当前位置:首页>文档>数学答案_2023年9月_01每日更新_26号_2024届重庆市缙云联盟高三上学期9月联考_重庆市缙云联盟2024届高三上学期9月联考数学

数学答案_2023年9月_01每日更新_26号_2024届重庆市缙云联盟高三上学期9月联考_重庆市缙云联盟2024届高三上学期9月联考数学

  • 2026-04-12 04:58:37 2026-02-13 00:49:31

文档预览

数学答案_2023年9月_01每日更新_26号_2024届重庆市缙云联盟高三上学期9月联考_重庆市缙云联盟2024届高三上学期9月联考数学
数学答案_2023年9月_01每日更新_26号_2024届重庆市缙云联盟高三上学期9月联考_重庆市缙云联盟2024届高三上学期9月联考数学
数学答案_2023年9月_01每日更新_26号_2024届重庆市缙云联盟高三上学期9月联考_重庆市缙云联盟2024届高三上学期9月联考数学
数学答案_2023年9月_01每日更新_26号_2024届重庆市缙云联盟高三上学期9月联考_重庆市缙云联盟2024届高三上学期9月联考数学
数学答案_2023年9月_01每日更新_26号_2024届重庆市缙云联盟高三上学期9月联考_重庆市缙云联盟2024届高三上学期9月联考数学
数学答案_2023年9月_01每日更新_26号_2024届重庆市缙云联盟高三上学期9月联考_重庆市缙云联盟2024届高三上学期9月联考数学
数学答案_2023年9月_01每日更新_26号_2024届重庆市缙云联盟高三上学期9月联考_重庆市缙云联盟2024届高三上学期9月联考数学
数学答案_2023年9月_01每日更新_26号_2024届重庆市缙云联盟高三上学期9月联考_重庆市缙云联盟2024届高三上学期9月联考数学
数学答案_2023年9月_01每日更新_26号_2024届重庆市缙云联盟高三上学期9月联考_重庆市缙云联盟2024届高三上学期9月联考数学
数学答案_2023年9月_01每日更新_26号_2024届重庆市缙云联盟高三上学期9月联考_重庆市缙云联盟2024届高三上学期9月联考数学
数学答案_2023年9月_01每日更新_26号_2024届重庆市缙云联盟高三上学期9月联考_重庆市缙云联盟2024届高三上学期9月联考数学
数学答案_2023年9月_01每日更新_26号_2024届重庆市缙云联盟高三上学期9月联考_重庆市缙云联盟2024届高三上学期9月联考数学
数学答案_2023年9月_01每日更新_26号_2024届重庆市缙云联盟高三上学期9月联考_重庆市缙云联盟2024届高三上学期9月联考数学

文档信息

文档格式
docx
文档大小
0.525 MB
文档页数
9 页
上传时间
2026-02-13 00:49:31

文档内容

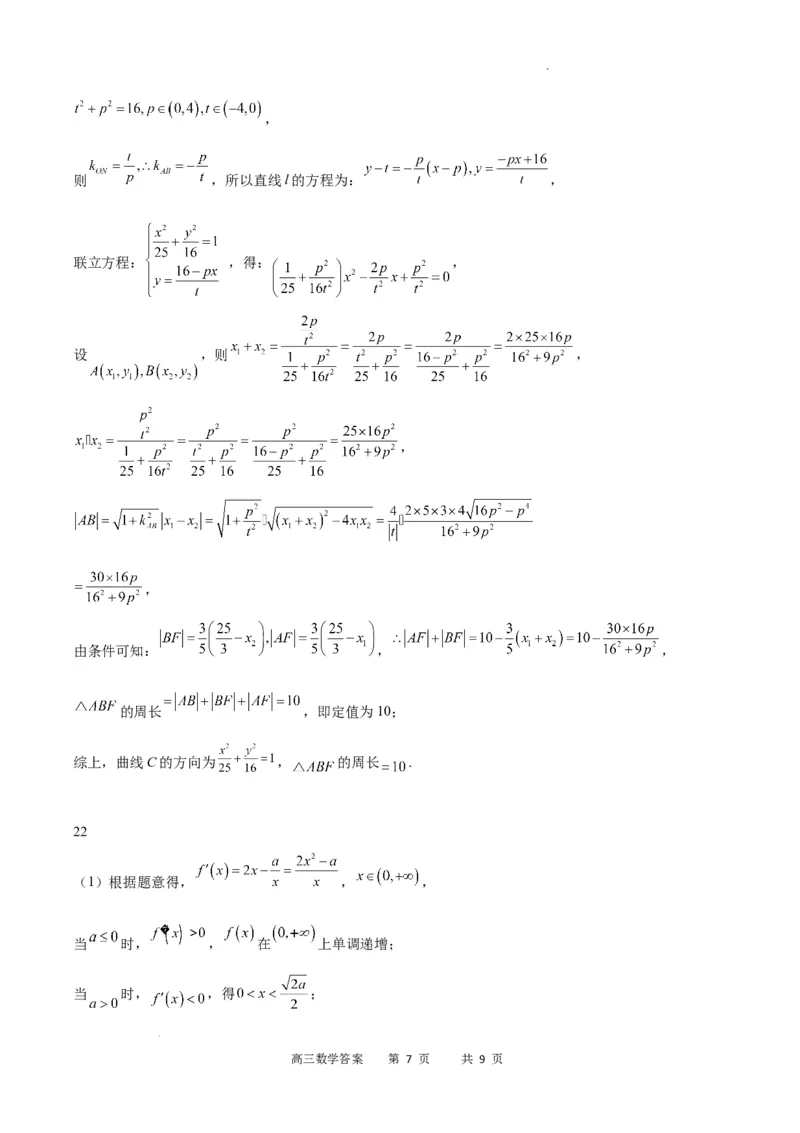
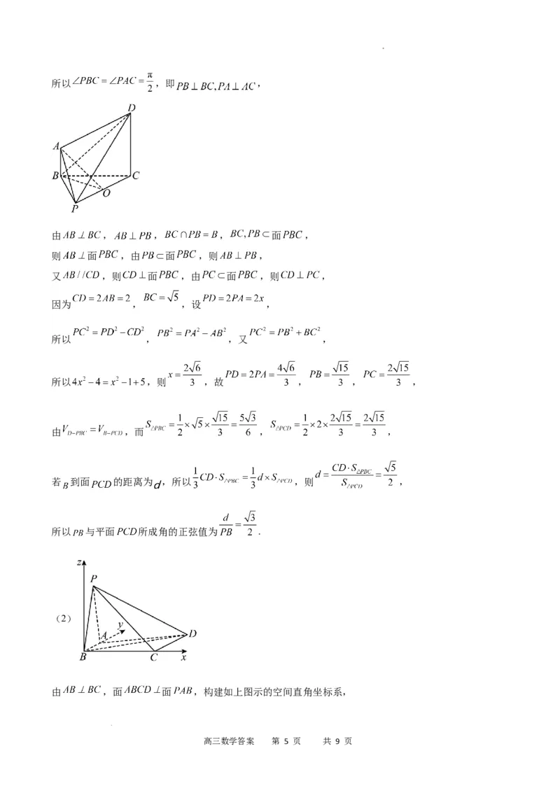
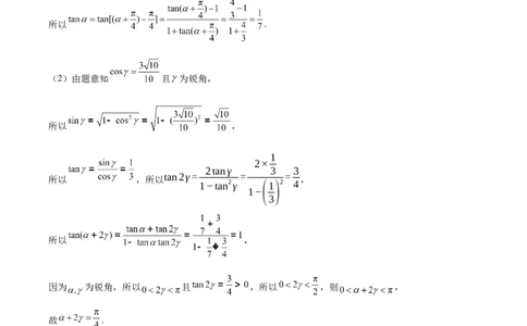
★秘密·2023年9月22日17:00前 重庆市 2023-2024 学年(上)9 月月度质量检测 高三数学答案及评分标准 2023.09 【命题单位:重庆缙云教育联盟】 1.D 2.A 3.A 4.C 5.D【分析】设P、C到直线AB的距离分别为 ,根据题意结合垂径定理可得 ,再根据 结合几何关系分析求解. 6.A【分析】设 为函数 的零点,则 ,转化为 在直线 上, 根据 表示点 到原点的距离的平方,得到 ,构造新函数 , 利用导数求得函数的单调性与最值,即可求解. 7.D【分析】利用辅助角公式化简已知方程,求得 ,进而求得 . 8.C【分析】讨论 , ,和 且 三种情况,根据题意可以得到:若 ,则 ;若 ,则 ;若 ,则 ;若 ,则 .不妨从 时开始 讨论,得到 的符号,最后得到答案. 9.ACD 10.AD 11.BD【分析】当 时,求得 ,得到函数 的单调性和极值,再由当 时,可得 ,画出函数 的图象,根据图象,结合选项,逐项判定,即可求解. 高三数学答案 第 1 页 共 9 页 学科网(北京)股份有限公司12.ABC【分析】选项A,用列举法即可得;选项B,构造新数列 ,利用定义法可证明是 等比数列;选项C,由递推关系 变形可得裂项形式,裂项后利用累加法求通项即可证; 选项D,利用泰勒公式可得 再对 13. 14. 15. 16.74 17. (1)设 的公比为 ,由题意,可得 ,解得 , 所以 ,所以 ; (2)由(1)得 , 所以 , 所以 , 因为 ,所以 ,得证. 高三数学答案 第 2 页 共 9 页 学科网(北京)股份有限公司18. (1)由题意知 所以 . (2)由题意知 且 为锐角, 所以 , 1 2× 2tanγ 3 3 tan2γ= = = 所以 ,所以 , 1−tan2γ (1) 2 4 1− 3 所以 , 因为 为锐角,所以 且 ,所以 ,则 , 故 . 19. (1)由散点图可以判断, 更适宜作为平均产卵数y关于平均温度x的回归方程类型. (2)将 两边同时取自然对数,可得 , 高三数学答案 第 3 页 共 9 页 学科网(北京)股份有限公司由题中的数据可得, , , 所以 , 则 , 所以z关于x的线性回归方程为 , 故y关于x的回归方程为 ; (3)用 , 和 分别表示选择三种方案的收益. 采用第1种方案,无论气温如何,产值不受影响,收益为 万,即 采用第2种方案,不发生28℃以上的红蜘蛛虫害,收益为 万, 如果发生,则收益为 万,即 , 同样,采用第3种方案,有 所以, , , . 显然, 最大,所以选择方案1最佳. 20 (1)如下图,若 为 中点,则 ,即 , 高三数学答案 第 4 页 共 9 页 学科网(北京)股份有限公司所以 ,即 , 由 , , , 面 , 则 面 ,由 面 ,则 , 又 ,则 面 ,由 面 ,则 , 因为 , ,设 , 所以 , ,又 , 所以 ,则 ,故 , , , 由 ,而 , , 若 到面 的距离为 ,所以 ,则 , 所以 与平面 所成角的正弦值为 . (2) 由 ,面 面 ,构建如上图示的空间直角坐标系, 高三数学答案 第 5 页 共 9 页 学科网(北京)股份有限公司则 ,令 ,根据 ,则 ,整理得 , 所以 ,故 点轨迹是在面 上以 为圆心, 为半径的圆上, 要使四棱锥 体积的最大,即 到面 的距离最大, 综上, 到面 的最大距离为 ,又 , 所以最大体积为 . 21. (1) 设 ,由条件可知: ,等号的两边平方,整理后得: ; (2) 由(1)的结论知:曲线C是方程为 的椭圆,设 ,依题意有: 高三数学答案 第 6 页 共 9 页 学科网(北京)股份有限公司, 则 ,所以直线l的方程为: , 联立方程: ,得: , 设 ,则 , , , 由条件可知: , , 的周长 ,即定值为10; 综上,曲线C的方向为 , 的周长 . 22 (1)根据题意得, , , 当 时, , 在 上单调递增; 当 时, ,得 ; 高三数学答案 第 7 页 共 9 页 学科网(北京)股份有限公司令 ,得 , 故 在 上单调递减,在 上单调递增. (2)当 时, , 则 , 所以当 时, , 单调递减; 当 时, , 单调递增,故 的最小值为 , 又 , ; , , 故 . , 设 , , 则 , , 则 , 由 ,得 . 因此,当 时, , 单调递减; 当 时, , 单调递增. 由于 ,故 ,又 , 高三数学答案 第 8 页 共 9 页 学科网(北京)股份有限公司由零点存在定理,存在 ,使得 , 所以 有两个零点 和 ,即方程 有两个根 和 . 的图象如下, 当 时,因为 , 故方程 有一个根 ; 当 时,其中 , 因为 , 故由 图角可知, 有两个不同的根 , ,且 . 综上,当 时,函数 有三个零点. 高三数学答案 第 9 页 共 9 页 学科网(北京)股份有限公司