当前位置:首页>文档>专题02函数及其应用、指对幂函数(5大易错点分析+解题模板+举一反三+易错题通关)-备战2024年高考数学考试易错题(新高考专用)(原卷版)_2024年3月_02按日期_16号

专题02函数及其应用、指对幂函数(5大易错点分析+解题模板+举一反三+易错题通关)-备战2024年高考数学考试易错题(新高考专用)(原卷版)_2024年3月_02按日期_16号

  • 2026-02-16 15:44:41 2026-02-15 01:18:26

文档预览

专题02函数及其应用、指对幂函数(5大易错点分析+解题模板+举一反三+易错题通关)-备战2024年高考数学考试易错题(新高考专用)(原卷版)_2024年3月_02按日期_16号
专题02函数及其应用、指对幂函数(5大易错点分析+解题模板+举一反三+易错题通关)-备战2024年高考数学考试易错题(新高考专用)(原卷版)_2024年3月_02按日期_16号
专题02函数及其应用、指对幂函数(5大易错点分析+解题模板+举一反三+易错题通关)-备战2024年高考数学考试易错题(新高考专用)(原卷版)_2024年3月_02按日期_16号
专题02函数及其应用、指对幂函数(5大易错点分析+解题模板+举一反三+易错题通关)-备战2024年高考数学考试易错题(新高考专用)(原卷版)_2024年3月_02按日期_16号
专题02函数及其应用、指对幂函数(5大易错点分析+解题模板+举一反三+易错题通关)-备战2024年高考数学考试易错题(新高考专用)(原卷版)_2024年3月_02按日期_16号
专题02函数及其应用、指对幂函数(5大易错点分析+解题模板+举一反三+易错题通关)-备战2024年高考数学考试易错题(新高考专用)(原卷版)_2024年3月_02按日期_16号
专题02函数及其应用、指对幂函数(5大易错点分析+解题模板+举一反三+易错题通关)-备战2024年高考数学考试易错题(新高考专用)(原卷版)_2024年3月_02按日期_16号
专题02函数及其应用、指对幂函数(5大易错点分析+解题模板+举一反三+易错题通关)-备战2024年高考数学考试易错题(新高考专用)(原卷版)_2024年3月_02按日期_16号
专题02函数及其应用、指对幂函数(5大易错点分析+解题模板+举一反三+易错题通关)-备战2024年高考数学考试易错题(新高考专用)(原卷版)_2024年3月_02按日期_16号
专题02函数及其应用、指对幂函数(5大易错点分析+解题模板+举一反三+易错题通关)-备战2024年高考数学考试易错题(新高考专用)(原卷版)_2024年3月_02按日期_16号
专题02函数及其应用、指对幂函数(5大易错点分析+解题模板+举一反三+易错题通关)-备战2024年高考数学考试易错题(新高考专用)(原卷版)_2024年3月_02按日期_16号
专题02函数及其应用、指对幂函数(5大易错点分析+解题模板+举一反三+易错题通关)-备战2024年高考数学考试易错题(新高考专用)(原卷版)_2024年3月_02按日期_16号
专题02函数及其应用、指对幂函数(5大易错点分析+解题模板+举一反三+易错题通关)-备战2024年高考数学考试易错题(新高考专用)(原卷版)_2024年3月_02按日期_16号
专题02函数及其应用、指对幂函数(5大易错点分析+解题模板+举一反三+易错题通关)-备战2024年高考数学考试易错题(新高考专用)(原卷版)_2024年3月_02按日期_16号
专题02函数及其应用、指对幂函数(5大易错点分析+解题模板+举一反三+易错题通关)-备战2024年高考数学考试易错题(新高考专用)(原卷版)_2024年3月_02按日期_16号
专题02函数及其应用、指对幂函数(5大易错点分析+解题模板+举一反三+易错题通关)-备战2024年高考数学考试易错题(新高考专用)(原卷版)_2024年3月_02按日期_16号
专题02函数及其应用、指对幂函数(5大易错点分析+解题模板+举一反三+易错题通关)-备战2024年高考数学考试易错题(新高考专用)(原卷版)_2024年3月_02按日期_16号
专题02函数及其应用、指对幂函数(5大易错点分析+解题模板+举一反三+易错题通关)-备战2024年高考数学考试易错题(新高考专用)(原卷版)_2024年3月_02按日期_16号
专题02函数及其应用、指对幂函数(5大易错点分析+解题模板+举一反三+易错题通关)-备战2024年高考数学考试易错题(新高考专用)(原卷版)_2024年3月_02按日期_16号
专题02函数及其应用、指对幂函数(5大易错点分析+解题模板+举一反三+易错题通关)-备战2024年高考数学考试易错题(新高考专用)(原卷版)_2024年3月_02按日期_16号
专题02函数及其应用、指对幂函数(5大易错点分析+解题模板+举一反三+易错题通关)-备战2024年高考数学考试易错题(新高考专用)(原卷版)_2024年3月_02按日期_16号
专题02函数及其应用、指对幂函数(5大易错点分析+解题模板+举一反三+易错题通关)-备战2024年高考数学考试易错题(新高考专用)(原卷版)_2024年3月_02按日期_16号
专题02函数及其应用、指对幂函数(5大易错点分析+解题模板+举一反三+易错题通关)-备战2024年高考数学考试易错题(新高考专用)(原卷版)_2024年3月_02按日期_16号
专题02函数及其应用、指对幂函数(5大易错点分析+解题模板+举一反三+易错题通关)-备战2024年高考数学考试易错题(新高考专用)(原卷版)_2024年3月_02按日期_16号
专题02函数及其应用、指对幂函数(5大易错点分析+解题模板+举一反三+易错题通关)-备战2024年高考数学考试易错题(新高考专用)(原卷版)_2024年3月_02按日期_16号
专题02函数及其应用、指对幂函数(5大易错点分析+解题模板+举一反三+易错题通关)-备战2024年高考数学考试易错题(新高考专用)(原卷版)_2024年3月_02按日期_16号
专题02函数及其应用、指对幂函数(5大易错点分析+解题模板+举一反三+易错题通关)-备战2024年高考数学考试易错题(新高考专用)(原卷版)_2024年3月_02按日期_16号
专题02函数及其应用、指对幂函数(5大易错点分析+解题模板+举一反三+易错题通关)-备战2024年高考数学考试易错题(新高考专用)(原卷版)_2024年3月_02按日期_16号
专题02函数及其应用、指对幂函数(5大易错点分析+解题模板+举一反三+易错题通关)-备战2024年高考数学考试易错题(新高考专用)(原卷版)_2024年3月_02按日期_16号
专题02函数及其应用、指对幂函数(5大易错点分析+解题模板+举一反三+易错题通关)-备战2024年高考数学考试易错题(新高考专用)(原卷版)_2024年3月_02按日期_16号
专题02函数及其应用、指对幂函数(5大易错点分析+解题模板+举一反三+易错题通关)-备战2024年高考数学考试易错题(新高考专用)(原卷版)_2024年3月_02按日期_16号
专题02函数及其应用、指对幂函数(5大易错点分析+解题模板+举一反三+易错题通关)-备战2024年高考数学考试易错题(新高考专用)(原卷版)_2024年3月_02按日期_16号
专题02函数及其应用、指对幂函数(5大易错点分析+解题模板+举一反三+易错题通关)-备战2024年高考数学考试易错题(新高考专用)(原卷版)_2024年3月_02按日期_16号
专题02函数及其应用、指对幂函数(5大易错点分析+解题模板+举一反三+易错题通关)-备战2024年高考数学考试易错题(新高考专用)(原卷版)_2024年3月_02按日期_16号

文档信息

文档格式
docx
文档大小
1.653 MB
文档页数
34 页
上传时间
2026-02-15 01:18:26

文档内容

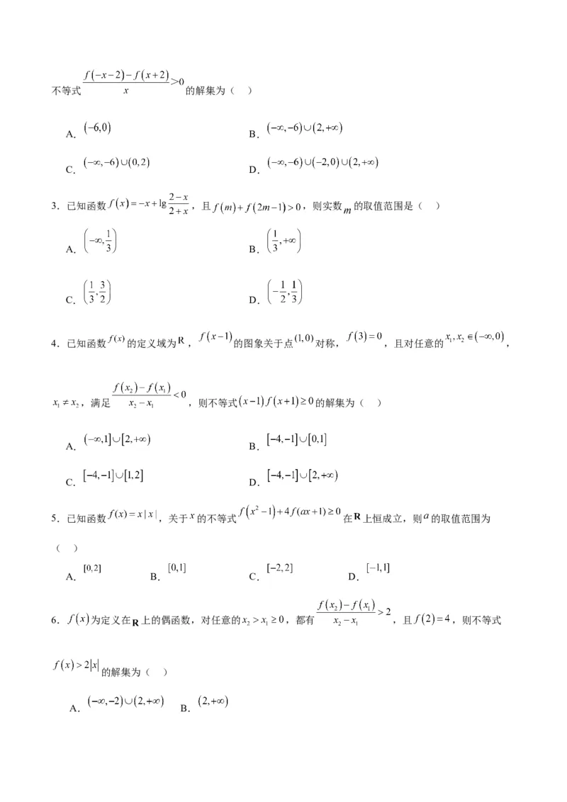
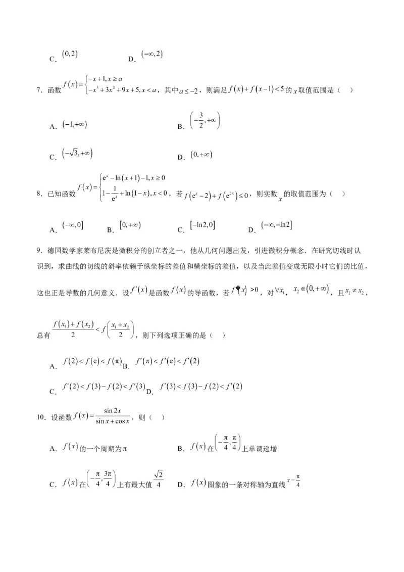
专题 02 函数及其应用、指对幂函数 易错点一:对函数定义域、值域及解析式理解存在偏差(定义域、值域及 解析式的求算) 已知函数的具体解析式求定义域的方法 法1:若 是由一些基本初等函数通过四则运算构成的,则它的定义域为各基本初等函数的定义域 的交集. 法2:复合函数的定义域:先由外层函数的定义域确定内层函数的值域,从而确定对应的内层函数自 变量的取值范围,还需要确定内层函数的定义域,两者取交集即可. 函数解析式的常见求法 法1:配凑法:已知 ,求 的问题,往往把右边的 整理或配凑成只含 的式 子,然后用 将 代换. 法2:待定系数法:已知函数的类型(如一次函数、二次函数)可用待定系数法,比如二次函数 可 设为 ,其中 是待定系数,根据题设条件,列出方程组,解出 即可. 法3:换元法:已知 ,求 时,往往可设 ,从中解出 ,代入 进行换元.应用换元法时要注意新元的取值范围. 法4:解方程组法:已知 满足某个等式,这个等式除 f(x)是未知量外,还有其他未知量,如 (或 )等,可根据已知等式再构造其他等式组成方程组,通过解方程组求出 . 分段函数 第一步:求分段函数的函数值时,要先确定要求值的自变量属于哪一区间,然后代入该区间对应的解 析式求值. 第二步:当出现 的形式时,应从内到外依次求值. 第三步:当自变量的值所在区间不确定时,要分类讨论,分类标准应参照分段函数不同段的端点。 结论:复合函数: 一般地,对于两个函数 和 ,如果通过变量 可以表示成 的函数,那么称这个函数 为函数 和 的复合函数,记作 ,其中 叫做复合函数 的外层 函数, 叫做 的内层函数. 抽象函数的定义域的求法: (1)若已知函数 的定义域为 ,则复合函数 的家义域由 求出. (2)若已知函数 的定义域为 ,则 的定义域为 在 时的值域. 易错提醒:函数的概念 ①一般地,给定非空数集 , ,按照某个对应法则 ,使得 中任意元素 ,都有 中唯一确定的 与之对应,那么从集合 到集合 的这个对应,叫做从集合 到集合 的一个函数.记作: , .集合 叫做函数的定义域,记为 ,集合 叫做值域,记为 . ②函数的实质是从一个非空集合到另一个非空集合的映射. ③函数表示法:函数书写方式为 ,④函数三要素:定义域、值域、对应法则. ⑤同一函数:两个函数只有在定义域和对应法则都相等时,两个函数才相同. 基本的函数定义域限制 求解函数的定义域应注意: ①分式的分母不为零; ②偶次方根的被开方数大于或等于零: ③对数的真数大于零,底数大于零且不等于1; ④零次幂或负指数次幂的底数不为零; ⑤三角函数中的正切 的定义域是 且 ; ⑥已知 的定义域求解 的定义域,或已知 的定义域求 的定义域,遵循两点: ①定义域是指自变量的取值范围;②在同一对应法则∫下,括号内式子的范围相同; ⑦对于实际问题中函数的定义域,还需根据实际意义再限制,从而得到实际问题函数的定义域. 基本初等函数的值域 ① 的值域是 . ② 的值域是:当 时,值域为 ;当 时,值域为 . ③ 的值域是 . ④ 且 的值域是 . ⑤ 且 的值域是 . 分段函数的应用 分段函数问题往往需要进行分类讨论,根据分段函数在其定义域内每段的解析式不同,然后分别解决, 即分段函数问题,分段解决. 例.函数 的定义域为( )A. B. C. D. 变式1:设 ,若 ,则 ( ) A.14 B.16 C.2 D.6 变式2:已知集合 ,则 ( ) A. B. C. D. 变式3:已知函数 ,则下列正确的是( ) A. B. C. D. 的值域为 1.已知函数 ,则 ( ) A. B.3 C. D. 2.给出下列 个函数,其中对于任意 均成立的是( ) A. B. C. D. 3.已知函数 ,则 ( )A. B. C. D. 4.已知函数 满足 ,则 可能是( ). A. B. C. D. 5.设集合 , ,则 ( ) A. B. C. D. 6.集合 , ,则 ( ) A. B. C. D. 易错点二:忽视单调性与单调区间的主次(函数的单调性与最值) 1.函数的单调性是对函数定义内的某个区间而言的。 2.函数 在给定区间上的单调性是函数在该区间上的整体性质。 3.函数的单调定义中的 、 有三个特征:(1)任意性(2)有大小(3)属于同一个单调区间。 4.求函数的单调区间必须先求定义域。 5.判断函数单调性常用以下几种方法: 方法1:定义法:一般步骤为设元 作差 变形 判断符号→得出结论.方法2:图象法:如果 是以图象形式给出的,或者 的图象易作出,则可由图象的上升或下䧏确 定单调性. 方法3:导数法:先求导数,利用导数值的正负确定函数的单调区间. 方法4:性质法:(1)对于由基本初等函数的和、差构成的函数,根据各初等函数的增减性及 增减性质进行判断; 6.求函数最值(值域)的常用方法 方法1:单调性法:先确定函数的单调性,再由单调性求最值. 方法2:图象法:先作出函数的图象,再观察其最高点、最低点,求出最值. 方法3:基本不等式法:先对解析式变形,使之具备“一正二定三相等”的条件后用基本不等式求出最值. 方法4:导数法:先求导,然后求出在给定区间上的极值,最后结合端点值,求出最值. 结论: 1.单调性技巧 (1)证明函数单调性的步骤 ①取值:设 , 是 定义域内一个区间上的任意两个量,且 ; ②变形:作差变形(变形方法:因式分解、配方、有理化等)或作商变形; ③定号:判断差的正负或商与 的大小关系; ④得出结论. (2)函数单调性的判断方法 ①定义法:根据增函数、减函数的定义,按照“取值—变形—判断符号—下结论”进行判断. ②图象法:就是画出函数的图象,根据图象的上升或下降趋势,判断函数的单调性. ③直接法:就是对我们所熟悉的函数,如一次函数、二次函数、反比例函数等,直接写出它们的单调 区间. (3)记住几条常用的结论: 结论1:若 是增函数,则 为减函数;若 是减函数,则 为增函数; 结论2:若 和 均为增(或减)函数,则在 和 的公共定义域上 为增(或 减)函数; 结论3:若 且 为增函数,则函数 为增函数, 为减函数; 结论4:若 且 为减函数,则函数 为减函数, 为增函数. 易错提醒:1.函数的单调性 (1)单调函数的定义一般地,设函数 的定义域为 ,区间 : 如果对于 内的任意两个自变量的值 , 当 时,都有 ,符号一致那么就说 在区间 上是增函数. 如果对于 内的任意两个自变量的值 , ,当 时,都有 ,符号相反那么就说 在区间 上是减函数. ①属于定义域 内某个区间上; ②任意两个自变量 , 且 ; ③都有 或 ; ④图象特征:在单调区间上增函数的图象上坡路,减函数的图象下坡路. (2)单调性与单调区间 ①单调区间的定义:如果函数 在区间 上是增函数或减函数,那么就说函数 在区间 上具 有单调性, 称为函数 的单调区间. ②函数的单调性是函数在某个区间上的性质. (3)复合函数的单调性 复合函数的单调性遵从“同增异减”,即在对应的取值区间上,外层函数是增(减)函数,内层函数 是增(减)函数,复合函数是增函数;外层函数是增(减)函数,内层函数是减(增)函数,复合函数是 减函数. 2.函数的最值 前提:一般地,设函数 的定义域为 ,如果存在实数 满足 条件:(1)对于任意的 ,都有 ;(2)存在 ,使得 结论 为最大值 (1)对于任意的 ,都有 ;(2)存在 ,使得 结论 为最小值 例.若函数 在区间 上单调递增,则 的取值范围是( ) A. B. C. D. 变式1.下列函数中,满足“对任意的 ,使得 ”成立的是( )A. B. C. D. 变式2.若定义在 上的函数 同时满足:① 为奇函数;②对任意的 , 且 ,都有 ,则称函数 具有性质 .已知函数 具有性质 ,则不等式 的解集为( ) A. B. C. D. 变式3.定义在 上的函数 满足:对 ,且 都有 ,则不等 式 的解集为( ) A. B. C. D. 1.已知函数 ,若对于一切的实数 ,不等式 恒成立,则 的取值 范围为( ) A. B. C. D. 2.已知函数 是定义在 上的奇函数,且对任意的 ,都有 ,且 ,则不等式 的解集为( ) A. B. C. D. 3.已知函数 ,且 ,则实数 的取值范围是( ) A. B. C. D. 4.已知函数 的定义域为 , 的图象关于点 对称, ,且对任意的 , ,满足 ,则不等式 的解集为( ) A. B. C. D. 5.已知函数 ,关于 的不等式 在 上恒成立,则 的取值范围为 ( ) A. B. C. D. 6. 为定义在 上的偶函数,对任意的 ,都有 ,且 ,则不等式 的解集为( ) A. B.C. D. 7.函数 ,其中 ,则满足 的 取值范围是( ) A. B. C. D. 8.已知函数 ,若 ,则实数 的取值范围为( ) A. B. C. D. 9.德国数学家莱布尼茨是微积分的创立者之一,他从几何问题出发,引进微积分概念.在研究切线时认 识到,求曲线的切线的斜率依赖于纵坐标的差值和横坐标的差值,以及当此差值变成无限小时它们的比值, 这也正是导数的几何意义.设 是函数 的导函数,若 ,对 , ,且 , 总有 ,则下列选项正确的是( ) A. B. C. D. 10.设函数 ,则( ) A. 的一个周期为 B. 在 上单调递增 C. 在 上有最大值 D. 图象的一条对称轴为直线11.已知函数 ,则( ) A.函数 为奇函数 B.当 时, 或1 C.若函数 有且仅有一个零点,则实数 的取值范围为 D.若函数 在区间 上的值域为 ,则实数 的取值范围为 易错点三:奇偶性的前提及两个函数与一个函数的区别(函数的奇偶性、 周期性、对称性) 1.奇偶性技巧 (1)函数具有奇偶性的必要条件是其定义域关于原点对称. (2)奇偶函数的图象特征. 函数 是偶函数 函数 的图象关于 轴对称; 函数 是奇函数 函数 的图象关于原点中心对称. (3)若奇函数 在 处有意义,则有 ; 偶函数 必满足 . (4)偶函数在其定义域内关于原点对称的两个区间上单调性相反;奇函数在其定义域内关于原点对称的 两个区间上单调性相同. (5)若函数 的定义域关于原点对称,则函数 能表示成一个偶函数与一个奇函数的和的形式.记 , ,则 .(6)运算函数的奇偶性规律:运算函数是指两个(或多个)函数式通过加、减、乘、除四则运算所得的 函数,如 . 对于运算函数有如下结论:奇 奇=奇;偶 偶=偶;奇 偶=非奇非偶; 奇 奇=偶;奇 偶=奇;偶 偶=偶. (7)复合函数 的奇偶性原则:内偶则偶,两奇为奇. (8)常见奇偶性函数模型 奇函数:①函数 或函数 . ②函数 . ③函数 或函数 ④函数 或函数 . 注意:关于①式,可以写成函数 或函数 . 偶函数:①函数 . ②函数 . ③函数 类型的一切函数. ④常数函数 2.周期性技巧 结论1:若对于非零常数m和任意实数x,等式 f (x+m)=−f (x) 恒成立,则 f (x) 是周期函数,且 2m 是 它的一个周期. 证明: f (x+2m)=f (x+m+m)=−f (x+m)=f (x)∴T=2m 也可理解为:平移m个单位到谷底,再平移一个单位到巅峰,再平移一个单位又到谷底,则谷底与谷底的 距离为 2m ,∴T=2m 结论2:定义在 上的函数 ,对任意的 ,若有 (其中 为常数, ), 则函数 是周期函数, 是函数的一个周期.f (x−a+a)=f (x−a+b)⇒f (x)=f (x+b−a) ∴T=|b−a| 证明: 口诀:同号差(周期)异号加(对称轴)⇒只研究x前的正负. 结论3:定义在 上的函数 ,对任意的 ,若有 (其中 为常数, ),则函数 是周期函数, 是函数的一个周期. f (x−a+a)=−f (x−a+b) 证明: 先向左平移a个单位得 ⇒f (x)=−f (x+b−a) 令b−a=m'⇒f (x)=−f (x+m') 如同结论1 结论4:定义在 上的函数 ,对任意的 ,若有 ,(或 )(其 中 为常数, ),则函数 是周期函数, 是函数的一个周期. 1 1 f (x+a)=± f (x+2a)=f (x+a+a)=± =f (x) f (x) f (x+a) ∴T=2|a| 证明: , f (a+x)=f (a−x) f (b+x)=f (b−x) 结论5:定义在 上的函数 ,对任意的 ,有 且 , (其中 a,b 是常数, a≠b )则函数 y=f (x) 是周期函数, 2|a−b| 是函数的一个周期. x=a,x=b 另 一 种 题 干 出 现 的 信 息 : ① 若 的 图 象 关 于 直 线 都 对 称 , 则 等 价 于 f (a+x)=f (a−x) f (b+x)=f (b−x) T=2|a−b| 且 ,则 为周期函数且 . T=2|a| ②若 为偶函数且图象关于直线x=a对称,则 为周期函数且 证明: f (a+x)=f (a−x) 向左平移a个单位,得 f (x−a+a)=f (a−[x−a]) ⇒f (x)=f (2a−x) ⇒f (x)=f (2b−x) ⇒f (2a−x)=f (2b−x) ,同理 , 利用口诀:同号差(周期)异号加(对称轴)⇒只研究x前的正负.秒出周期 结论6:若定义在 上的函数 对任意实数 ,恒有 f (x)=f (a+x)+f (x−a) 成立( a≠0 ),6|a| 则 是周期函数,且 是它的一个周期. f (x)=f (a+x)+f (x−a)⇒f (x+a)=f (x+2a)+f (x) 证明:由函数 ⇒f (x)=f (x+2a)+f (x)+f (x−a)⇒f (x−a)=−f (x+2a) ,向右平移a个单位得 f (x)=−f (x+3a)⇒f (x+3a+3a)=−f (x+3a)=f (x) ∴T=6|a| easy 口诀:内同号,外异号,内部只差需2倍,出现周期很 . 结论7:若对于非零常数m和任意实数x,等式 成立,则 是周期函数,且 4m 是 它的一个周期. 证明: 1 1 f (x+2m)=− f (x+2m+2m)=− =f (x) f (x) 如同结论4, f (x+2m) ∴T=4m 结论8:若对于非零常数m和任意实数x,等式 成立,则 是周期函数,且 2m 是 它的一个周期. 证明: ∴T=2m 结论9:若对于非零常数m和任意实数x,等式 成立,则 是周期函数, 3m 且 是它的一个周期.证明: 得 ∴T=3m A(a,y ),B(b,y ) 结论10:①若定义在 上的函数 的图象关于两点 0 0 都对称,则 是周期函数, 2|b−a| 且 是它的一个周期. A(a,0) 2|a| ②若奇函数 的图象关于点 对称,则 是周期函数,且 是它的一个周期. y=f (x) f (a+x)+f (a−x)=2 y f (b+x)+f (b−x)=2y 证明:函数 满足 0且 0, f (x)=2y −f (2a−x)=2y −f (2b−x)⇒f (2a−x)=f (2b−x) 则 0 0 利用口诀:同号差(周期)异号加(对称轴)⇒只研究x前的正负.秒出周期 结论11:①若定义在 上的函数 的图象关于点 A(a,y 0 ) 和直线 x=b 都对称,则 是周期函数, 4|b−a| 且 是它的一个周期. 4|a| ②若奇函数 的图象关于直线x=a对称,则 是周期函数,且 是它的一个周期. y=f (x) f (a+x)+f (a−x)=2 y f (b+x)=f (b−x) 证明:函数 满足 0且 , f (x)=2y −f (2a−x)=f (2b−x)⇒f (x)=2y −f (2b−2a+x)=2y −f (2a−x) 则 0 0 0 ∴f (2b+x)=2y −f (2a+x)⇒f (x)=2y −f (2b−2a+x) 0 0 ∴f (x)=2y −f (2b−2a+x)=2y +f (4b−4a+x)−2y ∴T=4|b−a| 0 0 0 3.对称性技巧 (1)若函数 关于直线 对称,则 . (2)若函数 关于点 对称,则 .(3)函数 与 关于 轴对称,函数 与 关于原点对称. 结论: 1.(1)如果一个奇函数 在原点处有定义,即 有意义,那么一定有 . (2)如果函数 是偶函数,那么 . 2.函数周期性常用结论 对 定义域内任一自变量的值 : (1)若 ,则 . (2)若 ,则 . (3)若 ,则 . 3.对称性的三个常用结论 (1)若函数 是偶函数,则函数 的图象关于直线 对称. (2)若对于 上的任意 都有 或 ,则 的图象关于直线 对 称. (3)若函数 是奇函数,则函数 的图象关于点 中心对称. 易错提醒:奇偶性的前提及两个函数与一个函数的区别 1.函数的奇偶性 由函数奇偶性的定义可知,函数具有奇偶性的一个前提条件是:对于定义域内的任意一个 , 也在 定义域内(即定义域关于原点对称). 2.函数的对称性 (1)若函数 为偶函数,则函数 关于 对称. (2)若函数 为奇函数,则函数 关于点 对称. (3)若 ,则函数 关于 对称. (4)若 ,则函数 关于点 对称.例 .设函数 的定义域为 ,且 是奇函数, 是偶函数,则( ) A. B. C. D. 变式1.已知函数 是定义域为 的偶函数, 是奇函数,则下列结论不正确的是( ) A. B. C. 是以4为周期的函数 D. 的图象关于 对称 变式2.已知函数 ,下列结论中:①当 时, 的最小值为3;②函数 是奇函数;③函数 的图象关于点 对称 ;④ 是 图象的一条切线, 正确结论的个数是( ) A.1 B.2 C.3 D.4 变式3.已知定义域为 的函数 满足 , ,当 时, ,则 的值为( ) A. B. C.1 D.2 1.已知函数 的定义域为 , ,当 时, ,则 的值为( ) A. B. C.1 D.22.定义在R上的奇函数 满足 是偶函数,当 时, ,则 ( ) A. B. C.0 D.2 3.已知函数 与 的定义域均为 , , ,且 , 为偶函数,下列结论正确的是( ) A. 的周期为4 B. C. D. 4.已知函数 和其导函数 的定义域都是 ,若 与 均为偶函数,则( ) A. B. 关于点 对称 C. D. 5.已知非常数函数 及其导函数 的定义域均为 ,若 为奇函数, 为偶函数, 则( ) A. B. C. D. 6.已知函数 的定义域为 ,并且对 ,都有 ,则下列说法正确的是 ( ) A. 的图象关于 对称 B.函数 为偶函数C. D.若 时, ,则 时, 7.已知函数 的定义域为 ,函数 的图象关于点 对称,且满足 ,则下列 结论正确的是( ) A.函数 是奇函数 B.函数 的图象关于 轴对称 C.函数 是最小正周期为2的周期函数 D.若函数 满足 ,则 8.已知定义在 上的偶函数满足 ,且当 时, 是减函数,则下列四个命题 中正确的是( ) A. B.直线 为函数 图象的一条对称轴 C.函数 在区间 上存在3个零点 D.若 在区间 上的根为 ,则 易错点四: 遗漏幂函数的特征及二次函数弦长公式(幂函数与二次函数) 1、根据图象高低判断幂指数大小的方法 幂函数的幂指数的大小,大都可通过幂函数的图象与直线 的交点纵坐标的大小反映.一般地,在区间 上,幂函数中指数越大,函数图象越靠近 轴(简记为“指大、图低”),在区间 上,幂 函数中指数越大,图象越远离 轴(不包括幂函数 ,在区间 上,幂函数中指数越大,函数图象 越靠近 轴(简记为“指大图低"),在区间 上,幂函数中指数越大,函数图象越远离 轴. 2、对于函数 ,若是二次函数,就隐含 ,当题目未说明是二次函数时,就要分 和 两种情况讨论.在二次函数 中, 的正负决定抛物线开口的方向 的 大小决定开口大小) 确定抛物线在 轴上的截距, 与 确定顶点的横坐标(或对称轴的位置). 3、根据二次函数单调性求参数范围,常转化为二次函数图象的对称轴与单调区间的位置关系,若二次函 数在某区间上单调,则该区间在对称轴的一侧,若二次函数在某区间上不单调,则对称轴在该区间内(非 端点), 4、二次函数在闭区间上的最值 二次函数在闭区间上必有最大值和最小值.它只能在区间的端点或二次函数的顶点处取得,可分别求值再比 较大小,最后确定最值. 结论: 1.幂函数 在第一象限内图象的画法如下: ①当 时,其图象可类似 画出; ②当 时,其图象可类似 画出; ③当 时,其图象可类似 画出. 2.实系数一元二次方程 的实根符号与系数之间的关系 (1)方程有两个不等正根 ⇔⇔ (2)方程有两个不等负根 (3)方程有一正根和一负根,设两根为 ⇔ 3.一元二次方程 的根的分布问题 一般情况下需要从以下4个方面考虑: (1)开口方向;(2)判别式;(3)对称轴 与区间端点的关系;(4)区间端点函数值的正 负. 设 为实系数方程 的两根,则一元二次 的根的分布 与其限定条件如下所示. ① , 限定条件 ② 限定条件 ③限定条件 在区间 内没有实根 y m n x O 限定条件 y O m n x 限定条件 y O m n x限定条件 y O m n x 限定条件 y m n O x 限定条件 在区间 内有且只有一个实根y n m O x 限定条件 y m n x O 限定条件 在区间 内有两个不等实根 y m n x O 限定条件4.有关二次函数的问题,关键是利用图像. (1)要熟练掌握二次函数在某区间上的最值或值域的求法,特别是含参数的两类问题——动轴定区 间和定轴动区间,解法是抓住“三点一轴”,三点指的是区间两个端点和区间中点,一轴指对称轴.即注意 对对称轴与区间的不同位置关系加以分类讨论,往往分成:①轴处在区间的左侧;②轴处在区间的右侧; ③轴穿过区间内部(部分题目还需讨论轴与区间中点的位置关系),从而对参数值的范围进行讨论. (2)对于二次方程实根分布问题,要抓住四点,即开口方向、判别式、对称轴位置及区间端点函数 值正负. 易错提醒:幂函数的特征:同时满足一下三个条件才是幂函数 ① 的系数为1; ② 的底数是自变量; ③指数为常数. 掌握二次函数解析式的三种形式(不能忘记最后一种) (1)一般式: ; (2)顶点式: ;其中, 为抛物线顶点坐标, 为对称轴方程. (3)两点式: ,其中, 是抛物线与 轴交点的横坐标. 与 轴相交的弦长 当 时,二次函数 的图像与 轴有两个交点 和 , . 例 1若函数 在区间 上单调递增,则 的取值范围是( ) A. B. C. D. 变式1.若函数 在 上单调递减,则实数 的取值范围是( ) A. B. C. D.变式2.已知函数 ,若 在 上单调递增,则实数a的取值范围是 ( ) A. B. C. D. 变式3.已知 是定义域为 的函数,且 是奇函数, 是偶函数,满足 ,若对任意的 ,都有 成立,则实数 的取值范围是 ( ) A. B. C. D. 1.已知函数 ,若 ,则实数 的取值范围是( ) A. B. C. D. 2.若幂函数 在 上单调递减,则 ( ) A.2 B. C. D.-2 3.已知函数 在 上为奇函数,则不等式 的解集满足( )A. B. C. D. 4.已知 为奇函数,当 时, ,当 时, ,则( ) A. B. C. D. 5.已知 的解集是 ,则下列说法正确的是( ) A.不等式 的解集是 B. 的最小值是 C.若 有解,则m的取值范围是 或 D.当 时, , 的值域是 ,则 的取值范围是 6.已知函数 ,函数 ,则下列结论正确的是( ) A.若 有3个不同的零点,则a的取值范围是 B.若 有4个不同的零点,则a的取值范围是 C.若 有4个不同的零点 ,则 D.若 有4个不同的零点 ,则 的取值范围是 7.已知函数 (即 , )则( )A.当 时, 是偶函数 B. 在区间 上是增函数 C.设 最小值为 ,则 D.方程 可能有2个解 8.已知函数 ,若 的最小值为 ,则实数a的值可以是( ) A.1 B.2 C.3 D.4 9.设 ,函数 的图象可能是( ) A. B. C. D. 10.关于 的方程 ,下列命题正确的有( ) A.存在实数 ,使得方程无实根 B.存在实数 ,使得方程恰有2个不同的实根 C.存在实数 ,使得方程恰有3个不同的实根 D.存在实数 ,使得方程恰有4个不同的实根 易错点五: 根式奇偶讨论(指对数函数考点) 指数1.指数幂的运算首先将根式、分数指数幂统一为分数指数幂,以便利用法则计算,但应注意:(1)必须同底 数幂相乘,指数才能相加;(2)运算的先后顺序. 2.当底数是负数时,先确定符号,再把底数化为正数. 3.运算结果不能同时含有根号和分数指数,也不能既有分母又含有负指数. 4.有关指数函数图象问题的解题思路 (1)已知函数解析式判断其图象,一般是取特殊点,判断选项中的图象是否过这些点,若不满足则排除. (2)对于有关指数型函数的图象问题,一般是从最基本的指数函数的图象入手,通过平移、伸缩、对称变换 而得到.特别地,当底数a与1的大小关系不确定时应注意分类讨论. (3)有关指数方程、不等式问题的求解,往往是利用相应的指数型函数图象,数形结合求解. (4)根据指数函数图象判断底数大小的问题,可以通过直线x=1与图象的交点进行判断. 5.利用指数函数的性质比较幂值的大小,先看能否化成同底数,能化成同底数的先化成同底数幂,再利用 函数单调性比较大小,不能化成同底数的,一般引入“1”等中间量比较大小; 6.利用指数函数的性质解简单的指数方程或不等式,先利用幂的运算性质化为同底数幂,再利用函数单调 性转化为一般不等式求解; 7.解答指数函数性质的综合应用,首先判断指数型函数的性质,再利用其性质求解。 对数: 1.在对数运算中,先利用幂的运算把底数或真数进行变形,化成分数指数幂的形式,使幂的底数最简,然 后正用对数运算法则化简合并. 2.先将对数式化为同底数对数的和、差、倍数运算,然后逆用对数的运算法则,转化为同底对数真数的积、 商、幂再运算.| 3. ,且 是解决有关指数、对数问题的有效方法,在运算中应注意互化. 4.识别对数函数图象时,要注意底数 以1为分界:当 时,是增函数;当 时,是减函数.注意 对数函数图象恒过定点 ,且以 轴为渐近线. 5.一些对数型方程、不等式问题常转化为相应的函数图象问题,利用数形结合法求解. 6.比较对数值的大小 (1)若对数值同底数,利用对数函数的单调性比较 (2)若对数值同真数,利用图象法或转化为同底数进行比较 (3)若底数、真数均不同,引入中间量进行比较 解决对数函数的综合应用有以下三个步骤:第一步:求出函数的定义域; 第二步:判断对数函数的底数与1的大小关系,当底数是含字母的代数式(包含单独一个字母)时,若涉及 其单调性,就必须对底数进行分类讨论; 第三步:判断内层函数和外层函数的单调性,运用复合函数“同增异减”原则判断函数的单调性 结论: 1.画指数函数 ,且 的图象,应抓住三个关键点: 2.在第一象限内,指数函数 且 的图象越高,底数越大. 3.有关指数型函数的性质 (1)求复合函数的定义域与值域 形如 的函数的定义域就是 的定义域. 求形如 的函数的值域,应先求出 的值域,再由单调性求出 的值域.若 的范围不确定, 则需对 进行讨论. 求形如 的函数的值域,要先求出 的值域,再结合 的性质确定出 的值域. (2)判断复合函数 的单调性 令 ,如果复合的两个函数 与 的单调性相同,那么复合后的函数 在 上是增函数;如果两者的单调性相异(即一增一减),那么复合函数 在 上是减函数. 换底公式的两个重要结论 (1) (2) .其中 ,且 ,且 . 对数函数 ,且 的图象过定点 ,且过点 ,函数图象只在第一、四象限. 易错提醒:根式的性质:当 为奇数时,正数的 次方根是一个正数,负数的 次方根是一个负数.当 为偶数时,正数的 次方根有两个,它们互为相反数.例 .设函数 的定义域为 ,其图象关于直线 对称,且 .当 时, ,则下列结论正确的是( ) A. 为偶函数 B. C. 的图象关于直线 对称 D. 在区间 上单调递减 变式1、设偶函数 在 上单调递增,则下列结论中正确的是( ) A. B. C. D. 变式2、已知函数 ,则( ) A. 的最小值为1 B. , C. D. 变式3、已知 ,则下列不等关系正确的是( ) A. B. C. D. 1.下列说法正确的是( ) A.函数 的图像恒过定点B.“ ”的必要不充分条件是“ ” C.函数 的最小正周期为2 D.函数 的最小值为2 2.某数学课外兴趣小组对函数 的性质进行了探究,得到下列四个命题,其中 正确的命题有( ) A.函数 的图象关于 轴对称 B.当 时, 是增函数,当 时, 是减函数 C.函数 的最小值是 D.函数 与 有四个交点 3.给出下列说法,错误的有( ) A.若函数 在定义域上为奇函数,则 B.已知 的值域为 ,则 的取值范围是 C.已知函数 的定义域为 ,则函数 的定义域为 D.已知函数 ,则函数 的值域为 4.给出下列说法,错误的有( ) A.若函数 在定义域上为奇函数,则 B.已知 的值域为 ,则a的取值范围是 C.已知函数 满足 ,且 ,则D.已知函数 ,则函数 的值域为 5.已知定义域为 的函数 满足 , 的部分解析式为 ,则下列说法正确的是( ) A.函数 在 上单调递减 B.若函数 在 内满足 恒成立,则 C.存在实数 ,使得 的图象与直线 有7个交点 D.已知方程 的解为 ,则 6.下列选项正确的是( ) A. B.若正实数a,b满足 ,则 C. 的最小值为 D.已知正实数a、b,若 ,则 的最小值为9 7.已知函数 ,实数 , 满足 , ,则 ( ) A. B. C. D.8.已知函数 ,则( ) A.当 时, 的定义域为R B. 一定存在最小值 C. 的图象关于直线 对称 D.当 时, 的值域为R
基本 文件 流程 错误 SQL 调试
  1. 请求信息 : 2026-03-01 02:21:03 HTTP/1.1 GET : https://www.yeyulingfeng.com/wendang/231656.html
  2. 运行时间 : 0.087700s [ 吞吐率:11.40req/s ] 内存消耗:5,222.46kb 文件加载:144
  3. 缓存信息 : 0 reads,0 writes
  4. 会话信息 : SESSION_ID=fa87a803c97fc98fcce701ef880d6bc9
  1. /yingpanguazai/ssd/ssd1/www/wwww.yeyulingfeng.com/public/index.php ( 0.79 KB )
  2. /yingpanguazai/ssd/ssd1/www/wwww.yeyulingfeng.com/vendor/autoload.php ( 0.17 KB )
  3. /yingpanguazai/ssd/ssd1/www/wwww.yeyulingfeng.com/vendor/composer/autoload_real.php ( 2.49 KB )
  4. /yingpanguazai/ssd/ssd1/www/wwww.yeyulingfeng.com/vendor/composer/platform_check.php ( 0.90 KB )
  5. /yingpanguazai/ssd/ssd1/www/wwww.yeyulingfeng.com/vendor/composer/ClassLoader.php ( 14.03 KB )
  6. /yingpanguazai/ssd/ssd1/www/wwww.yeyulingfeng.com/vendor/composer/autoload_static.php ( 6.05 KB )
  7. /yingpanguazai/ssd/ssd1/www/wwww.yeyulingfeng.com/vendor/topthink/think-helper/src/helper.php ( 8.34 KB )
  8. /yingpanguazai/ssd/ssd1/www/wwww.yeyulingfeng.com/vendor/topthink/think-validate/src/helper.php ( 2.19 KB )
  9. /yingpanguazai/ssd/ssd1/www/wwww.yeyulingfeng.com/vendor/ralouphie/getallheaders/src/getallheaders.php ( 1.60 KB )
  10. /yingpanguazai/ssd/ssd1/www/wwww.yeyulingfeng.com/vendor/topthink/think-orm/src/helper.php ( 1.47 KB )
  11. /yingpanguazai/ssd/ssd1/www/wwww.yeyulingfeng.com/vendor/topthink/think-orm/stubs/load_stubs.php ( 0.16 KB )
  12. /yingpanguazai/ssd/ssd1/www/wwww.yeyulingfeng.com/vendor/topthink/framework/src/think/Exception.php ( 1.69 KB )
  13. /yingpanguazai/ssd/ssd1/www/wwww.yeyulingfeng.com/vendor/topthink/think-container/src/Facade.php ( 2.71 KB )
  14. /yingpanguazai/ssd/ssd1/www/wwww.yeyulingfeng.com/vendor/symfony/deprecation-contracts/function.php ( 0.99 KB )
  15. /yingpanguazai/ssd/ssd1/www/wwww.yeyulingfeng.com/vendor/symfony/polyfill-mbstring/bootstrap.php ( 8.26 KB )
  16. /yingpanguazai/ssd/ssd1/www/wwww.yeyulingfeng.com/vendor/symfony/polyfill-mbstring/bootstrap80.php ( 9.78 KB )
  17. /yingpanguazai/ssd/ssd1/www/wwww.yeyulingfeng.com/vendor/symfony/var-dumper/Resources/functions/dump.php ( 1.49 KB )
  18. /yingpanguazai/ssd/ssd1/www/wwww.yeyulingfeng.com/vendor/topthink/think-dumper/src/helper.php ( 0.18 KB )
  19. /yingpanguazai/ssd/ssd1/www/wwww.yeyulingfeng.com/vendor/symfony/var-dumper/VarDumper.php ( 4.30 KB )
  20. /yingpanguazai/ssd/ssd1/www/wwww.yeyulingfeng.com/vendor/guzzlehttp/guzzle/src/functions_include.php ( 0.16 KB )
  21. /yingpanguazai/ssd/ssd1/www/wwww.yeyulingfeng.com/vendor/guzzlehttp/guzzle/src/functions.php ( 5.54 KB )
  22. /yingpanguazai/ssd/ssd1/www/wwww.yeyulingfeng.com/vendor/topthink/framework/src/think/App.php ( 15.30 KB )
  23. /yingpanguazai/ssd/ssd1/www/wwww.yeyulingfeng.com/vendor/topthink/think-container/src/Container.php ( 15.76 KB )
  24. /yingpanguazai/ssd/ssd1/www/wwww.yeyulingfeng.com/vendor/psr/container/src/ContainerInterface.php ( 1.02 KB )
  25. /yingpanguazai/ssd/ssd1/www/wwww.yeyulingfeng.com/app/provider.php ( 0.19 KB )
  26. /yingpanguazai/ssd/ssd1/www/wwww.yeyulingfeng.com/vendor/topthink/framework/src/think/Http.php ( 6.04 KB )
  27. /yingpanguazai/ssd/ssd1/www/wwww.yeyulingfeng.com/vendor/topthink/think-helper/src/helper/Str.php ( 7.29 KB )
  28. /yingpanguazai/ssd/ssd1/www/wwww.yeyulingfeng.com/vendor/topthink/framework/src/think/Env.php ( 4.68 KB )
  29. /yingpanguazai/ssd/ssd1/www/wwww.yeyulingfeng.com/app/common.php ( 0.03 KB )
  30. /yingpanguazai/ssd/ssd1/www/wwww.yeyulingfeng.com/vendor/topthink/framework/src/helper.php ( 18.78 KB )
  31. /yingpanguazai/ssd/ssd1/www/wwww.yeyulingfeng.com/vendor/topthink/framework/src/think/Config.php ( 5.54 KB )
  32. /yingpanguazai/ssd/ssd1/www/wwww.yeyulingfeng.com/config/alipay.php ( 3.59 KB )
  33. /yingpanguazai/ssd/ssd1/www/wwww.yeyulingfeng.com/vendor/topthink/framework/src/think/facade/Env.php ( 1.67 KB )
  34. /yingpanguazai/ssd/ssd1/www/wwww.yeyulingfeng.com/config/app.php ( 0.95 KB )
  35. /yingpanguazai/ssd/ssd1/www/wwww.yeyulingfeng.com/config/cache.php ( 0.78 KB )
  36. /yingpanguazai/ssd/ssd1/www/wwww.yeyulingfeng.com/config/console.php ( 0.23 KB )
  37. /yingpanguazai/ssd/ssd1/www/wwww.yeyulingfeng.com/config/cookie.php ( 0.56 KB )
  38. /yingpanguazai/ssd/ssd1/www/wwww.yeyulingfeng.com/config/database.php ( 2.48 KB )
  39. /yingpanguazai/ssd/ssd1/www/wwww.yeyulingfeng.com/config/filesystem.php ( 0.61 KB )
  40. /yingpanguazai/ssd/ssd1/www/wwww.yeyulingfeng.com/config/lang.php ( 0.91 KB )
  41. /yingpanguazai/ssd/ssd1/www/wwww.yeyulingfeng.com/config/log.php ( 1.35 KB )
  42. /yingpanguazai/ssd/ssd1/www/wwww.yeyulingfeng.com/config/middleware.php ( 0.19 KB )
  43. /yingpanguazai/ssd/ssd1/www/wwww.yeyulingfeng.com/config/route.php ( 1.89 KB )
  44. /yingpanguazai/ssd/ssd1/www/wwww.yeyulingfeng.com/config/session.php ( 0.57 KB )
  45. /yingpanguazai/ssd/ssd1/www/wwww.yeyulingfeng.com/config/trace.php ( 0.34 KB )
  46. /yingpanguazai/ssd/ssd1/www/wwww.yeyulingfeng.com/config/view.php ( 0.82 KB )
  47. /yingpanguazai/ssd/ssd1/www/wwww.yeyulingfeng.com/app/event.php ( 0.25 KB )
  48. /yingpanguazai/ssd/ssd1/www/wwww.yeyulingfeng.com/vendor/topthink/framework/src/think/Event.php ( 7.67 KB )
  49. /yingpanguazai/ssd/ssd1/www/wwww.yeyulingfeng.com/app/service.php ( 0.13 KB )
  50. /yingpanguazai/ssd/ssd1/www/wwww.yeyulingfeng.com/app/AppService.php ( 0.26 KB )
  51. /yingpanguazai/ssd/ssd1/www/wwww.yeyulingfeng.com/vendor/topthink/framework/src/think/Service.php ( 1.64 KB )
  52. /yingpanguazai/ssd/ssd1/www/wwww.yeyulingfeng.com/vendor/topthink/framework/src/think/Lang.php ( 7.35 KB )
  53. /yingpanguazai/ssd/ssd1/www/wwww.yeyulingfeng.com/vendor/topthink/framework/src/lang/zh-cn.php ( 13.70 KB )
  54. /yingpanguazai/ssd/ssd1/www/wwww.yeyulingfeng.com/vendor/topthink/framework/src/think/initializer/Error.php ( 3.31 KB )
  55. /yingpanguazai/ssd/ssd1/www/wwww.yeyulingfeng.com/vendor/topthink/framework/src/think/initializer/RegisterService.php ( 1.33 KB )
  56. /yingpanguazai/ssd/ssd1/www/wwww.yeyulingfeng.com/vendor/services.php ( 0.14 KB )
  57. /yingpanguazai/ssd/ssd1/www/wwww.yeyulingfeng.com/vendor/topthink/framework/src/think/service/PaginatorService.php ( 1.52 KB )
  58. /yingpanguazai/ssd/ssd1/www/wwww.yeyulingfeng.com/vendor/topthink/framework/src/think/service/ValidateService.php ( 0.99 KB )
  59. /yingpanguazai/ssd/ssd1/www/wwww.yeyulingfeng.com/vendor/topthink/framework/src/think/service/ModelService.php ( 2.04 KB )
  60. /yingpanguazai/ssd/ssd1/www/wwww.yeyulingfeng.com/vendor/topthink/think-trace/src/Service.php ( 0.77 KB )
  61. /yingpanguazai/ssd/ssd1/www/wwww.yeyulingfeng.com/vendor/topthink/framework/src/think/Middleware.php ( 6.72 KB )
  62. /yingpanguazai/ssd/ssd1/www/wwww.yeyulingfeng.com/vendor/topthink/framework/src/think/initializer/BootService.php ( 0.77 KB )
  63. /yingpanguazai/ssd/ssd1/www/wwww.yeyulingfeng.com/vendor/topthink/think-orm/src/Paginator.php ( 11.86 KB )
  64. /yingpanguazai/ssd/ssd1/www/wwww.yeyulingfeng.com/vendor/topthink/think-validate/src/Validate.php ( 63.20 KB )
  65. /yingpanguazai/ssd/ssd1/www/wwww.yeyulingfeng.com/vendor/topthink/think-orm/src/Model.php ( 23.55 KB )
  66. /yingpanguazai/ssd/ssd1/www/wwww.yeyulingfeng.com/vendor/topthink/think-orm/src/model/concern/Attribute.php ( 21.05 KB )
  67. /yingpanguazai/ssd/ssd1/www/wwww.yeyulingfeng.com/vendor/topthink/think-orm/src/model/concern/AutoWriteData.php ( 4.21 KB )
  68. /yingpanguazai/ssd/ssd1/www/wwww.yeyulingfeng.com/vendor/topthink/think-orm/src/model/concern/Conversion.php ( 6.44 KB )
  69. /yingpanguazai/ssd/ssd1/www/wwww.yeyulingfeng.com/vendor/topthink/think-orm/src/model/concern/DbConnect.php ( 5.16 KB )
  70. /yingpanguazai/ssd/ssd1/www/wwww.yeyulingfeng.com/vendor/topthink/think-orm/src/model/concern/ModelEvent.php ( 2.33 KB )
  71. /yingpanguazai/ssd/ssd1/www/wwww.yeyulingfeng.com/vendor/topthink/think-orm/src/model/concern/RelationShip.php ( 28.29 KB )
  72. /yingpanguazai/ssd/ssd1/www/wwww.yeyulingfeng.com/vendor/topthink/think-helper/src/contract/Arrayable.php ( 0.09 KB )
  73. /yingpanguazai/ssd/ssd1/www/wwww.yeyulingfeng.com/vendor/topthink/think-helper/src/contract/Jsonable.php ( 0.13 KB )
  74. /yingpanguazai/ssd/ssd1/www/wwww.yeyulingfeng.com/vendor/topthink/think-orm/src/model/contract/Modelable.php ( 0.09 KB )
  75. /yingpanguazai/ssd/ssd1/www/wwww.yeyulingfeng.com/vendor/topthink/framework/src/think/Db.php ( 2.88 KB )
  76. /yingpanguazai/ssd/ssd1/www/wwww.yeyulingfeng.com/vendor/topthink/think-orm/src/DbManager.php ( 8.52 KB )
  77. /yingpanguazai/ssd/ssd1/www/wwww.yeyulingfeng.com/vendor/topthink/framework/src/think/Log.php ( 6.28 KB )
  78. /yingpanguazai/ssd/ssd1/www/wwww.yeyulingfeng.com/vendor/topthink/framework/src/think/Manager.php ( 3.92 KB )
  79. /yingpanguazai/ssd/ssd1/www/wwww.yeyulingfeng.com/vendor/psr/log/src/LoggerTrait.php ( 2.69 KB )
  80. /yingpanguazai/ssd/ssd1/www/wwww.yeyulingfeng.com/vendor/psr/log/src/LoggerInterface.php ( 2.71 KB )
  81. /yingpanguazai/ssd/ssd1/www/wwww.yeyulingfeng.com/vendor/topthink/framework/src/think/Cache.php ( 4.92 KB )
  82. /yingpanguazai/ssd/ssd1/www/wwww.yeyulingfeng.com/vendor/psr/simple-cache/src/CacheInterface.php ( 4.71 KB )
  83. /yingpanguazai/ssd/ssd1/www/wwww.yeyulingfeng.com/vendor/topthink/think-helper/src/helper/Arr.php ( 16.63 KB )
  84. /yingpanguazai/ssd/ssd1/www/wwww.yeyulingfeng.com/vendor/topthink/framework/src/think/cache/driver/File.php ( 7.84 KB )
  85. /yingpanguazai/ssd/ssd1/www/wwww.yeyulingfeng.com/vendor/topthink/framework/src/think/cache/Driver.php ( 9.03 KB )
  86. /yingpanguazai/ssd/ssd1/www/wwww.yeyulingfeng.com/vendor/topthink/framework/src/think/contract/CacheHandlerInterface.php ( 1.99 KB )
  87. /yingpanguazai/ssd/ssd1/www/wwww.yeyulingfeng.com/app/Request.php ( 0.09 KB )
  88. /yingpanguazai/ssd/ssd1/www/wwww.yeyulingfeng.com/vendor/topthink/framework/src/think/Request.php ( 55.78 KB )
  89. /yingpanguazai/ssd/ssd1/www/wwww.yeyulingfeng.com/app/middleware.php ( 0.25 KB )
  90. /yingpanguazai/ssd/ssd1/www/wwww.yeyulingfeng.com/vendor/topthink/framework/src/think/Pipeline.php ( 2.61 KB )
  91. /yingpanguazai/ssd/ssd1/www/wwww.yeyulingfeng.com/vendor/topthink/think-trace/src/TraceDebug.php ( 3.40 KB )
  92. /yingpanguazai/ssd/ssd1/www/wwww.yeyulingfeng.com/vendor/topthink/framework/src/think/middleware/SessionInit.php ( 1.94 KB )
  93. /yingpanguazai/ssd/ssd1/www/wwww.yeyulingfeng.com/vendor/topthink/framework/src/think/Session.php ( 1.80 KB )
  94. /yingpanguazai/ssd/ssd1/www/wwww.yeyulingfeng.com/vendor/topthink/framework/src/think/session/driver/File.php ( 6.27 KB )
  95. /yingpanguazai/ssd/ssd1/www/wwww.yeyulingfeng.com/vendor/topthink/framework/src/think/contract/SessionHandlerInterface.php ( 0.87 KB )
  96. /yingpanguazai/ssd/ssd1/www/wwww.yeyulingfeng.com/vendor/topthink/framework/src/think/session/Store.php ( 7.12 KB )
  97. /yingpanguazai/ssd/ssd1/www/wwww.yeyulingfeng.com/vendor/topthink/framework/src/think/Route.php ( 23.73 KB )
  98. /yingpanguazai/ssd/ssd1/www/wwww.yeyulingfeng.com/vendor/topthink/framework/src/think/route/RuleName.php ( 5.75 KB )
  99. /yingpanguazai/ssd/ssd1/www/wwww.yeyulingfeng.com/vendor/topthink/framework/src/think/route/Domain.php ( 2.53 KB )
  100. /yingpanguazai/ssd/ssd1/www/wwww.yeyulingfeng.com/vendor/topthink/framework/src/think/route/RuleGroup.php ( 22.43 KB )
  101. /yingpanguazai/ssd/ssd1/www/wwww.yeyulingfeng.com/vendor/topthink/framework/src/think/route/Rule.php ( 26.95 KB )
  102. /yingpanguazai/ssd/ssd1/www/wwww.yeyulingfeng.com/vendor/topthink/framework/src/think/route/RuleItem.php ( 9.78 KB )
  103. /yingpanguazai/ssd/ssd1/www/wwww.yeyulingfeng.com/route/app.php ( 3.52 KB )
  104. /yingpanguazai/ssd/ssd1/www/wwww.yeyulingfeng.com/vendor/topthink/framework/src/think/facade/Route.php ( 4.70 KB )
  105. /yingpanguazai/ssd/ssd1/www/wwww.yeyulingfeng.com/vendor/topthink/framework/src/think/route/dispatch/Controller.php ( 4.74 KB )
  106. /yingpanguazai/ssd/ssd1/www/wwww.yeyulingfeng.com/vendor/topthink/framework/src/think/route/Dispatch.php ( 10.44 KB )
  107. /yingpanguazai/ssd/ssd1/www/wwww.yeyulingfeng.com/app/controller/Index.php ( 10.53 KB )
  108. /yingpanguazai/ssd/ssd1/www/wwww.yeyulingfeng.com/app/BaseController.php ( 2.05 KB )
  109. /yingpanguazai/ssd/ssd1/www/wwww.yeyulingfeng.com/vendor/topthink/think-orm/src/facade/Db.php ( 0.93 KB )
  110. /yingpanguazai/ssd/ssd1/www/wwww.yeyulingfeng.com/vendor/topthink/think-orm/src/db/connector/Mysql.php ( 5.44 KB )
  111. /yingpanguazai/ssd/ssd1/www/wwww.yeyulingfeng.com/vendor/topthink/think-orm/src/db/PDOConnection.php ( 52.47 KB )
  112. /yingpanguazai/ssd/ssd1/www/wwww.yeyulingfeng.com/vendor/topthink/think-orm/src/db/Connection.php ( 8.39 KB )
  113. /yingpanguazai/ssd/ssd1/www/wwww.yeyulingfeng.com/vendor/topthink/think-orm/src/db/ConnectionInterface.php ( 4.57 KB )
  114. /yingpanguazai/ssd/ssd1/www/wwww.yeyulingfeng.com/vendor/topthink/think-orm/src/db/builder/Mysql.php ( 16.58 KB )
  115. /yingpanguazai/ssd/ssd1/www/wwww.yeyulingfeng.com/vendor/topthink/think-orm/src/db/Builder.php ( 24.06 KB )
  116. /yingpanguazai/ssd/ssd1/www/wwww.yeyulingfeng.com/vendor/topthink/think-orm/src/db/BaseBuilder.php ( 27.50 KB )
  117. /yingpanguazai/ssd/ssd1/www/wwww.yeyulingfeng.com/vendor/topthink/think-orm/src/db/Query.php ( 15.71 KB )
  118. /yingpanguazai/ssd/ssd1/www/wwww.yeyulingfeng.com/vendor/topthink/think-orm/src/db/BaseQuery.php ( 45.13 KB )
  119. /yingpanguazai/ssd/ssd1/www/wwww.yeyulingfeng.com/vendor/topthink/think-orm/src/db/concern/TimeFieldQuery.php ( 7.43 KB )
  120. /yingpanguazai/ssd/ssd1/www/wwww.yeyulingfeng.com/vendor/topthink/think-orm/src/db/concern/AggregateQuery.php ( 3.26 KB )
  121. /yingpanguazai/ssd/ssd1/www/wwww.yeyulingfeng.com/vendor/topthink/think-orm/src/db/concern/ModelRelationQuery.php ( 20.07 KB )
  122. /yingpanguazai/ssd/ssd1/www/wwww.yeyulingfeng.com/vendor/topthink/think-orm/src/db/concern/ParamsBind.php ( 3.66 KB )
  123. /yingpanguazai/ssd/ssd1/www/wwww.yeyulingfeng.com/vendor/topthink/think-orm/src/db/concern/ResultOperation.php ( 7.01 KB )
  124. /yingpanguazai/ssd/ssd1/www/wwww.yeyulingfeng.com/vendor/topthink/think-orm/src/db/concern/WhereQuery.php ( 19.37 KB )
  125. /yingpanguazai/ssd/ssd1/www/wwww.yeyulingfeng.com/vendor/topthink/think-orm/src/db/concern/JoinAndViewQuery.php ( 7.11 KB )
  126. /yingpanguazai/ssd/ssd1/www/wwww.yeyulingfeng.com/vendor/topthink/think-orm/src/db/concern/TableFieldInfo.php ( 2.63 KB )
  127. /yingpanguazai/ssd/ssd1/www/wwww.yeyulingfeng.com/vendor/topthink/think-orm/src/db/concern/Transaction.php ( 2.77 KB )
  128. /yingpanguazai/ssd/ssd1/www/wwww.yeyulingfeng.com/vendor/topthink/framework/src/think/log/driver/File.php ( 5.96 KB )
  129. /yingpanguazai/ssd/ssd1/www/wwww.yeyulingfeng.com/vendor/topthink/framework/src/think/contract/LogHandlerInterface.php ( 0.86 KB )
  130. /yingpanguazai/ssd/ssd1/www/wwww.yeyulingfeng.com/vendor/topthink/framework/src/think/log/Channel.php ( 3.89 KB )
  131. /yingpanguazai/ssd/ssd1/www/wwww.yeyulingfeng.com/vendor/topthink/framework/src/think/event/LogRecord.php ( 1.02 KB )
  132. /yingpanguazai/ssd/ssd1/www/wwww.yeyulingfeng.com/vendor/topthink/think-helper/src/Collection.php ( 16.47 KB )
  133. /yingpanguazai/ssd/ssd1/www/wwww.yeyulingfeng.com/vendor/topthink/framework/src/think/facade/View.php ( 1.70 KB )
  134. /yingpanguazai/ssd/ssd1/www/wwww.yeyulingfeng.com/vendor/topthink/framework/src/think/View.php ( 4.39 KB )
  135. /yingpanguazai/ssd/ssd1/www/wwww.yeyulingfeng.com/vendor/topthink/framework/src/think/Response.php ( 8.81 KB )
  136. /yingpanguazai/ssd/ssd1/www/wwww.yeyulingfeng.com/vendor/topthink/framework/src/think/response/View.php ( 3.29 KB )
  137. /yingpanguazai/ssd/ssd1/www/wwww.yeyulingfeng.com/vendor/topthink/framework/src/think/Cookie.php ( 6.06 KB )
  138. /yingpanguazai/ssd/ssd1/www/wwww.yeyulingfeng.com/vendor/topthink/think-view/src/Think.php ( 8.38 KB )
  139. /yingpanguazai/ssd/ssd1/www/wwww.yeyulingfeng.com/vendor/topthink/framework/src/think/contract/TemplateHandlerInterface.php ( 1.60 KB )
  140. /yingpanguazai/ssd/ssd1/www/wwww.yeyulingfeng.com/vendor/topthink/think-template/src/Template.php ( 46.61 KB )
  141. /yingpanguazai/ssd/ssd1/www/wwww.yeyulingfeng.com/vendor/topthink/think-template/src/template/driver/File.php ( 2.41 KB )
  142. /yingpanguazai/ssd/ssd1/www/wwww.yeyulingfeng.com/vendor/topthink/think-template/src/template/contract/DriverInterface.php ( 0.86 KB )
  143. /yingpanguazai/ssd/ssd1/www/wwww.yeyulingfeng.com/runtime/temp/10a0c909b6afa23b5a52a2e2d58c3c0f.php ( 21.70 KB )
  144. /yingpanguazai/ssd/ssd1/www/wwww.yeyulingfeng.com/vendor/topthink/think-trace/src/Html.php ( 4.42 KB )
  1. CONNECT:[ UseTime:0.000594s ] mysql:host=127.0.0.1;port=3306;dbname=wenku;charset=utf8mb4
  2. SHOW FULL COLUMNS FROM `fenlei` [ RunTime:0.000777s ]
  3. SELECT * FROM `fenlei` WHERE `fid` = 0 [ RunTime:0.000289s ]
  4. SELECT * FROM `fenlei` WHERE `fid` = 63 [ RunTime:0.000279s ]
  5. SHOW FULL COLUMNS FROM `set` [ RunTime:0.000489s ]
  6. SELECT * FROM `set` [ RunTime:0.000198s ]
  7. SHOW FULL COLUMNS FROM `wendang` [ RunTime:0.000605s ]
  8. SELECT * FROM `wendang` WHERE `id` = 231656 LIMIT 1 [ RunTime:0.000539s ]
  9. UPDATE `wendang` SET `liulancishu` = 5 WHERE `id` = 231656 [ RunTime:0.001362s ]
  10. UPDATE `wendang` SET `lasttime` = 1772302863 WHERE `id` = 231656 [ RunTime:0.000614s ]
  11. SELECT * FROM `wendang` WHERE `id` < 231656 ORDER BY `id` DESC LIMIT 1 [ RunTime:0.000477s ]
  12. SELECT * FROM `wendang` WHERE `id` > 231656 ORDER BY `id` ASC LIMIT 1 [ RunTime:0.000443s ]
  13. SELECT * FROM `wendang` WHERE `id` <> 231656 ORDER BY `id` DESC LIMIT 10 [ RunTime:0.000857s ]
  14. SELECT * FROM `wendang` WHERE `id` <> 231656 ORDER BY `id` DESC LIMIT 10,10 [ RunTime:0.001052s ]
  15. SELECT * FROM `wendang` WHERE `id` <> 231656 ORDER BY `id` DESC LIMIT 20,10 [ RunTime:0.005597s ]
0.090451s