷)_近10年高考真题汇编(必刷)_十年(2014-2024)高考化学真题分项汇编(全国通用)
专题16有机化学基础综合题-三年(2022-2024)高考化学真题分类汇编(全国通用)(学生卷)_近10年高考真题汇编(必刷)_十年(2014-2024)高考化学真题分项汇编(全国通用)
专题16有机化学基础综合题-三年(2022-2024)高考化学真题分类汇编(全国通用)(学生卷)_近10年高考真题汇编(必刷)_十年(2014-2024)高考化学真题分项汇编(全国通用)
专题16有机化学基础综合题-三年(2022-2024)高考化学真题分类汇编(全国通用)(学生卷)_近10年高考真题汇编(必刷)_十年(2014-2024)高考化学真题分项汇编(全国通用)
专题16有机化学基础综合题-三年(2022-2024)高考化学真题分类汇编(全国通用)(学生卷)_近10年高考真题汇编(必刷)_十年(2014-2024)高考化学真题分项汇编(全国通用)
专题16有机化学基础综合题-三年(2022-2024)高考化学真题分类汇编(全国通用)(学生卷)_近10年高考真题汇编(必刷)_十年(2014-2024)高考化学真题分项汇编(全国通用)
专题16有机化学基础综合题-三年(2022-2024)高考化学真题分类汇编(全国通用)(学生卷)_近10年高考真题汇编(必刷)_十年(2014-2024)高考化学真题分项汇编(全国通用)
专题16有机化学基础综合题-三年(2022-2024)高考化学真题分类汇编(全国通用)(学生卷)_近10年高考真题汇编(必刷)_十年(2014-2024)高考化学真题分项汇编(全国通用)
专题16有机化学基础综合题-三年(2022-2024)高考化学真题分类汇编(全国通用)(学生卷)_近10年高考真题汇编(必刷)_十年(2014-2024)高考化学真题分项汇编(全国通用)
专题16有机化学基础综合题-三年(2022-2024)高考化学真题分类汇编(全国通用)(学生卷)_近10年高考真题汇编(必刷)_十年(2014-2024)高考化学真题分项汇编(全国通用)
专题16有机化学基础综合题-三年(2022-2024)高考化学真题分类汇编(全国通用)(学生卷)_近10年高考真题汇编(必刷)_十年(2014-2024)高考化学真题分项汇编(全国通用)
专题16有机化学基础综合题-三年(2022-2024)高考化学真题分类汇编(全国通用)(学生卷)_近10年高考真题汇编(必刷)_十年(2014-2024)高考化学真题分项汇编(全国通用)
专题16有机化学基础综合题-三年(2022-2024)高考化学真题分类汇编(全国通用)(学生卷)_近10年高考真题汇编(必刷)_十年(2014-2024)高考化学真题分项汇编(全国通用)
专题16有机化学基础综合题-三年(2022-2024)高考化学真题分类汇编(全国通用)(学生卷)_近10年高考真题汇编(必刷)_十年(2014-2024)高考化学真题分项汇编(全国通用)
专题16有机化学基础综合题-三年(2022-2024)高考化学真题分类汇编(全国通用)(学生卷)_近10年高考真题汇编(必刷)_十年(2014-2024)高考化学真题分项汇编(全国通用)
专题16有机化学基础综合题-三年(2022-2024)高考化学真题分类汇编(全国通用)(学生卷)_近10年高考真题汇编(必刷)_十年(2014-2024)高考化学真题分项汇编(全国通用)
专题16有机化学基础综合题-三年(2022-2024)高考化学真题分类汇编(全国通用)(学生卷)_近10年高考真题汇编(必刷)_十年(2014-2024)高考化学真题分项汇编(全国通用)
专题16有机化学基础综合题-三年(2022-2024)高考化学真题分类汇编(全国通用)(学生卷)_近10年高考真题汇编(必刷)_十年(2014-2024)高考化学真题分项汇编(全国通用)
专题16有机化学基础综合题-三年(2022-2024)高考化学真题分类汇编(全国通用)(学生卷)_近10年高考真题汇编(必刷)_十年(2014-2024)高考化学真题分项汇编(全国通用)
专题16有机化学基础综合题-三年(2022-2024)高考化学真题分类汇编(全国通用)(学生卷)_近10年高考真题汇编(必刷)_十年(2014-2024)高考化学真题分项汇编(全国通用)
专题16有机化学基础综合题-三年(2022-2024)高考化学真题分类汇编(全国通用)(学生卷)_近10年高考真题汇编(必刷)_十年(2014-2024)高考化学真题分项汇编(全国通用)
专题16有机化学基础综合题-三年(2022-2024)高考化学真题分类汇编(全国通用)(学生卷)_近10年高考真题汇编(必刷)_十年(2014-2024)高考化学真题分项汇编(全国通用)
专题16有机化学基础综合题-三年(2022-2024)高考化学真题分类汇编(全国通用)(学生卷)_近10年高考真题汇编(必刷)_十年(2014-2024)高考化学真题分项汇编(全国通用)
专题16有机化学基础综合题-三年(2022-2024)高考化学真题分类汇编(全国通用)(学生卷)_近10年高考真题汇编(必刷)_十年(2014-2024)高考化学真题分项汇编(全国通用)
专题16有机化学基础综合题-三年(2022-2024)高考化学真题分类汇编(全国通用)(学生卷)_近10年高考真题汇编(必刷)_十年(2014-2024)高考化学真题分项汇编(全国通用)
专题16有机化学基础综合题-三年(2022-2024)高考化学真题分类汇编(全国通用)(学生卷)_近10年高考真题汇编(必刷)_十年(2014-2024)高考化学真题分项汇编(全国通用)
专题16有机化学基础综合题-三年(2022-2024)高考化学真题分类汇编(全国通用)(学生卷)_近10年高考真题汇编(必刷)_十年(2014-2024)高考化学真题分项汇编(全国通用)
专题16有机化学基础综合题-三年(2022-2024)高考化学真题分类汇编(全国通用)(学生卷)_近10年高考真题汇编(必刷)_十年(2014-2024)高考化学真题分项汇编(全国通用)
专题16有机化学基础综合题-三年(2022-2024)高考化学真题分类汇编(全国通用)(学生卷)_近10年高考真题汇编(必刷)_十年(2014-2024)高考化学真题分项汇编(全国通用)
专题16有机化学基础综合题-三年(2022-2024)高考化学真题分类汇编(全国通用)(学生卷)_近10年高考真题汇编(必刷)_十年(2014-2024)高考化学真题分项汇编(全国通用)
专题16有机化学基础综合题-三年(2022-2024)高考化学真题分类汇编(全国通用)(学生卷)_近10年高考真题汇编(必刷)_十年(2014-2024)高考化学真题分项汇编(全国通用)

文档信息

文档格式
docx
文档大小
6.210 MB
文档页数
34 页
上传时间
2026-02-12 15:47:24

文档内容

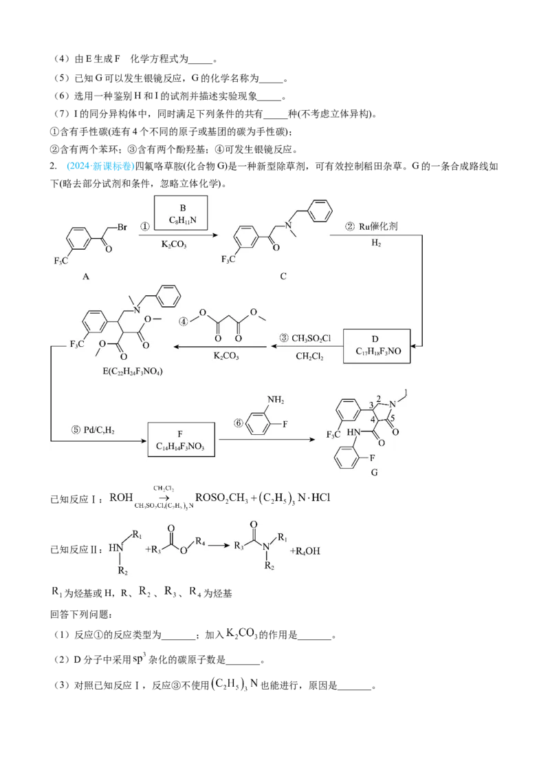
专题 16 有机化学基础综合题 考点 命题趋势 近几年的高考题对于有机化学基础综合题的考查,命题思路相对稳定,试题难度基 本不变。题目覆盖有机物主干基础知识,侧重考查新信息获取、新旧知识的整合应 用能力,考查学生有序思维和整合新旧知识解决有机问题的能力。从背景上来看, 密切联系生产生活实际。核心物质的选取以及题干的设计以材料科学、药物化学等 具体应用为情境,渗透有机化学的重大贡献,我国科学家的最新研究成果等,将高 中阶段的有机反应和新反应结合起来,新反应通过信息给出,将基础和创新融入试 题,设问由浅入深,既考查了学生对教材中有机化学基础知识的掌握,又考查了学 考点1 有机化学基 生有机化学知识的综合应用能力。题干设计趋于稳定,仍然采取“流程+新信息给 础综合题 予”的模式。流程中的物质以分子式、结构简式、字母、名称等四种形式呈现。流 程中的一些反应,如果是学生未知的,会以新信息的形式单独呈现,或者在流程中 以反应条件的形式给予。需要学生现场学习新信息,并进行灵活运用。设问角度及 分值,相对固定。设问形式由浅入深,层层推进的且考点稳定。核心物质、反应基 本类型、典型条件等设计成基本问题。题日具有一定的梯度,由易到难,最后两问 多考查同分异构体的书写、合成路线的设计。这两年的高考题中,一些高考卷中没 有涉及合成路线的设计问题,一定程度上降低了整道试题的难度。 1. (2024·全国甲卷)白藜芦醇(化合物I)具有抗肿瘤、抗氧化、消炎等功效。以下是某课题组合成化合物I 的路线。 回答下列问题: (1)A中的官能团名称为_____。 (2)B的结构简式为_____。 (3)由C生成D的反应类型为_____。(4)由E生成F 化的学方程式为_____。 (5)已知G可以发生银镜反应,G的化学名称为_____。 (6)选用一种鉴别H和I的试剂并描述实验现象_____。 (7)I的同分异构体中,同时满足下列条件的共有_____种(不考虑立体异构)。 ①含有手性碳(连有4个不同的原子或基团的碳为手性碳); ②含有两个苯环;③含有两个酚羟基;④可发生银镜反应。 2. (2024·新课标卷)四氟咯草胺(化合物G)是一种新型除草剂,可有效控制稻田杂草。G的一条合成路线如 下(略去部分试剂和条件,忽略立体化学)。 已知反应Ⅰ: 已知反应Ⅱ: 为烃基或H,R、 、 、 为烃基 回答下列问题: (1)反应①的反应类型为_______;加入 的作用是_______。 (2)D分子中采用 杂化的碳原子数是_______。 (3)对照已知反应Ⅰ,反应③不使用 也能进行,原因是_______。(4)E中含氧官能团名称是_______。 (5)F的结构简式是_______;反应⑤分两步进行,第一步产物的分子式为 ,其结构简式是 _______。 (6)G中手性碳原子是_______(写出序号)。 (7)化合物H是B的同分异构体,具有苯环结构,核磁共振氢谱中显示为四组峰,且可以发生已知反应 Ⅱ.则H的可能结构是_______。 3. (2024·浙江卷1月)某研究小组通过下列路线合成镇静药物氯硝西泮。 已知: 请回答: (1)化合物E的含氧官能团的名称是_______。 (2)化合物C的结构简式是_______。 (3)下列说法不正确的是_______。 A. 化合物A→D的过程中,采用了保护氨基的方法 B. 化合物A的碱性比化合物D弱 C. 化合物B在氢氧化钠溶液加热的条件下可转化为化合物A D. 化合物G→氯硝西泮的反应类型为取代反应 (4)写出F→G的化学方程式_______。 (5)聚乳酸( )是一种可降解高分子,可通过化合物X( )开环聚合得到,设计以乙 炔为原料合成X的路线_______(用流程图表示,无机试剂任选)。 (6)写出同时符合下列条件的化合物B的同分异构体的结构简式_______。 ①分子中含有二取代的苯环。 ② 谱和 谱检测表明:分子中共有4种不同化学环境的氢原子,无碳氧单键。 4. (2024·安徽卷)化合物1是一种药物中间体,可由下列路线合成( 代表苯基,部分反应条件略去):已知: i) ii) 易与含活泼氢化合物( )反应: , 代表 、 、 、 等。 (1)A、B中含氧官能团名称分别为_______、_______。 (2)E在一定条件下还原得到 ,后者的化学名称为_______。 (3)H的结构简式为_______。 (4)E→F反应中、下列物质不能用作反应溶剂的是_______(填标号)。 a. b. c. d. (5)D的同分异构体中,同时满足下列条件的有_______种(不考虑立体异构),写出其中一种同分异构体 的结构简式_______。 ①含有手性碳 ②含有2个碳碳三键 ③不含甲基 (6)参照上述合成路线,设计以 和不超过3个碳的有机物为原料,制备一种光刻胶单体 的合成路线_______(其他试剂任选)。 5. (2024·黑吉辽卷)特戈拉赞(化合物K)是抑制胃酸分泌的药物,其合成路线如下:已知: I. 为 ,咪唑为 ; II. 和 不稳定,能分别快速异构化为 和 。 回答下列问题: (1)B中含氧官能团只有醛基,其结构简式为_______。 (2)G中含氧官能团的名称为_______和_______。 (3)J→K的反应类型为_______。 (4)D的同分异构体中,与D官能团完全相同,且水解生成丙二酸的有_______种(不考虑立体异构)。 (5)E→F转化可能分三步:①E分子内的咪唑环与羧基反应生成X;②X快速异构化为Y,图Y与 反应生成F。第③步化学方程式为_______。 (6)苯环具有与咪唑环类似的性质。参考B→X的转化,设计化合物I的合成路线如下(部分反应条件己略 去)。其中M和N的结构简式为_______和_______。6. (2024·湖北卷)某研究小组按以下路线对内酰胺F的合成进行了探索: 回答下列问题: (1)从实验安全角度考虑,A→B中应连有吸收装置,吸收剂为_______。 (2)C的名称为_______,它在酸溶液中用甲醇处理,可得到制备_______(填标号)的原料。 a.涤纶 b.尼龙 c.维纶 d.有机玻璃 (3)下列反应中不属于加成反应的有_______(填标号)。 a.A→B b.B→C c.E→F (4)写出C→D的化学方程式_______。 (5)已知 (亚胺)。然而,E在室温下主要生成G ,原因 是_______。 (6)已知亚胺易被还原。D→E中,催化加氢需在酸性条件下进行的原因是_______,若催化加氢时,不 加入酸,则生成分子式为 的化合物H,其结构简式为_______。 7. (2024·山东卷)心血管药物缬沙坦中间体(F)的两条合成路线如下: 已知: I. Ⅱ. 回答下列问题:(1)A结构简式为_______;B→C反应类型为_______。 (2)C+D→F化学方程式为_______。 (3)E中含氧官能团名称为_______;F中手性碳原子有_______个。 (4)D的一种同分异构体含硝基和3种不同化学环境的氢原子(个数此为 ),其结构简式为_______。 (5)C→E的合成路线设计如下: 试剂X为_______(填化学式);试剂Y不能选用 ,原因是_______。 8. (2024·河北卷)甲磺司特(M)是一种在临床上治疗支气管哮喘、特应性皮炎和过敏性鼻炎等疾病的药物。 M的一种合成路线如下(部分试剂和条件省略)。 回答下列问题: (1)A的化学名称为_______。 (2) 的反应类型为_______。 (3)D的结构简式为_______。 (4)由F生成G的化学方程式为_______。 (5)G和H相比,H的熔、沸点更高,原因为_______。 (6)K与E反应生成L,新构筑官能团的名称为_______。 (7)同时满足下列条件的I的同分异构体共有_______种。 (a)核磁共振氢谱显示为4组峰,且峰面积比为 ;(b)红外光谱中存在 和硝基苯基( )吸收峰。 其中,可以通过水解反应得到化合物H的同分异构体的结构简式为_______。 9. (2024·江苏卷)F是合成含松柏基化合物的中间体,其合成路线如下: (1)A分子中的含氧官能团名称为醚键和_______。 (2) 中有副产物 生成,该副产物的结构简式为_______。 (3) 的反应类型为_______;C转化为D时还生成 和_______(填结构简式)。 (4)写出同时满足下列条件的F的一种芳香族同分异构体的结构简式:_______。 碱性条件下水解后酸化,生成X、Y和Z三种有机产物。X分子中含有一个手性碳原子;Y和Z分子中均 有2种不同化学环境的氢原子,Y能与 溶液发生显色反应,Z不能被银氨溶液氧化。 (5)已知: 与 性质相似。写出以 、 、 和 为原料制备 的合成路线流程图 _______(无机试剂和有机溶剂任用,合成路线示例见本题题干) 10. (2024·浙江卷6月)某研究小组按下列路线合成抗炎镇痛药“消炎痛”(部分反应条件已简化)。 已知:请回答: (1)化合物F的官能团名称是_______。 (2)化合物G的结构简式是_______。 (3)下列说法不正确的是_______。 A. 化合物A的碱性弱于 B. 的反应涉及加成反应和消去反应 C. 的反应中,试剂可用 D. “消炎痛”的分子式为 (4)写出 的化学方程式_______。 (5)吗吲哚-2-甲酸( )是一种医药中间体,设计以 和 为原料合 成吲哚-2-甲酸的路线(用流程图表示,无机试剂任选)_______。 (6)写出4种同时符合下列条件的化合物B的同分异构体的结构简式_______。 ①分子中有2种不同化学环境的氢原子; ②有甲氧基 ,无三元环。 11. (2024·湖南卷)化合物H是一种具有生物活性的苯并呋喃衍生物,合成路线如下(部分条件忽略,溶剂 未写出): 回答下列问题: (1)化合物A在核磁共振氢谱上有_______组吸收峰; (2)化合物D中含氧官能团的名称为_______、_______; (3)反应③和④的顺序不能对换的原因是_______; (4)在同一条件下,下列化合物水解反应速率由大到小的顺序为_______(填标号); ① ② ③ (5)化合物 的合成过程中,经历了取代、加成和消去三步反应,其中加成反应的化学方程式为 _______;(6)依据以上流程信息,结合所学知识,设计以 和 为原料合成 的路线 _______(HCN等无机试剂任选)。 12. (2024·甘肃卷)山药素-1是从山药根茎中提取的具有抗菌消炎活性的物质,它的一种合成方法如下图: (1)化合物I的结构简式为_______。由化合物I制备化合物Ⅱ的反应与以下反应_______的反应类型相同。 A. B. C. D. (2)化合物Ⅲ的同分异构体中,同时满足下列条件的有_______种。 ①含有苯环且苯环上的一溴代物只有一种; ②能与新制 反应,生成砖红色沉淀; ③核磁共振氢谱显示有4组峰,峰面积之比为 。 (3)化合物IV的含氧官能团名称为_______。 (4)由化合物V制备VI时,生成的气体是_______。 (5)从官能团转化的角度解释化合物Ⅷ转化为山药素-1的过程中,先加碱后加酸的原因_______。 13.(2024·北京卷)除草剂苯嘧磺草胺的中间体M合成路线如下。(1)D中含氧官能团的名称是_________。 (2)A→B的化学方程式是___________________________________________________。 (3)I→J的制备过程中,下列说法正确的是_________(填序号)。 a.依据平衡移动原理,加入过量的乙醇或将J蒸出,都有利于提高I的转化率 b.利用饱和碳酸钠溶液可吸收蒸出的I和乙醇 c.若反应温度过高,可能生成副产物乙醚或者乙烯 (4)已知: ①K的结构简式是_________。 ②判断并解释K中氟原子对 的活泼性的影响_______________________________________________。 (5)M的分子式为 。除苯环外,M分子中还有个含两个氮原子的六元环,在合成M的 同时还生成产物甲醇和乙醇。由此可知,在生成M时,L分子和G分子断裂的化学键均为 键和 _________键,M的结构简式是__________________。 14. (2024·广东卷)将3D打印制备的固载铜离子陶瓷催化材料,用于化学催化和生物催化一体化技术,以 实现化合物Ⅲ的绿色合成,示意图如下(反应条件路)。 (1)化合物I的分子式为_______,名称为_______。 (2)化合物Ⅱ中含氧官能团的名称是_______。化合物Ⅱ的某同分异构体含有苯环,在核磁共振氢谱图上 只有4组峰,且能够发生银镜反应,其结构简式为_______。 (3)关于上述示意图中的相关物质及转化,下列说法正确的有_______。 A. 由化合物I到Ⅱ的转化中,有 键的断裂与形成B. 由葡萄糖到葡萄糖酸内酯的转化中,葡萄糖被还原 C. 葡萄糖易溶于水,是因为其分子中有多个羟基,能与水分子形成氢键 D. 由化合物Ⅱ到Ⅲ的转化中,存在C、O原子杂化方式的改变,有手性碳原子形成 (4)对化合物Ⅲ,分析预测其可能的化学性质,完成下表。 序号 反应试剂、条件 反应形成的新结构 反应类型 ① _______ _______ ② _______ _______ 取代反应 (5)在一定条件下,以原子利用率 的反应制备 。该反应中: ①若反应物之一为非极性分子,则另一反应物为_______(写结构简式)。 ②若反应物之一为V形结构分子,则另一反应物为_______(写结构简式)。 (6)以2-溴丙烷为唯一有机原料,合成 。基于你设计的合成路线,回答下列问题: ①最后一步反应的化学方程式为_______(注明反应条件)。 ②第一步反应的化学方程式为_______(写一个即可,注明反应条件)。 15.(2023·全国甲卷)阿佐塞米(化合物L)是一种可用于治疗心脏、肝脏和肾脏病引起的水肿的药物。L 的一种合成路线如下(部分试剂和条件略去)。 已知:R-COOH R-COCl R-CONH 2 回答下列问题: (1)A的化学名称是_______。(2)由A生成B的化学方程式为_______。 (3)反应条件D应选择_______(填标号)。 a.HNO/H SO b.Fe/HCl c.NaOH/C HOH d.AgNO/NH 3 2 4 2 5 3 3 (4)F中含氧官能团的名称是_______。 (5)H生成I的反应类型为_______。 (6)化合物J的结构简式为_______。 (7)具有相同官能团的B的芳香同分异构体还有_______种(不考虑立体异构,填标号)。 a.10 b.12 c.14 d.16 其中,核磁共振氢谱显示4组峰,且峰面积比为2:2:1:1的同分异构体结构简式为_______。 16.(2023·全国乙卷)奥培米芬(化合物J)是一种雌激素受体调节剂,以下是一种合成路线(部分反应条件 己简化)。 已知: 回答下列问题: (1)A中含氧官能团的名称是_______。 (2)C的结构简式为_______。 (3)D的化学名称为_______。 (4)F的核磁共振谱显示为两组峰,峰面积比为1∶1,其结构简式为_______。 (5)H的结构简式为_______。 (6)由I生成J的反应类型是_______。 (7)在D的同分异构体中,同时满足下列条件的共有_______种; ①能发生银镜反应;②遇FeCl 溶液显紫色;③含有苯环。 3 其中,核磁共振氢谱显示为五组峰、且峰面积比为2∶2∶2∶1∶1的同分异构体的结构简式为_______。 17.(2023·新课标卷)莫西赛利(化合物K)是一种治疗脑血管疾病的药物,可改善脑梗塞或脑出血后遗症等症状。以下为其合成路线之一。 回答下列问题: (1)A的化学名称是_______。 (2)C中碳原子的轨道杂化类型有_______种。 (3)D中官能团的名称为_______、_______。 (4)E与F反应生成G的反应类型为_______。 (5)F的结构简式为_______。 (6)I转变为J的化学方程式为_______。 (7)在B的同分异构体中,同时满足下列条件的共有_______种(不考虑立体异构); ①含有手性碳;②含有三个甲基;③含有苯环。 其中,核磁共振氢谱显示为6组峰,且峰面积比为 的同分异构体的结构简式为_______。 18.(2023·广东卷)室温下可见光催化合成技术,对于人工模仿自然界、发展有机合成新方法意义重大。 一种基于 、碘代烃类等,合成化合物ⅶ的路线如下(加料顺序、反应条件略): (1)化合物i的分子式为 。化合物x为i的同分异构体,且在核磁共振氢谱上只有2组峰。x的 结构简式为 (写一种),其名称为 。 (2)反应②中,化合物ⅲ与无色无味气体y反应,生成化合物ⅳ,原子利用率为 。y为 。 (3)根据化合物V的结构特征,分析预测其可能的化学性质,完成下表。 序号 反应试剂、条件 反应形成的新结构 反应类型a 消去反应 b 氧化反应(生成有机产物) (4)关于反应⑤的说法中,不正确的有___________。 A.反应过程中,有 键和 键断裂 B.反应过程中,有 双键和 单键形成 C.反应物i中,氧原子采取 杂化,并且存在手性碳原子 D. 属于极性分子,分子中存在由p轨道“头碰头”形成的 键 (5)以苯、乙烯和 为含碳原料,利用反应③和⑤的原理,合成化合物ⅷ。 基于你设计的合成路线,回答下列问题: (a)最后一步反应中,有机反应物为 (写结构简式)。 (b)相关步骤涉及到烯烃制醇反应,其化学方程式为 。 (c)从苯出发,第一步的化学方程式为 (注明反应条件)。 19.(2023·湖北卷)碳骨架的构建是有机合成的重要任务之一。某同学从基础化工原料乙烯出发,针对二 酮H设计了如下合成路线: 回答下列问题: (1)由A→B的反应中,乙烯的碳碳_______键断裂(填“π”或“σ”)。 (2)D的同分异构体中,与其具有相同官能团的有_______种(不考虑对映异构),其中核磁共振氢谱有三组峰, 峰面积之比为 的结构简式为_______。 (3)E与足量酸性 溶液反应生成的有机物的名称为_______、_______。 (4)G的结构简式为_______。(5)已知: ,H在碱性溶液中易发生分子内缩 合从而构建双环结构,主要产物为I( )和另一种α,β-不饱和酮J,J的结构简式为 _______。若经此路线由H合成I,存在的问题有_______(填标号)。 a.原子利用率低 b.产物难以分离 c.反应条件苛刻 d.严重污染环境 20.(2023·辽宁卷)加兰他敏是一种天然生物碱,可作为阿尔茨海默症的药物,其中间体的合成路线如下。 回答下列问题: (1)A中与卤代烃成醚活性高的羟基位于酯基的_______位(填“间”或“对”)。 (2)C发生酸性水解,新产生的官能团为羟基和_______(填名称)。 (3)用O 代替PCC完成D→E的转化,化学方程式为_______。 2 (4)F的同分异构体中,红外光谱显示有酚羟基、无N-H键的共有_______种。 (5)H→I的反应类型为_______。 (6)某药物中间体的合成路线如下(部分反应条件已略去),其中M和N的结构简式分别为_______和_______。21.(2023·北京卷)化合物 是合成抗病毒药物普拉那韦的原料,其合成路线如下。 已知: (1)A中含有羧基,A→B的化学方程式是____________________。 (2)D中含有的官能团是__________。 (3)关于D→E的反应: ① 的羰基相邻碳原子上的C→H键极性强,易断裂,原因是____________________。 ②该条件下还可能生成一种副产物,与E互为同分异构体。该副产物的结构简式是__________。 (4)下列说法正确的是__________(填序号)。 a.F存在顺反异构体 b.J和K互为同系物 c.在加热和 催化条件下, 不能被 氧化 (5)L分子中含有两个六元环。 的结构简式是__________。 (6)已知: ,依据 的原理, 和 反应得到了 。 的结构简 式是__________。 22.(2023·山东卷)根据杀虫剂氟铃脲(G)的两条合成路线,回答下列问题。 已知:Ⅰ.R NH +OCNR → 1 2 2Ⅱ. 路线: (1)A的化学名称为_____(用系统命名法命名); 的化学方程式为_____;D中含氧官能团的名称为 _____;E的结构简式为_____。 路线二: (2)H中有_____种化学环境的氢,①~④属于加成反应的是_____(填序号);J中原子的轨道杂化方式有_____ 种。 23.(2023·湖南卷)含有吡喃萘醌骨架的化合物常具有抗菌、抗病毒等生物活性,一种合成该类化合物的 路线如下(部分反应条件已简化): 回答下列问题: (1)B的结构简式为_______; (2)从F转化为G的过程中所涉及的反应类型是_______、_______; (3)物质G所含官能团的名称为_______、_______; (4)依据上述流程提供的信息,下列反应产物J的结构简式为_______;(5)下列物质的酸性由大到小的顺序是_______(写标号): ① ② ③ (6) (呋喃)是一种重要的化工原料,其能够发生银镜反应的同分异构体中。除HC=C=CH-CHO外, 2 还有_______种; (7)甲苯与溴在FeBr 催化下发生反应,会同时生成对溴甲苯和邻溴甲苯,依据由C到D的反应信息,设计 3 以甲苯为原料选择性合成邻溴甲苯的路线_______(无机试剂任选)。 24.(2023·浙江卷)某研究小组按下列路线合成胃动力药依托比利。 已知: 请回答: (1)化合物B的含氧官能团名称是 。 (2)下列说法不正确的是___________。 A.化合物A能与 发生显色反应 B.A→B的转变也可用 在酸性条件下氧化来实现 C.在B+C→D的反应中, 作催化剂 D.依托比利可在酸性或碱性条件下发生水解反应 (3)化合物C的结构简式是 。 (4)写出E→F的化学方程式 。 (5)研究小组在实验室用苯甲醛为原料合成药物 苄基苯甲酰胺( )。利用以上合成线路中的相 关信息,设计该合成路线 (用流程图表示,无机试剂任选) (6)写出同时符合下列条件的化合物D的同分异构体的结构简式 。 ①分子中含有苯环 ② 谱和 谱检测表明:分子中共有4种不同化学环境的氢原子,有酰胺基( )。 25.(2023·浙江卷)某研究小组按下列路线合成抗癌药物盐酸苯达莫司汀。已知:① ② 请回答: (1)化合物A的官能团名称是 。 (2)化合物B的结构简式是 。 (3)下列说法正确的是___________。 A. 的反应类型为取代反应 B.化合物D与乙醇互为同系物 C.化合物I的分子式是 D.将苯达莫司汀制成盐酸盐有助于增加其水溶性 (4)写出 的化学方程式 。 (5)设计以D为原料合成E的路线(用流程图表示,无机试剂任选) 。 (6)写出3种同时符合下列条件的化合物C的同分异构体的结构简式 。 ①分子中只含一个环,且为六元环;② 谱和 谱检测表明:分子中共有2种不同化学环境的氢 原子,无氮氮键,有乙酰基 。 26.(2022·全国甲卷)用N-杂环卡其碱(NHC base)作为催化剂,可合成多环化合物。下面是一种多环化合 物H的合成路线(无需考虑部分中间体的立体化学)。回答下列问题: (1)A的化学名称为_______。 (2)反应②涉及两步反应,已知第一步反应类型为加成反应,第二步的反应类型为_______。 (3)写出C与 / 反应产物的结构简式_______。 (4)E的结构简式为_______。 (5)H中含氧官能团的名称是_______。 (6)化合物X是C的同分异构体,可发生银镜反应,与酸性高锰酸钾反应后可以得到对苯二甲酸,写出X 的结构简式_______。 (7)如果要合成H的类似物H′( ),参照上述合成路线,写出相应的D′和G′的结构简式 _______、_______。H′分子中有_______个手性碳(碳原子上连有4个不同的原子或基团时,该碳称为手性 碳)。 27.(2022·全国乙卷)左旋米那普伦是治疗成人重度抑郁症的药物之一,以下是其盐酸盐(化合物K)的一 种合成路线(部分反应条件已简化,忽略立体化学): 已知:化合物F不能与饱和碳酸氢钠溶液反应产生二氧化碳。 回答下列问题: (1)A的化学名称是_______。(2)C的结构简式为_______。 (3)写出由E生成F反应的化学方程式_______。 (4)E中含氧官能团的名称为_______。 (5)由G生成H的反应类型为_______。 (6)I是一种有机物形成的盐,结构简式为_______。 (7)在E的同分异构体中,同时满足下列条件的总数为_______种。 a)含有一个苯环和三个甲基; b)与饱和碳酸氢钠溶液反应产生二氧化碳; c)能发生银镜反应,不能发生水解反应。 上述同分异构体经银镜反应后酸化,所得产物中,核磁共振氢谱显示有四组氢(氢原子数量比为6:3:2: 1)的结构简式为_______。 28.(2022·湖南卷)物质J是一种具有生物活性的化合物。该化合物的合成路线如下: 已知:① + ; ② 回答下列问题: (1)A中官能团的名称为_______、_______; (2)F→G、G→H的反应类型分别是_______、_______; (3)B的结构简式为_______; (4)C→D反应方程式为_______; (5) 是一种重要的化工原料,其同分异构体中能够发生银镜反应的有_______种(考虑立体异 构),其中核磁共振氢谱有3组峰,且峰面积之比为 的结构简式为_______;(6)Ⅰ中的手性碳原子个数为_______(连四个不同的原子或原子团的碳原子称为手性碳原子); (7)参照上述合成路线,以 和 为原料,设计合成 的路线_______(无机试 剂任选)。 29.(2022·山东卷)支气管扩张药物特布他林(H)的一种合成路线如下: 已知: Ⅰ. Ⅱ.、 Ⅲ. 回答下列问题: (1)A→B反应条件为_______;B中含氧官能团有_______种。 (2)B→C反应类型为_______,该反应的目的是_______。 (3)D结构简式为_______;E→F的化学方程式为_______。 (4)H的同分异构体中,仅含有 、 和苯环结构的有_______种。 (5)根据上述信息,写出以 羟基邻苯二甲酸二乙酯为主要原料制备合成 的路线_______。 30.(2022·北京卷)碘番酸可用于X射线的口服造影液,其合成路线如图所示。已知:R-COOH+R’-COOH +H O 2 (1)A可发生银镜反应,其官能团为___________。 (2)B无支链,B的名称为___________;B的一种同分异构体中只有一种环境氢,其结构简式为 ___________。 (3)E是芳香族化合物, 的方程式为___________。 (4)G中有乙基,则G的结构简式为___________。 (5)碘番酸中的碘在苯环不相邻的碳原了上,碘番酸的相对分了质量为571,J的相对分了质量为193。则碘 番酸的结构简式为___________。 (6)通过滴定法来确定口服造影液中碘番酸的质量分数。 第一步 取 样品,加入过量 粉, 溶液后加热,将I元素全部转为 ,冷却,洗涤。 第二步 调节溶液 ,用 溶液滴定至终点,用去 。已知口服造影液中无其他含 碘物质,则碘番酸的质量分数为___________。 31.(2022·重庆卷)光伏组件封装胶膜是太阳能电池的重要材料,经由如图反应路线可分别制备封装胶膜 基础树脂Ⅰ和Ⅱ(部分试剂及反应条件略)。 反应路线Ⅰ:反应路线Ⅱ: 已知以下信息: ① (R、R 、R 为H或烃基) 1 2 ② +2ROH +H O 2 (1)A+B→D的反应类型为______。 (2)基础树脂Ⅰ中官能团的名称为______。 (3)F的结构简式为_____。 (4)从反应路线Ⅰ中选择某种化合物作为原料H,且H与HO反应只生成一种产物Ⅰ,则H的化学名称为 2 _____。 (5)K与银氨溶液反应的化学方程式为_____;K可发生消去反应,其有机产物R的分子式为C HO,R及R 4 6 的同分异构体同时满足含有碳碳双键和碳氧双键的有______个(不考虑立体异构),其中核磁共振氢谱只有 一组峰的结构简式为______。 (6)L与G反应制备非体型结构的Q的化学方程式为_______。 (7)为满足性能要求,实际生产中可控制反应条件使F的支链不完全水解,生成的产物再与少量L发生反应, 得到含三种链节的基础树脂Ⅱ,其结构简式可表示为_____。 32.(2022·天津卷)光固化是高效、环保、节能的材料表面处理技术。化合物E是一种广泛应用于光固化 产品的光引发剂,可采用异丁酸(A)为原料,按如图路线合成: 回答下列问题: (1)写出化合物E的分子式: ,其含氧官能团名称为 。(2)用系统命名法对A命名: ;在异丁酸的同分异构体中,属于酯类的化合物数目为 ,写出其中含有4种处于不同化学环境氢原子的异构体的结构简式: 。 (3)为实现C→D的转化,试剂X为 (填序号)。 a.HBr b.NaBr c. (4)D→E的反应类型为 。 (5)在紫外光照射下,少量化合物E能引发甲基丙烯酸甲酯( )快速聚合,写出该聚合反 应的方程式: 。 (6)已知: R=烷基或羧基 参照以上合成路线和条件,利用甲苯和苯及必要的无机试剂,在方框中完成制备化合物F的合成路线。 33.(2022·福建卷)3-氧代异紫杉二酮是从台湾杉中提取的具有抗痛活性的天然产物。最近科学家完成了 该物质的全合成,其关键中间体(F)的合成路线如下: 已知: 回答下列问题: (1)A的含氧官能团有醛基和 。 (2)B的结构简式为 。(3)Ⅳ的反应类型为 ;由D转化为E不能使用 的原因是 。 (4)反应Ⅴ的化学方程式为 。 (5)化合物Y是A的同分异构体,同时满足下述条件: ①Y的核磁共振氢谱有4组峰,峰而积之比为 。 ②Y在稀硫酸条件下水解,其产物之一(分子式为 )遇 溶液显紫色。则Y的结构简式为 。 34.(2022·江苏卷)化合物G可用于药用多肽的结构修饰,其人工合成路线如下: (1)A分子中碳原子的杂化轨道类型为 。 (2)B→C的反应类型为 。 (3)D的一种同分异构体同时满足下列条件,写出该同分异构体的结构简式: 。 ①分子中含有4种不同化学环境的氢原子;②碱性条件水解,酸化后得2种产物,其中一种含苯环且有2 种含氧官能团,2种产物均能被银氨溶液氧化。 (4)F的分子式为 ,其结构简式为 。 (5)已知: (R和R'表示烃基或氢,R''表示烃基); 写出以 和 为原料制备 的合成路线流程图(无机试剂和有机溶剂任用,合 成路线流程图示例见本题题干) 。 35.(2022·辽宁卷)某药物成分H具有抗炎、抗病毒、抗氧化等生物活性,其合成路线如下:已知: 回答下列问题: (1)A的分子式为 。 (2)在 溶液中,苯酚与 反应的化学方程式为 。 (3) 中对应碳原子杂化方式由 变为 , 的作用为 。 (4) 中步骤ⅱ实现了由 到 的转化(填官能团名称)。 (5)I的结构简式为 。 (6)化合物I的同分异构体满足以下条件的有 种(不考虑立体异构); i.含苯环且苯环上只有一个取代基 ii.红外光谱无醚键吸收峰 其中,苯环侧链上有3种不同化学环境的氢原子,且个数比为6∶2∶1的结构简式为 (任写一 种)。 36.(2022·海南卷)黄酮哌酯是一种解痉药,可通过如下路线合成:回答问题: (1)A→B的反应类型为 。 (2)已知B为一元强酸,室温下B与NaOH溶液反应的化学方程式为 。 (3)C的化学名称为 ,D的结构简式为 。 (4)E和F可用 (写出试剂)鉴别。 (5)X是F的同分异构体,符合下列条件。X可能的结构简式为 (任写一种)。 ①含有酯基 ②含有苯环 ③核磁共振氢谱有两组峰 (6)已知酸酐能与羟基化合物反应生成酯。写出下列F→G反应方程式中M和N的结构简式 、 。 (7)设计以 为原料合成 的路线 (其他试剂任选)。已知: +CO 2 37.(2022·河北卷)舍曲林(Sertraline)是一种选择性 羟色胺再摄取抑制剂,用于治疗抑郁症,其合成路 线之一如下:已知: (ⅰ)手性碳原子是指连有四个不同原子或原子团的碳原子 (ⅱ) (ⅲ) 回答下列问题: (1)①的反应类型为 。 (2)B的化学名称为 。 (3)写出一种能同时满足下列条件的D的芳香族同分异构体的结构简式 。 (a)红外光谱显示有 键;(b)核磁共振氢谱有两组峰,峰面积比为1∶1。 (4)合成路线中,涉及手性碳原子生成的反应路线为 、 (填反应路线序号)。 (5)H→I的化学方程式为 ,反应还可生成与I互为同分异构体的两种副产物,其中任意一种的结构 简式为 (不考虑立体异构)。 (6)W是一种姜黄素类似物,以香兰素( )和环己烯( )为原料,设计合成W的路线 (无机及两个碳以下的有机试剂任选)。38.(2022·浙江卷)某研究小组按下列路线合成药物氯氮平。 已知:① ; ② 请回答: (1)下列说法不正确的是_______。 A.硝化反应的试剂可用浓硝酸和浓硫酸 B.化合物A中的含氧官能团是硝基和羧基 C.化合物B具有两性 D.从C→E的反应推测,化合物D中硝基间位氯原子比邻位的活泼 (2)化合物C的结构简式是 ;氯氮平的分子式是 ;化合物H成环得氯氮平的过程中涉及两步 反应,其反应类型依次为 。 (3)写出E→G的化学方程式 。 (4)设计以 和 为原料合成 的路线(用流程图表示,无机试剂 任选) 。 (5)写出同时符合下列条件的化合物F的同分异构体的结构简式 。 ① 谱和IR谱检测表明:分子中共有3种不同化学环境的氢原子,有 键。 ②分子中含一个环,其成环原子数 。39.(2022·湖北卷)化合物F是制备某种改善睡眠药物的中间体,其合成路线如下: 回答下列问题: (1) 的反应类型是 。 (2)化合物B核磁共振氢谱的吸收峰有 组。 (3)化合物C的结构简式为 。 (4) 的过程中,被还原的官能团是 ,被氧化的官能团是 。 (5)若只考虑氟的位置异构,则化合物F的同分异构体有 种。 (6)已知 、 和 的产率分别为70%、82%和80%,则 的总产率为 。 (7) 配合物可催化 转化中 键断裂,也能催化反应①: 反应①: 为探究有机小分子催化反应①的可能性,甲、乙两个研究小组分别合成了有机小分子 (结构如下图所 示)。在合成 的过程中,甲组使用了 催化剂,并在纯化过程中用沉淀剂除 ;乙组未使用金属催化 剂。研究结果显示,只有甲组得到的产品能催化反应①。 根据上述信息,甲、乙两组合成的 产品催化性能出现差异的原因是 。 40.(2022·广东卷)基于生物质资源开发常见的化工原料,是绿色化学的重要研究方向。以化合物I为原 料,可合成丙烯酸V、丙醇VII等化工产品,进而可制备聚丙烯酸丙酯类高分子材料。 (1)化合物I的分子式为 ,其环上的取代基是 (写名称)。 (2)已知化合物II也能以II′的形式存在。根据II′的结构特征,分析预测其可能的化学性质,参考①的示例,完成下表。 序号 结构特征 可反应的试剂 反应形成的新结构 反应类型 ① 加成反应 ② 氧化反应 ③ (3)化合物IV能溶于水,其原因是 。 (4)化合物IV到化合物V的反应是原子利用率 的反应,且 与 化合物a反应得到 , 则化合物a为 。 (5)化合物VI有多种同分异构体,其中含 结构的有 种,核磁共振氢谱图上只有一组峰的 结构简式为 。 (6)选用含二个羧基的化合物作为唯一的含氧有机原料,参考上述信息,制备高分子化合物VIII的单体。 写出VIII的单体的合成路线 (不用注明反应条件)。 41.(2022·浙江卷)化合物H是一种具有多种生物活性的天然化合物。某课题组设计的合成路线如图(部 分反应条件已省略): 已知:R Br R MgBr 1 1+ (1)下列说法不正确的是 。 A.化合物A不易与NaOH溶液反应 B.化合物E和F可通过红外光谱区别 C.化合物F属于酯类物质 D.化合物H的分子式是C H O 20 12 5 (2)化合物M的结构简式是 ;化合物N的结构简式是 ;化合物G的结构简式是 。 (3)补充完整C→D的化学方程式:2 +2 +2Na→ 。 (4)写出2种同时符合下列条件的化合物B的同分异构体的结构简式(不包括立体异构体) 。 ①有两个六元环(不含其他环结构),其中一个为苯环; ②除苯环外,结构中只含2种不同的氢; ③不含—O—O—键及—OH (5)以化合物苯乙炔( )、溴苯和环氧乙烷( )为原料,设计如图所示化合物的合成路线(用流程 图表示,无机试剂、有机溶剂任选) 。