当前位置:首页>文档>重庆市南开中学校2023-2024学年高三上学期开学考试数学答案(1)_2023年9月_029月合集_2024届重庆市南开中学校高三上学期开学考试

重庆市南开中学校2023-2024学年高三上学期开学考试数学答案(1)_2023年9月_029月合集_2024届重庆市南开中学校高三上学期开学考试

  • 2026-03-19 09:14:17 2026-02-13 18:12:23

文档预览

重庆市南开中学校2023-2024学年高三上学期开学考试数学答案(1)_2023年9月_029月合集_2024届重庆市南开中学校高三上学期开学考试
重庆市南开中学校2023-2024学年高三上学期开学考试数学答案(1)_2023年9月_029月合集_2024届重庆市南开中学校高三上学期开学考试
重庆市南开中学校2023-2024学年高三上学期开学考试数学答案(1)_2023年9月_029月合集_2024届重庆市南开中学校高三上学期开学考试
重庆市南开中学校2023-2024学年高三上学期开学考试数学答案(1)_2023年9月_029月合集_2024届重庆市南开中学校高三上学期开学考试
重庆市南开中学校2023-2024学年高三上学期开学考试数学答案(1)_2023年9月_029月合集_2024届重庆市南开中学校高三上学期开学考试
重庆市南开中学校2023-2024学年高三上学期开学考试数学答案(1)_2023年9月_029月合集_2024届重庆市南开中学校高三上学期开学考试
重庆市南开中学校2023-2024学年高三上学期开学考试数学答案(1)_2023年9月_029月合集_2024届重庆市南开中学校高三上学期开学考试
重庆市南开中学校2023-2024学年高三上学期开学考试数学答案(1)_2023年9月_029月合集_2024届重庆市南开中学校高三上学期开学考试
重庆市南开中学校2023-2024学年高三上学期开学考试数学答案(1)_2023年9月_029月合集_2024届重庆市南开中学校高三上学期开学考试
重庆市南开中学校2023-2024学年高三上学期开学考试数学答案(1)_2023年9月_029月合集_2024届重庆市南开中学校高三上学期开学考试
重庆市南开中学校2023-2024学年高三上学期开学考试数学答案(1)_2023年9月_029月合集_2024届重庆市南开中学校高三上学期开学考试
重庆市南开中学校2023-2024学年高三上学期开学考试数学答案(1)_2023年9月_029月合集_2024届重庆市南开中学校高三上学期开学考试
重庆市南开中学校2023-2024学年高三上学期开学考试数学答案(1)_2023年9月_029月合集_2024届重庆市南开中学校高三上学期开学考试
重庆市南开中学校2023-2024学年高三上学期开学考试数学答案(1)_2023年9月_029月合集_2024届重庆市南开中学校高三上学期开学考试

文档信息

文档格式
pdf
文档大小
0.248 MB
文档页数
10 页
上传时间
2026-02-13 18:12:23

文档内容

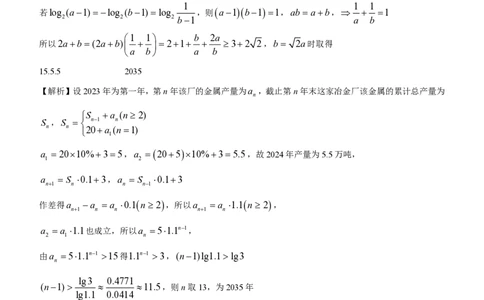
重庆市高 2024届高三第一次质量检测 数学试题参考答案与评分细则 一、单项选择题:本题共8小题.每小题5分,共40分. 1-4DBDB 5-8CBAB 3.D【解析】a log 0.3(log 1,log 0.2) 0,1,b log 0.3log 10, 0.2 0.2 0.2 2 2 c  20.3  20 1,故c  a b 4.B【解析】由题:kx2 3xk 0恒成立,易知k 0时不满足, k 0 3 k  0时,有  k   94k2 0 2 5.C【解析】记M “两动车相邻”,N “动车01停在A道”,则 n(MN) A3 1 P  N M    3  n(M) A2A4 8 2 4 1 x 6.B【解析】由题知 0 1 x 1,易知 f x f x 0 f x为奇函数 1x 1 x  2  又y log log  1 和y sinx在1,1递增,故由 21x 2 1x  1 f x f 2x10 f x f 2x1  f 2x1 1 x  2x11 1 x   3  5 7.A【解析】由图可知当且仅当0 m1时,方程 f x  m有四个不同的根,且x  x  2     5, 1 2  2 由题:2ex 3  m x ln(2m),ex 4 2 m x ln(m2), 3 4 2ex 3 x x x x  2(2m)5ln(m2)  2m5ln(m2)4 1 4 2 4 设hm  2m5lnm24(0 m1)则 12m 1 1 h(m)  ,令hm0  m1,h(m) 00 m m2 2 2  1 1  1 5 故hm在 0, 递增,在 ,1 递减, h(m)  h   5ln 3  2 2  max 2 2 8.B【解析】由图像可知,a 0不成立,则a 0,要ab最大,需要a 0,b 0; b 1时,x 0时不成立,则0b 1; 对于取定的b,要ab最大需要a更大,所以只需过(0,b)作y ex的切线,切线斜率即为最大的a. 学科网(北京)股份有限公司et b 设切点  t,et ,则 et即a et,b 1tet t 0 ab 1te2t  gt,gt 1t2e2t 1e2t 12te2t 1 e 所以在t  取得最大值 2 2 二、多项选择题:本题共4小题,每小题5分,共20分.全部选对得5分,部分选对得2分,有选错得0分. 9.ABD 10.BC 11.AC 12.ABD 9.ABD【解析】由于 f x f 2x  4,得到 f x关于1,2对称,又因为定义域为R,所以 f 1  2, B正确; 因为是偶函数 f x2  f 2x  4 f x, f x4  4 f x2  4  4 f x   f x,所以周期为4,A正确; 由于周期性和奇偶性, f 2023  f 1  f 1  2,C错误; 由于周期为4, f x在3,4的单调性与1,0的单调性相同,由于偶函数,在1,0的单调性与(0,1)的 单调性相反,所以D正确. y 1 y 1 y 1y 1 y  y  y y 10.BC【解析】y 1 2 3 n  1 2 3 n 1 y1,А错误; n n b ˆ 的计算中,x 数据不变,y  y y 1 y也不变,所以b ˆ 不变,B正确; i i i aˆ yb ˆ x  y1b ˆ x  aˆ1 aˆ,C正确; n (y  yˆ )2 i i 由于R2 1 i1 ,y 变成了y 1,y y1,yˆ b ˆx aˆb ˆ x aˆ1 y 1,从而  n  y  y 2 i i i i i i i i1 y  yˆ ,y  y都不变,所以R2  R2,D错误. i i i   9   11.AC【解析】由AM 3MF  FB可得:AF 3FB S 3S ,故A正确 1 4 1 1 1 △AF 1 F 2 △BF 1 F 2 2 设F c,0,F c,0,l:x tyc,由椭圆离心率为 可得:a  2c,b c, 1 2 2 故椭圆方程可化为:x2 2y2  2c2,联立直线l方程整理得:  t2 2  y2 2tcyc2 0. 2tc c2 设A(x ,y ),B(x ,y ),.则有:y  y  ,y y  , 1 1 2 2 1 2 t2 2 1 2 t2 2 学科网(北京)股份有限公司  又由AF 3FB可得:y  3y , 1 1 1 2 1 联立可解得:t2 1 k2  1 k 1,故B错误 t2 由k 1AFF  45,.又OAOF  A为上顶点,AF  a  2c, 1 2 1 2 2 4 2 5 2 AB  2c c  c,BF  4a AF  AB  c, 3 3 2 2 3 易知满足2 AB  AF  BF ,故C正确 2 2 AM  AF MF 对于D:由前面的分析知:△AMF 是以A为直角的直角三角形,故内切圆半径r  2 2 2 2 3 5 2c 2c 2c 4 4 2 1   c  a,故D错误 2 4 4 ae2x cex b 12.ABD【解析】由题方程 f x  aex bex c  0 ae2x cex b 0有两不等实根 ex x ,x ,且 f x在(,x ),(x ,)上单调递增,在x ,x 单调递减,故a 0.A正确 1 2 1 2 1 2 令t ex,t 0,则方程at2 ct b 0有两个不等正实根t ,t , 1 2 其中t ex 1,t ex 2,从而有: 1 2  c2 4ab 0, ab 0b  a 0  0c2 4a2 c2ac2ac2a 0 c2a 0  c t t   0c 0 a 0 1 2 a  b b t 1 t 2  a 0b0,又  ab 0,故t 1 t 2 ex 1 x 2  a 1 x 1  x 2 0, 故B正确,C错误 1 1  对于D: f(x ) f(x )  a(ex 1 ex 2)b(ex 1 ex 2)c(x  x )  a(t t )b  c(x  x )  1 2 1 2 1 1 t t 1 2   1 2  c c a    b   c(x  x ) c(x  x )0,D正确  a b 1 2 1 2 三、填空题:本题共4小题,每小题5分,共20分. 学科网(北京)股份有限公司1  2 26 2 26  13. 14.32 2 15.5.5,2035 16.  ,  ,  2 13 13     1 13. 【解析】X服从二项分布Bn,p,则EX  np,DX  np1 p 2 1 所以np  2np1 p, p  2 14.32 2 【解析】若log a1 log b1,则a b不成立; 2 2 1 1 1 若log (a1)  log (b1) log ,则a1b1 1,ab  ab,  1 2 2 2 b1 a b 1 1 b 2a 所以2ab (2ab)     21  32 2,b  2a时取得 a b a b 15.5.5 2035 【解析】设2023年为第一年,第n年该厂的金属产量为a ,截止第n年末这家冶金厂该金属的累计总产量为 n S a (n  2) S ,S   n1 n n n 20a (n 1)  1 a  2010%35,a 20510%35.5,故2024年产量为5.5万吨, 1 2 a  S 0.13,a  S 0.13 n1 n n n1 作差得a a  a 0.1n 2,所以a  a 1.1n 2, n1 n n n1 n a  a 1.1也成立,所以a 51.1n1, 2 1 n 由a 51.1n1 15得1.1n1 3,(n1)lg1.1lg3 n lg3 0.4771 (n1)   11.5,则n取13,为2035年 lg1.1 0.0414  2 26 2 26  16.  ,  ,  13 13     1 【解析】设AB中点为Qx ,y , PQ  AB 即PA PB,P在AB为直径的圆上.所以只需该圆与AB 0 0 2 为直径的圆有公共点即可. 设直线AB: y  kx2,联立得k2x22 8x 学科网(北京)股份有限公司x  x 2k2 4 4 1 解得x  1 2  ,y  ,r  AB  x 2 0 2 k2 0 k 2 0 所以圆心距d  (x 4)2  y2 ,d  r 3即可(不可能内含) 0 0 则 (x 4)2  y2  x 5化简得y2  2x 9, 0 0 0 0 0 16  4  8  2 26 2 26  代入得 k2  2   2 k2   9,k2  13  k    , 13     13 ,   2a 128b 2 17.解:(1)由题意可得 1 1 ,解得a 3,b  2, 2a 66b 1 1  1 1 因为数列a 的公差为3,数列{b }的公比为2,所以a 3n,b  2n n n n n 1 1 11 1  (2)由(1)知:      a log b 3n(n1) 3n n1 n 2 n1 1 1 1 1 1 1 1 1  1 1  S  1        1           n 3 2 2 3 3 4 n n1 3 n1 1 1 1 易知y 1 在nN*单调递增,故n 1,S 取最小值 ,n,S  n1 n 6 n 3 1 1 故  S  成立. 6 n 3 18.解:(1)证明:取AC的中点N,连结MN ,BN 因为BA BC,所以BN CA. 因为FA面ABC,BN 面ABC,所以FA BN . 又因为CA FA A,所以BN 平面CAF.  FA 因为点M是FC的中点,所以MN//FA//EB,且MN   EB. 2 所以四边形MNBE为平行四边形,所以EM//BN ,所以EM 面CAF, 又EM 平面CEF,从而平面CEF 平面CAF. (2)设点O,D分别为AB,EF 的中点,连结OD,则OD//FA, 因为FA面ABC,OC 面ABC,所以OD  AB. 因为ME  3,由(1)知BN  3,又因为BC  BA 2 所以AC  2,所以△ABC 为正三角形,所以OC  AB, 因为FA面ABC,所以OC 面ABEF.    故OC,OA,OD两两垂直,以点O为原点,分别以OC,OA,OD的方向为x,y,z轴的正方向,建立 空间直角坐标系Oxyz. 学科网(北京)股份有限公司 3 1  C( 3,0,0),B0,1,0,E0,1,2,F0,1,4,(M  , ,2   2 2     n  CB 0  设平面CBE的法向量n (x,y,z),则  nBE 0  3x y 0  所以 取y  3,则n (1, 3,0), 2z 0  1  设ME与平面CBE所成的角为,则sin cos n,ME  , 2     因为 0, ,所以 ,故ME与平面CBE所成角的大小为 .    2 6 6 (2)另解: 由于EM//BN ,所以即求BN 与平面CBE所成的角. 又因为FA面ABC,FA面EBC ,所以面ABC 面EBC , 而BN 面ABC,面ABC 面EBC  BC,所以BN 在面EBC 的投影为BC,则CBN即为所求角.  而ME  BN  3,BA BC  2,所以MC 1,AC  2,  则△ABC 为正三角形,而N是AC的中点,所以CBN  , 6  故ME与平面CBE所成角的大小为 . 6 1 19.解:(1) f (x)  2x a, f 1  a3  x 由题知 f 1 1,a31 a  2 (2)不妨设0 x  x  2,则ex 1 ex 2 0, 1 2 由题可得: f(x ) f(x )x2  x2  m  ex 1 ex 2   f(x ) x2 mex 1  f(x )x2 mex 2, 1 2 1 2 1 1 2 2 设gx  f xx2 mex,则:g(x ) g(x ) 1 2 学科网(北京)股份有限公司1 1  故gx在0,2单调递增,从而有:g(x)  2mex 0  mex  2 在0,2上恒成立, x  x  1  设h(x) ex  2 ,则m hx  x  min 1   1  2x2 x1 h(x)  ex 2 ex   ex  (0 x  2)       x   x2  x2 hx 0 2x2 x12x1x1 01 x  2 hx00 x 1 hx在0,1单调递减,在1,2单调递增. 1 1 又h(1)   ,故hx在0,2上最小值h(x)   e min e 1  1 从而有m  ,即m  ,  e  e 20.解:(1)X的分布列为 X 5 10 P 1 p p EX 51 p10p 55p (2)开空调时每日用电量:峰段1030% 3度,谷段1040%  4度,平段1030% 3度,则 a 30.640.430.5 4.9元 不开空调时每日用电量:峰段560% 3度,谷段520% 1度,平段520% 1度则 b 50.610.410.5 2.7元 Y 2.7 4.9 P 1 p p EY  2.71 p4.9p  2.72.2p (3)分时电价总电费为302.72.2p 8166p(元) 30天总用电量3055p 150150p度 p 0.2时,阶梯电价总电费为0.45150150p 67.51 p(元) p 0.2时,阶梯电价总电费为0.451800.6150150p180 6390p(元) 学科网(北京)股份有限公司所以, p 0.2时,8166p67.51 p 13.51.5p 0, p 9,不成立; 3 p 0.2时,8166p6390p 1824p 0, p  4 3  综上, p  ,1 时,下个月使用分时电价计价的费用不超过使用阶梯电价的计价方式的费用. 4   b 1   a 2   c x2 21.解:(1)由题可得 1 a  2,b 1C:  y2 1  12 22 4  c2  a2 b2   2 3m 2 3k  x2 (2)由点 , 在C:  y2 1上可得:m2 4k2 3.   3 3 4   x2 联立y  kxm和C:  y2 1整理得:  14k2 x2 8kmx4  m2 1  0 4 8km 4(m2 1) 设P(x ,y ),Q(x ,y ),则有:x  x  ,x x  , 1 1 2 2 1 2 14k2 1 2 14k2  16  m2 4k2 1  64 0 4(m2 1) 1 又由直线交左右两支各一点可得:x x  014k2 0 k2  1 2 14k2 4 8 1k2 PQ  1k2 x x  1k2 (x  x )2 4x x  1 2 1 2 1 2 14k2 2k m A2,0到直线l: y  kxm的距离d  , 1 k2 1 2k m B2,0到直线l: y  kxm的距离d  2 k2 1 m2 4k2 3 1 1  48 d d    S S  PQ d PQ d   432    1 2 k2 1 k2 1 1 2 2 1 2 2  (14k2)2 1 3(14k2) 1 k2  ( 14k2 0)  6 y y y y 又k k  1  2  1 2 , 1 2 x 2 x 2 x x 2(x x )4 1 2 1 2 2 1 学科网(北京)股份有限公司m2 4k2 3 其中y y (kx m)(kx m)  k2x x km(x  x )m2   1 2 1 2 1 2 1 2 14k2 14k2 4(m2 1) 8 4 x x 2(x x )4 2 4 1 2 2 1 14k2 14k2 14k2 y y 3 k k  1 2   1 2 x x 2(x x )4 4 1 2 2 1 假设存在实数,使得k ,k,k 成等比数列,则有 1 2 1 3 3 2 3 2 2k2  k k  2    ,故存在  满足题意 1 2 6 4 2 2 1 22.解:(1)首先发现 f 0 0,而 f (x) cosx , x1 1 x1,0时,cosx 1, 1, f (x)0, f(x)单减 x1 则 f x f 0 0成立;   1   x  0, 时, f (x)  sinx 在x  0, 时单减,  2 (x1)2  2  1 f 0 10, f     1  110,  2   2 1    2      所以存在x  0, , f x  0, f x在(0,x )单增, x , 单减,  2 0 0  0 2  而 f 0 0,所以 f (x ) 0,又 f    0 0  2      所以存在x   x , , f x  0, f x在(0,x )单增, x , 单减,由于 1e所以 1  0 2 1 1  1 2 2      f   1ln  1  110,所以在 0, 上 f x 0  2  2   2   综上, f x0在x  1, 恒成立得证.  2  1  1  1  (2)由((1), f   0,sin ln  1  2n 2n 2n  学科网(北京)股份有限公司1 1 1 1 3 5 7 2n1 所以sin sin sin sin ln ln ln ln 2 4 6 2n 2 4 6 2n 1 1 1 1 4 6 8 2n2 从而sin sin sin sin ln ln ln ln 2 4 6 2n 3 5 7 2n1 两式相加得:  1 1 1 1  3 4 5 6 2n2 2 sin sin sin sin ln ln ln ln ln ln(n1)    2 4 6 2n 2 3 4 5 2n1 所以左边得证;  1   1   1  2n1 1 2n 又由(1), f    0,sin    ln   1  ln ,sin ln  2n  2n  2n  2n 2n 2n1 1 1 1 1 2 4 6 2n 所以sin sin sin sin ln ln ln ln 2 4 6 2n 1 3 5 2n1 1 1 1 1 2 3 5 2n1 从而sin sin sin sin ln ln ln ln 2 4 6 2n 1 2 4 2n2 两式相加得:  1 1 1 1   3 4 5 2n  2  sin sin sin sin   2ln2  ln ln ln ln   2ln2lnn所以右  2 4 6 2n  2 3 4 2n1 边得证. 1 1 1 1 (右边不等式另证)设a sin sin sin  lnnln2 n 2 4 2n 2   先证明sinx  x在 0, 成立:  2 gx sinxx,gx cosx10,gx单减,gx g0 0 1 1 1 则a sin  ln1ln2 ln20 1 2 2 2 1 1 1 1 1 n 而a a sin  lnn ln(n1)  ln n1 n 2n2 2 2 2n2 2 n1 n 1 1 设t  (0,1),构造h(t)  (1t) lnt, n1 2 2 1 1 1 1t h(t)   1    可知在0,1,ht单增,ht h1 0 2 t 2 t 所以a a 0,a 单减,则a  a 0 n1 n n n 1 学科网(北京)股份有限公司