当前位置:首页>文档>黄金卷05-赢在高考·黄金8卷备战2024年高考数学模拟卷(新高考Ⅰ卷专用)(参考答案)_2024高考押题卷_92024赢在高考全系列_赢在高考·黄金8卷备战2024年高考数学模拟卷

黄金卷05-赢在高考·黄金8卷备战2024年高考数学模拟卷(新高考Ⅰ卷专用)(参考答案)_2024高考押题卷_92024赢在高考全系列_赢在高考·黄金8卷备战2024年高考数学模拟卷

  • 2026-05-01 15:06:38 2026-02-14 03:12:13

文档预览

黄金卷05-赢在高考·黄金8卷备战2024年高考数学模拟卷(新高考Ⅰ卷专用)(参考答案)_2024高考押题卷_92024赢在高考全系列_赢在高考·黄金8卷备战2024年高考数学模拟卷
黄金卷05-赢在高考·黄金8卷备战2024年高考数学模拟卷(新高考Ⅰ卷专用)(参考答案)_2024高考押题卷_92024赢在高考全系列_赢在高考·黄金8卷备战2024年高考数学模拟卷
黄金卷05-赢在高考·黄金8卷备战2024年高考数学模拟卷(新高考Ⅰ卷专用)(参考答案)_2024高考押题卷_92024赢在高考全系列_赢在高考·黄金8卷备战2024年高考数学模拟卷
黄金卷05-赢在高考·黄金8卷备战2024年高考数学模拟卷(新高考Ⅰ卷专用)(参考答案)_2024高考押题卷_92024赢在高考全系列_赢在高考·黄金8卷备战2024年高考数学模拟卷
黄金卷05-赢在高考·黄金8卷备战2024年高考数学模拟卷(新高考Ⅰ卷专用)(参考答案)_2024高考押题卷_92024赢在高考全系列_赢在高考·黄金8卷备战2024年高考数学模拟卷
黄金卷05-赢在高考·黄金8卷备战2024年高考数学模拟卷(新高考Ⅰ卷专用)(参考答案)_2024高考押题卷_92024赢在高考全系列_赢在高考·黄金8卷备战2024年高考数学模拟卷
黄金卷05-赢在高考·黄金8卷备战2024年高考数学模拟卷(新高考Ⅰ卷专用)(参考答案)_2024高考押题卷_92024赢在高考全系列_赢在高考·黄金8卷备战2024年高考数学模拟卷
黄金卷05-赢在高考·黄金8卷备战2024年高考数学模拟卷(新高考Ⅰ卷专用)(参考答案)_2024高考押题卷_92024赢在高考全系列_赢在高考·黄金8卷备战2024年高考数学模拟卷
黄金卷05-赢在高考·黄金8卷备战2024年高考数学模拟卷(新高考Ⅰ卷专用)(参考答案)_2024高考押题卷_92024赢在高考全系列_赢在高考·黄金8卷备战2024年高考数学模拟卷
黄金卷05-赢在高考·黄金8卷备战2024年高考数学模拟卷(新高考Ⅰ卷专用)(参考答案)_2024高考押题卷_92024赢在高考全系列_赢在高考·黄金8卷备战2024年高考数学模拟卷
黄金卷05-赢在高考·黄金8卷备战2024年高考数学模拟卷(新高考Ⅰ卷专用)(参考答案)_2024高考押题卷_92024赢在高考全系列_赢在高考·黄金8卷备战2024年高考数学模拟卷

文档信息

文档格式
docx
文档大小
0.441 MB
文档页数
7 页
上传时间
2026-02-14 03:12:13

文档内容

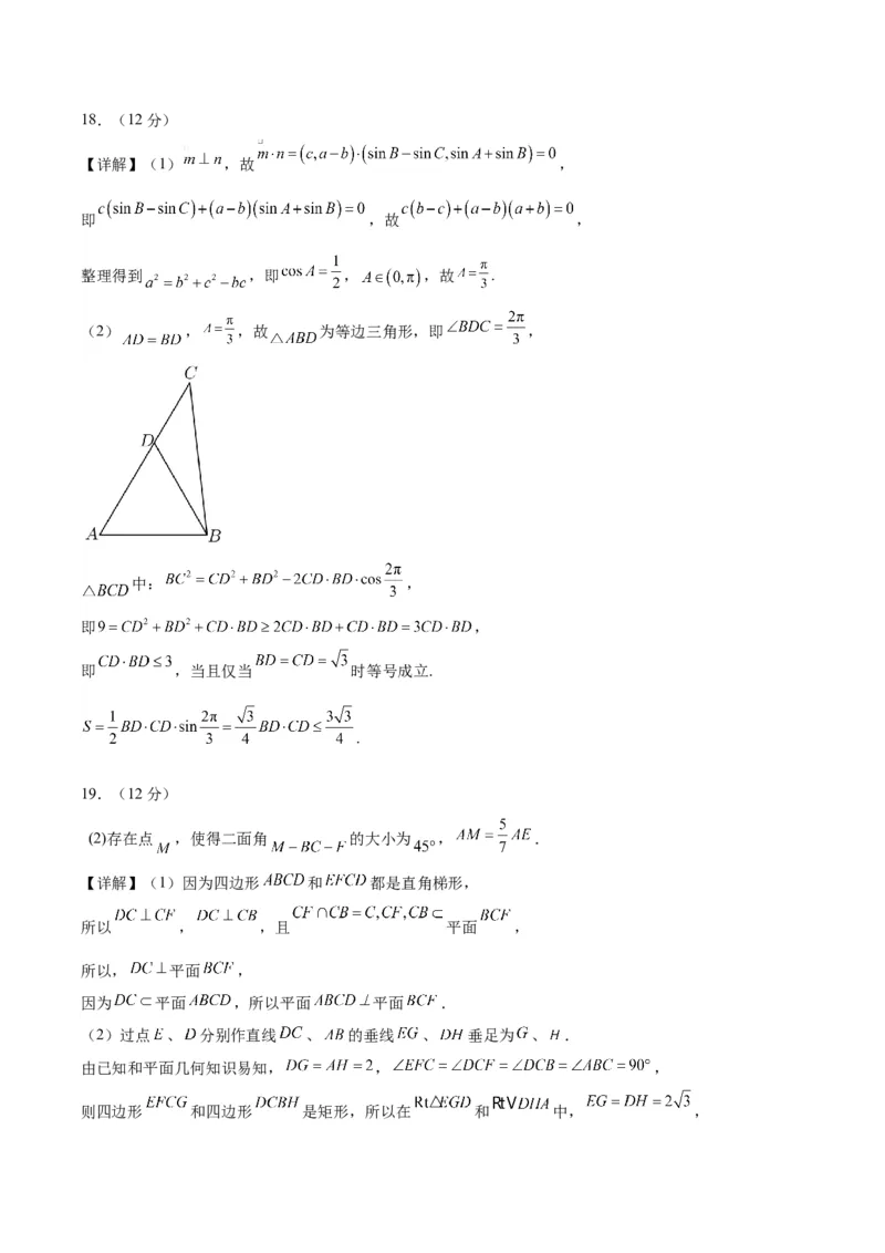
【赢在高考·黄金8卷】备战2024年高考数学模拟卷(新高考Ⅰ卷专用) 黄金卷05·参考答案 (考试时间:120分钟 试卷满分:150分) 第 I 卷(选择题) 一、单项选择题:本题共8小题,每小题5分,共40分,在每小题给出的四个选项中,只有一项是符合要 求的。 1 2 3 4 5 6 7 8 C B A C B C C D 二、多项选择题:本题共4小题,每小题5分,共20分,在每小题给出的四个选项中,有多项符合题目的 要求,全部选对的得5分,部分选对的得2分,有选错的得0分。 9 10 11 12 BC BCD ABD ACD 第 II 卷(非选择题) 三、填空题:本题共4小题,每小题5分,共20分。 13.6 14.11 15. 16.1 四、解答题:本题共6小题,共70分,解答应写出必要的文字说明、证明过程及验算步骤。 17.(10分) 【详解】(1)当 时, , 当 时, ,因为 也符合上式. 所以 . (2)由(1)可知 , 所以 .18.(12分) 【详解】(1) ,故 , 即 ,故 , 整理得到 ,即 , ,故 . (2) , ,故 为等边三角形,即 , 中: , 即 , 即 ,当且仅当 时等号成立. . 19.(12分) (2)存在点 ,使得二面角 的大小为 , . 【详解】(1)因为四边形 和 都是直角梯形, 所以 , ,且 平面 , 所以, 平面 , 因为 平面 ,所以平面 平面 . (2)过点 、 分别作直线 、 的垂线 、 垂足为 、 . 由已知和平面几何知识易知, , , 则四边形 和四边形 是矩形,所以在 和 中, ,假设在 上存在点 ,使得二面角 的大小为 . 由(1)知 平面 ,则 是二面角 的平面角, 所以 ,所以 是正三角形. 取 的中点 ,则 ,又 平面 , 所以 平面 ,过点 作 平行线 , 则以点 为原点, , 、 所在直线分别为 轴、 轴、 轴建立空间直角坐标系 , 设 ,则 , , , , 则 ,则 , , 设平面 的法向量为 , 由 ,得 ,取 , 又平面 的法向量 ,所以 , 整理化简的 ,解得 或 (舍去). 所以存在点 ,使得二面角 的大小为 ,且 . 20.(12分) 【详解】(1)由函数 ,可得 ,所以 不是函数的零点, 因为函数 有且仅有一个零点,即方程 仅有一个实数根, 即方程 仅有一个实数根,即方程 仅有一个实数根,设 ,可得 , 当 时, , 单调递增; 当 时, , 单调递减; 当 时, , 单调递减, 所以函数 的极小值为 , 又由当 且 时, ;当 且 时, , 所以函数 的图象如图所示, 要使得函数 有且仅有一个零点,则满足 或 , 即实数 的取值范围是 . (2)解:设 ,即 , 当 ,令 满足 ,且 , 若 在区间 单调递增,此时 ,不满足题意; 若 在区间 单调递减,此时 ,不满足题意;所以函数 在区间 上不是单调函数,所以函数 在区间 上必有极值点, 即存在 ,使得 ,即 , 即 ,使得 . 21.(12分) 【详解】(1)设 ,由动点P到定点 的距离和它到直线 距离之比为2, 可得 ,化简得 ,即 , 故点P的轨迹C的方程为 ; (2)设l的方程为 ,则 ,故 , 由已知直线PQ斜率存在,设直线PQ的方程为 ,故 . 与双曲线方程联立得: , 由 对应渐近线方程为: ,易判断 , 得 ,设 , , 则 , ①, 由 , 得: , ,即 , , 消去 得: , 即 ② 由①②得: ,化简得 ,由已知 , 故存在定直线l: 满足条件. 22.(12分) 【详解】(1)填写列联表如下: 吸收足 吸收不足量 合计 量 植株存活 12 1 13 植株死亡 3 4 7 合计 15 5 20 零假设为 :“植株的存活”与“制剂吸收足量”无关联. 根据列联表中的数据,经计算得到: , 依据 的独立性检验,没有充分证据推断 不成立,因此可以认为 成立,即认为“植株的存 活”与“制剂吸收足量”无关. (2)由题意得 .又 ,故 . 把 换成 ,则 . 两式相减,得 , 即 . 又 , 故 对任意 都成立, 从而 是首项为0.1,公比为0.9的等比数列,因此 . 由定义可知 , 而 ,下面先求 . , , 作差得 . 所以 ,当 足够大时, , ,故 ,可认为 .